Was unternimmt die Landesregierung zur Förderung der Gleichstellung von Frauen und Männern in der Landesverwaltung?

/ 52
PDF herunterladen
Niedersächsischer Landtag – 18. Wahlperiode                                                   Drucksache 18/4419 Kleine Anfrage zur schriftlichen Beantwortung gemäß § 46 Abs. 1 GO LT mit Antwort der Landesregierung Anfrage der Abgeordneten Eva Viehoff, Imke Byl, Meta Janssen-Kucz und Anja Piel (GRÜNE) Antwort des Niedersächsischen Ministeriums für Soziales, Gesundheit und Gleichstellung namens der Landesregierung Was unternimmt die Landesregierung zur Förderung der Gleichstellung von Frauen und Männern in der Landesverwaltung? Anfrage der Abgeordneten Eva Viehoff, Imke Byl, Meta Janssen-Kucz und Anja Piel (GRÜNE), ein- gegangen am 18.07.2019 - Drs. 18/4222 an die Staatskanzlei übersandt am 23.07.2019 Antwort des Niedersächsischen Ministeriums für Soziales, Gesundheit und Gleichstellung namens der Landesregierung vom 27.08.2019 Vorbemerkung der Abgeordneten Laut Hans-Böckler-Stiftung ist der Frauenanteil in den Aufsichtsräten der deutschen DAX-Unter- nehmen im letzten Jahr aufgrund der gesetzlich vorgeschrieben Geschlechterquote gestiegen (böckler impuls 4/2019). Trotz einer gesetzlichen Verpflichtung durch das NGG hat rund ein Viertel aller Dienststellen des Landes mit über 50 Beschäftigten bislang keinen Gleichstellungsplan erstellt. Als Gründe dafür wurden personelle und organisatorische Engpässe angegeben sowie dass sich ein Gleichstel- lungsplan zurzeit in der Erstellung befinde. Bearbeitungsstände und geplante Fertigstellungszeit- punkte wurden hingegen nicht benannt (Bericht der Landesregierung über die Durchführung des Niedersächsischen Gleichberechtigungsgesetzes [NGG] für den Zeitraum vom 01.01.2013 bis 31.12.2017 - Drucksache 18/3741). Auf die Kleine Anfrage für die Fragestunde der Abgeordneten Imke Byl (Bündnis 90/Die Grünen) am 06.12.2017 antwortete die Landesregierung am 14.12.2017 wie folgt: „Darüber hinaus wird sie“ (die Landesregierung) „das Niedersächsische Gleichberechtigungsgesetz (NGG) analog zum Bun- desgleichstellungsgesetz (BGleiG) so ausrichten, dass der Gleichberechtigung von Frauen und Männern im öffentlichen Dienst effektiv Rechnung getragen wird, und ein Landesgremiengesetz nach dem Vorbild des Bundesgremienbesetzungsgesetzes (BGremBG) schaffen“ (Drucksache 18/75). Vorbemerkung der Landesregierung Vorbemerkung zu den Fragen 1, 2 und 5: Hinsichtlich der Landesbeteiligungen besteht eine Anzahl von derzeit 49 unmittelbaren Beteiligun- gen in den unterschiedlichsten Sparten; es sind keine mittelbaren Beteiligungen aufgeführt. Dar- über hinaus sind sämtliche Gesellschaften aufgenommen, mithin auch Nicht-Mehrheitsbetei- ligungen des Landes Niedersachsen; dagegen sind keine Gesellschaften in Liquidation aufgenom- men. 1
1

Niedersächsischer Landtag – 18. Wahlperiode                                                         Drucksache 18/4419 1.    Wie hoch ist bei den Unternehmen, an denen das Land beteiligt ist, jeweils der Anteil weiblicher Beschäftigter (bitte differenziert nach Einzelbetrieben bzw. Anstalten des öf- fentlichen Rechts)? Vergleiche hierzu die Tabelle „Frage 1: Anteil weiblicher Beschäftigter bei Beteiligungen des Lan- des“. 2.    Wie hoch ist bei den Unternehmen, an denen das Land beteiligt ist, jeweils der Anteil weiblicher Beschäftigter in Vorständen, Aufsichtsräten, Verwaltungsräten und Ge- schäftsführung (bitte differenziert nach Einzelbetrieben bzw. Anstalten des öffentlichen Rechts)? Vergleiche hierzu die Tabellen „Frage 2: Anteil weiblicher Mandate in Aufsichts-und Verwaltungs- räten“ sowie „Frage 2: Anteil weiblicher Beschäftigter in Vorständen und Geschäftsführungen“. 3.    Wie hoch ist in den Ministerien und untergeordneten Landesbehörden jeweils der An- teil weiblicher Beschäftigter (bitte differenziert nach Ministerium/Landesbehörde)? Vergleiche hierzu die Tabellen „Fragen 3, 4: Anteil weiblicher Beschäftigter sowie Frage 6: Ver- fügbarkeit von Gleichstellungsplänen“. 4.    Wie hoch ist in den Ministerien und untergeordneten Landesbehörden jeweils der An- teil weiblicher Beschäftigter auf den Leitungsebenen (bitte differenziert nach Ministeri- um/Landesbehörde und obersten drei Leitungsebenen)? Vergleiche hierzu die Tabellen „Fragen 3, 4: Anteil weiblicher Beschäftigter sowie Frage 6: Ver- fügbarkeit von Gleichstellungsplänen“. 5.    Welche Unternehmen, an denen das Land beteiligt ist, sind von den Quotenregelungen des Gesetzes für die gleichberechtigte Teilhabe von Frauen und Männern an Füh- rungspositionen in der Privatwirtschaft und im öffentlichen Dienst vom 24. April 2015 betroffen (bitte einzeln aufzählen)? Vergleiche hierzu die Tabelle „Frage 5: FüPoG Unternehmen mit Landesbeteiligung“. 6.    Welche Ministerien und Landesbehörden verfügen über Gleichstellungspläne (bitte ein- zeln auflisten)? Vergleiche hierzu die Tabellen „Fragen 3, 4: Anteil weiblicher Beschäftigter sowie Frage 6: Ver- fügbarkeit von Gleichstellungsplänen“. 7.    