Ortsumfahrung Burghausen (Bundesstraße 20)

/ 9
PDF herunterladen
18. Wahlperiode                                                                                    16.12.2020  Drucksache                       18/11161 Schriftliche Anfrage des Abgeordneten Franz Bergmüller AfD vom 16.10.2020 Ortsumfahrung Burghausen (Bundesstraße 20 – B 20) In der Edition: Burghausen 2007/2008 wurde der Bürgermeister von Burghausen zum Ende seiner damaligen Wahlperiode durch ein Magazin gefragt: „Was war während Ihrer Amtszeit nicht durchsetzbar? Die Ortsumgehung von Burghausen im Zuge der B20. Ein ganz dringendes Problem für uns, denn wir ersticken aufgrund des LKW-Auf- kommens im Verkehr. Leider können wir uns mit der Nachbargemeinde Mehring nicht über die notwendige Trassenführung einigen, obwohl wir aus Sicht des Stadtrates alles getan haben, um diese Ortsumfahrung bauen zu können und uns sogar, wie der Land- kreis auch, als Finanzier angeboten haben. Wir brauchen dazu einfach das Einver- ständnis der Nachbargemeinde und hoffen auf deren Solidarität.“ In der Zwischenzeit wurde durch eine Bürgerinitiative das Verkehrsaufkommen bis in das Jahr 2025 be- rechnet: https://www.yumpu.com/de/document/view/7659565/verkehrsaufkommen-in- burghausen-bis-2025-burgerinitiative-. Am 14.03.2016 wurden dem Staatlichen Bau- amt Traunstein die Planungsunterlagen übergeben: „Landrat Erwin Schneider: „Um diesen untragbaren Zustand zu beseitigen, hat sich der Landkreis Altötting bereits vor einigen Jahren dazu entschlossen, die Planungen und die damit verbundenen Kosten für den Bau der Ortsumfahrung Burghausen zu übernehmen, zumal dieses Projekt im Jahr 2003 aus dem vordringlichen Bedarf gestrichen wurde und das staatliche Bau- amt Traunstein als eigentlich zuständige Behörde somit keine Planungsarbeit leisten konnte.“ Ziel dieser Maßnahme war, die Ortsumfahrung Burghausen in den vordring- lichen Bedarf des Bundesverkehrswegeplans zu hieven, der die höchste Stufe darstellt und sicherstellt, dass ein Projekt auch wirklich anfinanziert und im Laufe der nächs- ten Jahre realisiert wird. Jetzt übergab Landrat Schneider die fertigen Planungsunter- lagen anlässlich der Verkehrskonferenz zum Bundesverkehrswegeplan an den Leiter des Staatlichen Bauamtes Traunstein, Sebald König, dessen Behörde nun die weitere Realisierung vorantreiben wird, sofern die Ortsumfahrung Burghausen in den vordring- lichen Bedarf aufgenommen wird. Jetzt kommt es darauf an: Ob diese Vorarbeiten Früchte tragen, wird sich im Laufe der Woche zeigen, wenn der Entwurf des neuen Bundesverkehrswegeplans veröffentlicht wird. Schneider betont, „ohne das Engage- ment des Landkreises hätte dieses für den Landkreis und die Stadt Burghausen so wichtige Straßenbauprojekt wohl wenig Chancen in den vordringlichen Bedarf aufge- nommen zu werden. Durch die gute Zusammenarbeit mit der Stadt Burghausen, die die Hälfte der 900.000 Euro teuren Planungskosten übernommen hat, konnten wir nun eine wichtige Vorarbeit leisten, die die Umsetzung der Ortsumfahrung Burghausen zeit- nah ermöglicht.““ (https://www.blick-punkt.com/punktlandung-planung-der-ortsumfah- rung-burghausen-uebergeben/). 2017 gab ein Bürger hierzu zu bedenken: „Es könnte eine Frage der Finanzierung sein: Die Gemeindeverbindungsstraße nach Burgkirchen ist in Baulast-Trägerschaft von Burghausen bis Gärtnerei Bergmann, Mehring bis hin- ter Gegend, Burgkirchen bis zur Einmündung in die St 2107. Mit der Umwidmung zur Bundesstraße entfällt für die 3 