Erreichen die Ministerien und Landesbehörden mit Gleichstellungsplänen ihre selbst gesetzten Ziele (bitte einzeln für jedes Ministerium/jede Landesbehörde mit erreich- ten/nicht erreichten Zielen auflisten)? Die heterogenen Angaben zu den Zielen und dem Grad der Zielerreichung ergeben sich aus der Vielfältigkeit der ihnen zugrundeliegenden Gleichstellungspläne. Aufgrund der gesetzlichen Vorga- ben zur Erstellung von Gleichstellungsplänen (§ 15 Niedersächsisches Gleichberechtigungsgesetz - NGG) legt jede Dienststelle unter Berücksichtigung der Besonderheiten in den jeweiligen Berei- chen, Dienststellen und Außenstellen eigenverantwortlich auf jede Dienststelle zugeschnittene Ziel- vorgaben sowie konkrete Maßnahmen fest. Die Erreichung der in den Gleichstellungsplänen festgelegten Ziele ist den Tabellen „Frage 7: Er- reichung der im Gleichstellungsplan gesetzten Ziele“ zu entnehmen. 2
2

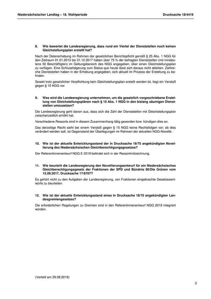
Niedersächsischer Landtag – 18. Wahlperiode                                                              Drucksache 18/4419 8.   Wie bewertet die Landesregierung, dass rund ein Viertel der Dienststellen noch keinen Gleichstellungsplan erstellt hat? Nach der Datenerhebung im Rahmen der gesetzlichen Berichtspflicht gemäß § 25 Abs. 1 NGG für den Zeitraum 01.01.2013 bis 31.12.2017 haben über 75 % der befragten Dienststellen (mit mindes- tens 50 Beschäftigten) im Geltungsbereich des NGG angegeben, über einen Gleichstellungsplan zu verfügen. Eine Schlussfolgerung zum Status quo heute lässt sich daraus nicht ableiten. Zahlrei- che Dienststellen haben in der Erhebung angegeben, sich aktuell im Prozess der Erstellung zu be- finden. Soweit trotz gesetzlicher Verpflichtung kein Gleichstellungsplan erstellt worden ist, liegt ein Verstoß gegen § 15 NGG vor. 9.   Was wird die Landesregierung unternehmen, um die gesetzlich vorgeschriebene Erstel- lung von Gleichstellungsplänen nach § 15 Abs. 1 NGG in den bislang säumigen Dienst- stellen umzusetzen? Die Landesregierung geht davon aus, dass sich die Zahl der Dienststellen mit Gleichstellungsplan zwischenzeitlich erhöht hat. Verschiedene Ressorts sind in diesem Zusammenhang tätig geworden bzw. kündigen dies an. Das derzeitige Recht sieht bei einem Verstoß gegen § 15 NGG keine Rechtsfolgen vor; ob dies verändert werden soll, ist Gegenstand der Überlegungen im Rahmen der aktuellen NGG-Novelle. 10. Wie ist der aktuelle Entwicklungsstand der in Drucksache 18/75 angekündigten Novel- lierung des Niedersächsischen Gleichberechtigungsgesetzes? Der Referentinnenentwurf NGG E 2019 befindet sich in der Ressortmitzeichnung. 11. Wie beurteilt die Landesregierung den Novellierungsentwurf für ein Niedersächsisches Gleichberechtigungsgesetz der Fraktionen der SPD und Bündnis 90/Die Grünen vom 12.09.2017, Drucksache 17/8707? Es gehört nicht zu den Aufgaben der Landesregierung, von Fraktionen eingebrachte Gesetzesent- würfe zu beurteilen. 12. Wie ist der aktuelle Entwicklungsstand eines in Drucksache 18/75 angekündigten Lan- desgremiengesetzes? Die erforderlichen Regelungen zu Gremien sind in den Referentinnenentwurf NGG 2019 integriert worden. (Verteilt am 29.08.2019) 3
3

Kleine Anfrage zur schriftlichen Beantwortung (Drs. 18/4222): Was unternimmt die Landesregierung zur Förderung der Gleichstellung von Frauen und Männern in der Landesverwaltung? Frage 1 Anteil weiblicher Beschäftigter bei Beiligungen des Landes Frage 1: Wie hoch ist bei den Unternehmen, an denen das Land beteiligt ist, jeweils der Anteil weiblicher Beschäftigter (bitte differenziert nach Einzelbetrieben bzw. Anstalten des öffentlichen Rechts)? Anteil weiblicher Beschäftigter bei Beiligungen des Landes Zu Frage 1 Name der Gesellschaft                                                                                          Frauenquote   Beschäftigte Gesamt Weibliche Beschäftigte Männliche Beschäftigte 3N Dienstleistungen GmbH (* s. Fußnote)                                                                              0,00%                     0                      0                       0 Stichtag 24.07.2019 Container Terminal Wilhelmshaven JadeWeserPort-Marketing GmbH & Co. KG                                             28,57%                      7                      2                       5 Stichtag 24.07.2019 Dachgesellschaft Bauvorhaben Hochschulmedizin Niedersachsen mbH                                                      0,00%                     1                      0                       1 Stichtag 24.07.2019 Dataport, Anstalt des öffentlichen Rechts                                                                          30,02%                  3.135                  941                  2.194    Stichtag 24.07.2019 Deutsche Management-Akademie Niedersachsen gGmbH                                                                   68,75%                     16                     11                       5 Stichtag 24.07.2019 Deutsche Messe AG                                                                                                  54,18%                    753                  408                     345   Stichtag 24.07.2019 Deutsches Primatenzentrum GmbH - Leibniz-Institut für Primatenforschung                                            56,96%                    309                  176                     133   Stichtag 24.07.2019 Deutsches Zentrum für Hochschul- und Wissenschaftsforschung GmbH                                                   55,07%                    207                  114                       93  Stichtag 24.07.2019 Eisenbahnen und Verkehrsbetriebe Elbe-Weser GmbH                                                                   19,07%                    409                     78                   331   Stichtag 24.07.2019 Endlager Konrad Stiftungsgesellschaft mbH Salzgitter                                                                 0,00%                     0                      0                       0 Stichtag 24.07.2019 Flughafen Hannover-Langenhagen GmbH                                                                                20,05%                    738                  148                     590   Stichtag 24.07.2019 FWU Institut für Film und Bild in Wissenschaft und Unterricht gGmbH                                                63,64%                     44                     28                     16  Stichtag 24.07.2019 Galintis GmbH & Co. KG                                                                                               0,00%                     0                      0                       0 Stichtag 24.07.2019 GKL Gemeinsame Klassenlotterie der Länder                                                                          54,02%                     87                     47                     40  Stichtag 24.07.2019 Hannoversche Beteiligungsgesellschaft Niedersachsen mbH                                                            50,00%                      2                      1                       1 Stichtag 24.07.2019 Helmholtz-Zentrum für Infektionsforschung GmbH                                                                     60,53%                    831                  503                     328   Stichtag 24.07.2019 Helmholtz-Zentrum Geesthacht Zentrum für Material- und Küstenforschung GmbH                                        38,41%                  1.005                  386                     619   Stichtag 24.07.2019 IdeenExpo GmbH                                                                                                     78,57%                     14                     11                       3 Stichtag 24.07.2019 Innovationszentrum Niedersachsen GmbH                                                                              62,50%                     40                     25                     15  Stichtag 24.07.2019 InphA GmbH - Institut für pharmazeutische und angewandte Analytik                                                  74,07%                     27                     20                       7 Stichtag 24.07.2019 Institut für Solarenergieforschung GmbH                                                                            38,00%                    160                     61                     99  Stichtag 24.07.2019 Investitions- und Förderbank Niedersachsen                                                                         53,30%                    454                  242                     212   Aus Geschäftsbericht 31.12.2018 JadeWeserPort Realisierungs GmbH & Co. KG                                                                          29,63%                     27                      8                     19  Stichtag 24.07.2019 JadeWeserPort Realisierungs-Beteiligungs-GmbH                                                                        0,00%                     0                      0                       0 Stichtag 24.07.2019 JWP GmbH                                                                                                             0,00%                     0                      0                       0 Stichtag 24.07.2019 Klimaschutz- und Energieagentur Niedersachsen GmbH                                                                 50,00%                     18                      9                       9 Stichtag 24.07.2019 Kreditanstalt für Wiederaufbau                                                                                     48,52%                  6.641                3.222                  3.419    Stichtag 24.07.2019 Kunst- und Ausstellungshalle der Bundesrepublik Deutschland GmbH                                                   70,06%                    157                  110                       47  Stichtag 24.07.2019 Länderzentrum für Niederdeutsch gemeinnützige GmbH                                                                 66,67%                      3                      2                       1 Stichtag 24.07.2019 Landesnahverkehrsgesellschaft Niedersachsen mbH                                                                    53,33%                     60                     32                     28  Stichtag 24.07.2019 LEA Gesellschaft für Landeseisenbahnaufsicht mbH                                                                   30,00%                     10                      3                       7 Stichtag 24.07.2019 Leibniz-Institut DSMZ - Deutsche Sammlung von Mikroorganismen und Zellkulturen GmbH                                70,10%                    194                  136                       58  Stichtag 24.07.2019 Medical Park Hannover GmbH                                                                                         42,86%                      7                      3                       4 Stichtag 24.07.2019 Metropolregion Hannover Braunschweig Göttingen Wolfsburg GmbH                                                      50,00%                      8                      4                       4 Stichtag 24.07.2019 Niedersachsen Ports GmbH & Co. KG                                                                                  21,30%                    648                  138                     510   Stichtag 24.07.2019 Niedersächsische Gesellschaft zur Endablagerung von Sonderabfall mbH                                               65,00%                     55                     36                     19  Stichtag 24.07.2019 Niedersächsische Hafengesellschaft mbH                                                                               0,00%                     0                      0                       0 Stichtag 24.07.2019 Niedersächsische Landesforsten                                                                                     20,75%                  1.311                  272                  1.039    Stichtag 24.07.2019 Niedersächsische Landgesellschaft mbH                                                                              49,62%                    266                  132                     134   Stichtag 24.07.2019 Niedersächsische Staatstheater Hannover GmbH                                                                       45,38%                  1.082                  491                     591   Stichtag 31.03.2019 Niedersächsisches Staatsbad Nenndorf Betriebsgesellschaft mbH                                                      66,67%                    186                  124                       62  Stichtag 24.07.2019 Niedersächsisches Staatsbad Pyrmont Betriebsgesellschaft mbH                                                       60,17%                    241                  145                       96  Stichtag 24.07.2019 Norddeutsche Landesbank - Girozentrale -                                                                           50,22%                  4.861                2.441                  2.420    Stichtag 24.07.2019 nordmedia - Film- und Mediengesellschaft Niedersachsen / Bremen mbH                                                63,16%                     19                     12                       7 Stichtag 24.07.2019 PD-Berater der öffentlichen Hand GmbH                                                                              40,16%                    254                  102                     152   Stichtag 24.07.2019 Salzgitter AG                                                                                                      12,56%                19.206                 2.412                 16.794    Stichtag 24.07.2019 TourismusMarketing Niedersachsen GmbH                                                                              77,27%                     22                     17                       5 Stichtag 24.07.2019 Volkswagen AG                                                                                                      17,30%              119.394                     k.a                    k.a.  Aus Geschäftsbericht 31.12.2018 ZESAR - Zentrale Stelle zur Abrechnung von Arzneimittelrabatten GmbH                                               58,33%                     12                      7                       5 Stichtag 24.07.2019 * Die Gesellschaft hat keine Beschäftigten, wohl aber eine Leiterin, die unentgeltlich tätig ist.
4

Kleine Anfrage zur schriftlichen Beantwortung (Drs. 18/4222): Was unternimmt die Landesregierung zur Förderung der Gleichstellung von Frauen und Männern in der Landesverwaltung? Zu Frage 2 Anteil weiblicher Beschäftigter in Leitungsfunktionen, Stand 24.07.2019 Gesellschaft                                                                         Beschäftigte in Leitungsfunktion*    Weibliche Beschäftigte Männliche Beschäftigte Frauenquote 3N Dienstleistungen GmbH                                                                               1                              1                     0              100,00% Container Terminal Wilhelmshaven JadeWeserPort-Marketing GmbH & Co. KG                                 0                              0                     0               0,00% Dachgesellschaft Bauvorhaben Hochschulmedizin Niedersachsen mbH                                        1                              0                     1               0,00% Dataport, Anstalt des öffentlichen Rechts                                                              3                              0                     3               0,00% Deutsche Management-Akademie Niedersachsen gGmbH                                                       1                              0                     1               0,00% Deutsche Messe AG                                                                                      2                              0                     2               0,00% Deutsches Primatenzentrum GmbH - Leibniz-Institut für Primatenforschung                                2                              0                     2               0,00% Deutsches Zentrum für Hochschul- und Wissenschaftsforschung GmbH                                       2                              2                     0              100,00% Eisenbahnen und Verkehrsbetriebe Elbe-Weser GmbH                                                       2                              0                     2               0,00% Endlager Konrad Stiftungsgesellschaft mbH Salzgitter                                                   2                              0                     2               0,00% Flughafen Hannover-Langenhagen GmbH                                                                    1                              0                     1               0,00% FWU Institut für Film und Bild in Wissenschaft und Unterricht gGmbH                                    2                              0                     2               0,00% Gemeinsame Klassenlotterie der Länder AöR                                                              2                              1                     1               50,00% Hannoversche Beteiligungsgesellschaft Niedersachsen mbH                                                2                              0                     2               0,00% Helmholtz-Zentrum für Infektionsforschung GmbH                                                         2                              1                     1               50,00% Helmholtz-Zentrum Geesthacht Zentrum für Material- und Küstenforschung GmbH                            2                              0                     2               0,00% IdeenExpo GmbH                                                                                         1                              0                     1               0,00% Innovationszentrum Niedersachsen GmbH                                                                  2                              0                     2               0,00% InphA GmbH - Institut für pharmazeutische und angewandte Analytik                                      1                              0                     1               0,00% Institut für Solarenergieforschung GmbH                                                                1                              0                     1               0,00% Investitions- und Förderbank Niedersachsen                                                             0                              0                     0               0,00% JadeWeserPort Realisierungs GmbH & Co. KG                                                              0                              0                     0               0,00% JadeWeserPort Realisierungs-Beteiligungs-GmbH                                                          1                              0                     1               0,00% JWP GmbH                                                                                               1                              0                     1               0,00% Klimaschutz- und Energieagentur Niedersachsen GmbH                                                     1                              0                     1               0,00% Kreditanstalt für Wiederaufbau                                                                         5                              1                     4               20,00% Kunst- und Ausstellungshalle der Bundesrepublik Deutschland GmbH                                       2                              0                     2               0,00% Länderzentrum für Niederdeutsch gemeinnützige GmbH                                                     1                              1                     0              100,00% Landesnahverkehrsgesellschaft Niedersachsen mbH                                                        2                              2                     0              100,00% LEA Gesellschaft für Landeseisenbahnaufsicht mbH                                                       1                              0                     1               0,00% Leibniz-Institut DSMZ - Deutsche Sammlung von Mikroorganismen und Zellkulturen GmbH                    2                              1                     1               50,00% Medical Park Hannover GmbH                                                                             1                              0                     1               0,00% Metropolregion Hannover Braunschweig Göttingen Wolfsburg GmbH                                          2                              0                     2               0,00% Niedersachsen Ports GmbH & Co. KG                                                                      0                              0                     0               0,00% Niedersächsische Gesellschaft zur Endablagerung von Sonderabfall mbH                                   2                              1                     1               50,00%
5

Niedersächsische Hafengesellschaft mbH                               2 0 2  0,00% Niedersächsische Landesforsten                                       0 0 0  0,00% Niedersächsische Landgesellschaft mbH                                2 0 2  0,00% Niedersächsische Staatstheater Hannover GmbH                         3 0 3  0,00% Niedersächsisches Staatsbad Nenndorf Betriebsgesellschaft mbH        1 0 1  0,00% Niedersächsisches Staatsbad Pyrmont Betriebsgesellschaft mbH         1 0 1  0,00% Norddeutsche Landesbank - Girozentrale -                             5 0 5  0,00% nordmedia - Film- und Mediengesellschaft Niedersachsen / Bremen mbH  1 0 1  0,00% PD-Berater der öffentlichen Hand GmbH                                2 0 2  0,00% Salzgitter AG                                                        3 0 3  0,00% TourismusMarketing Niedersachsen GmbH                                1 1 0 100,00% Volkswagen AG                                                        8 1 7 12,50% ZESAR - Zentrale Stelle zur Abrechnung von Arzneimittelrabatten GmbH 2 0 2  0,00% *Vorstände und Geschäftsführung
6

Kleine Anfrage zur schriftlichen Beantwortung (Drs. 18/4222): Was unternimmt die Landesregierung zur Förderung der Gleichstellung von Frauen und Männern in der Landesverwaltung? Zu Frage 2 Anteil weiblicher Mandate in Aufsichtsgremien, Stand 24.07.2019 Gesellschaft                                                                           Mandate im Aufsichtsgremium* Weibliche Mandate  Männliche Mandate Frauenquote 3N Dienstleistungen GmbH                                                                                0                            0          0            0,00% Container Terminal Wilhelmshaven JadeWeserPort-Marketing GmbH & Co. KG                                  4                            1          3            25,00% Dachgesellschaft Bauvorhaben Hochschulmedizin Niedersachsen mbH                                         5                            3          2            60,00% Dataport, Anstalt des öffentlichen Rechts                                                              17                            3         14            17,65% Deutsche Management-Akademie Niedersachsen gGmbH                                                       12                            3          9            25,00% Deutsche Messe AG                                                                                      21                            4         17            19,05% Deutsches Primatenzentrum GmbH - Leibniz-Institut für Primatenforschung                                 8                            5          3            62,50% Deutsches Zentrum für Hochschul- und Wissenschaftsforschung GmbH (DZHW)                                 7                            1          6            14,29% Eisenbahnen und Verkehrsbetriebe Elbe-Weser GmbH                                                       12                            1         11            8,33% Endlager Konrad Stiftungsgesellschaft mbH Salzgitter                                                    8                            1          7            12,50% Flughafen Hannover-Langenhagen GmbH                                                                    12                            2         10            16,67% FWU Institut für Film und Bild in Wissenschaft und Unterricht gGmbH                                     6                            1          5            16,67% Gemeinsame Klassenlotterie der Länder AöR                                                               0                            0          0            0,00% Hannoversche Beteiligungsgesellschaft Niedersachsen mbH                                                 0                            0          0            0,00% Helmholtz-Zentrum für Infektionsforschung GmbH                                                         12                            5          7            41,67% Helmholtz-Zentrum Geesthacht Zentrum für Material- und Küstenforschung GmbH                            13                            5          8            38,46% IdeenExpo GmbH                                                                                         10                            3          7            30,00% Innovationszentrum Niedersachsen GmbH                                                                   6                            3          3            50,00% InphA GmbH - Institut für pharmazeutische und angewandte Analytik                                       6                            1          5            16,67% Institut für Solarenergieforschung GmbH                                                                 8                            2          6            25,00% Investitions- und Förderbank Niedersachsen (NBank)                                                      8                            2          6            25,00% JadeWeserPort Realisierungs GmbH & Co. KG                                                               8                            1          7            12,50% JadeWeserPort Realisierungs-Beteiligungs-GmbH                                                           8                            1          7            12,50% JWP GmbH                                                                                                0                            0          0            0,00% Klimaschutz- und Energieagentur Niedersachsen GmbH (KEAN)                                               0                            0          0            0,00% Kreditanstalt für Wiederaufbau                                                                         37                            7         30            18,92% Kunst- und Ausstellungshalle der Bundesrepublik Deutschland GmbH                                        8                            6          2            75,00% Länderzentrum für Niederdeutsch gemeinnützige GmbH                                                      4                            0          4            0,00% Landesnahverkehrsgesellschaft Niedersachsen mbH                                                         5                            2          3            40,00% LEA Gesellschaft für Landeseisenbahnaufsicht mbH                                                        0                            0          0            0,00% Leibniz-Institut DSMZ - Deutsche Sammlung von Mikroorganismen und Zellkulturen GmbH                     5                            3          2            60,00% Medical Park Hannover GmbH (MPH)                                                                        4                            1          3            25,00%
7

Metropolregion Hannover Braunschweig Göttingen Wolfsburg GmbH        18 2 16 11,11% Niedersachsen Ports GmbH & Co. KG                                    7  3  4 42,86% Niedersächsische Gesellschaft zur Endablagerung von Sonderabfall mbH 9  2  7 22,22% Niedersächsische Hafengesellschaft mbH                               0  0  0 0,00% Niedersächsische Landesforsten                                       20 2 18 10,00% Niedersächsische Landgesellschaft mbH                                17 4 13 23,53% Niedersächsische Staatstheater Hannover GmbH                         11 5  6 45,45% Niedersächsisches Staatsbad Nenndorf Betriebsgesellschaft mbH        5  3  2 60,00% Niedersächsisches Staatsbad Pyrmont Betriebsgesellschaft mbH         6  2  4 33,33% Norddeutsche Landesbank - Girozentrale -                             18 4 14 22,22% nordmedia - Film- und Mediengesellschaft Niedersachsen / Bremen mbH  8  1  7 12,50% PD-Berater der öffentlichen Hand GmbH                                9  3  6 33,33% Salzgitter AG                                                        21 6 15 28,57% TourismusMarketing Niedersachsen GmbH (TMN)                          7  3  4 42,86% Volkswagen AG                                                        20 5 15 25,00% ZESAR - Zentrale Stelle zur Abrechnung von Arzneimittelrabatten GmbH 9  2  7 22,22% *Aufsichtsräte und Verwaltungsräte
8

Kleine Anfrage zur schriftlichen Beantwortung (Drs. 18/4222): Was unternimmt die Landesregierung zur Förderung der Gleichstellung von Frauen und Männern in der Landesverwaltung? Fragen 3, 4 Anteil weiblicher Beschäftigter sowie Frage 6_Verfügbarkeit von Gleichstellungsplänen Frauenanteil                                                                          Frauenanteil                                                              Gleichstellungs- an den Beschäftigten                                                         in den obersten drei Leitungsebenen                                                         pläne (zu Frage 3)                                                                         (zu Frage 4)                                                                 verfügbar 1. Leitungsebene                         2. Leitungsebene                         3. Leitungsebene                     (zu Frage 6) Landesbehörden nach        Beschäftigte     davon      Frauenanteil    Beschäftigte      davon     Frauenanteil  Beschäftigte      davon     Frauenanteil Beschäftigte      davon     Frauenanteil Ressortzuständigkeit        gesamt         Frauen       in Prozent                     Frauen       in Prozent                    Frauen     in Prozent                   Frauen      in Prozent Staatskanzlei Niedersächsisches Landesarchiv 1                             196            118         60,20%            1              1          100,00%          6              3         50,00%        22              9          40,91%                 ja (NLA)* Ministerium für Inneres und Sport Studieninstitut des Landes                                                                                                                                                                                     nicht erforderlich 33              26         78,79%            1              1          100,00%          3              1         33,33% Niedersachsen (SiN)                                                                                                                                                                                             gem. § 15 NGG Niedersächsische Akademie für 2 Brand- und Katastrophenschutz         92              31         33,70%            1              0           0,00%           1              0          0,00%         6              1          16,67%               nein* (NABK) IT Niedersachsen (IT.N)               817            179         21,91%            2              0           0,00%           5              0          0,00%        30              5          16,67%                 ja Landesamt für Statistik 417            267         64,03%            2              1           50,00%          3              1         33,33%        17              9          52,94%                 ja Niedersachsen (LSN) Logistik Zentrum Niedersachsen 132             78         59,09%            1              0           0,00%           3              1         33,33%         3              1          33,33%                 ja (LZN) Polizei                             22.666          7.855        34,66%            9              1           11,11%         15              5         33,33%        50              7          14,00%                 ja Landesaufnahmebehörde (LAB)                                                                                                                                                                                                3 608            307         50,49%            1              0           0,00%           2              1         50,00%        15              3          20,00%               nein* Niedersachsen Landesamt für Geoinformation und Landesvermessung Niedersachsen       1.867           764         40,92%            1              0           0,00%           1              0          0,00%        11              4          36,36%                 ja (LGLN)
9

Kleine Anfrage zur schriftlichen Beantwortung (Drs. 18/4222): Was unternimmt die Landesregierung zur Förderung der Gleichstellung von Frauen und Männern in der Landesverwaltung? Fragen 3, 4 Anteil weiblicher Beschäftigter sowie Frage 6_Verfügbarkeit von Gleichstellungsplänen Frauenanteil                                                                          Frauenanteil                                                              Gleichstellungs- an den Beschäftigten                                                         in den obersten drei Leitungsebenen                                                         pläne (zu Frage 3)                                                                         (zu Frage 4)                                                                 verfügbar 1. Leitungsebene                         2. Leitungsebene                         3. Leitungsebene                     (zu Frage 6) Landesbehörden nach   Beschäftigte     davon      Frauenanteil    Beschäftigte      davon     Frauenanteil  Beschäftigte      davon     Frauenanteil Beschäftigte      davon     Frauenanteil Ressortzuständigkeit   gesamt         Frauen       in Prozent                     Frauen       in Prozent                    Frauen     in Prozent                   Frauen      in Prozent Finanzministerium Landesamt für Steuern 641            248         38,69%             3             0           0,00%           5              1         20,00%         53             16         30,19%                 ja Niedersachsen Finanzämter                   11.121          6.391        57,47%            53             11          20,75%         65              36        55,38%        470            196         41,70%                 ja Steuerakademie 110             57         51,82%             1             0           0,00%           2              1         50,00%                                                          ja Niedersachsen Niedersächsisches Landesamt für Bau               338            149         44,08%             1             0           0,00%           4              1         25,00%         28             8          28,57%                 ja und Liegenschaften (NLBN) Ämter des Staatlichen 1.211           530         43,77%             8             1           12,50%         77              29        37,66%      entfällt                                            ja Baumanagement (SBN) Niedersächsisches Landesamt für Bezüge            996            676         67,87%             1             0           0,00%           4              2         50,00%         16             6          37,50%                 ja und Versorgung
10

Zur nächsten Seite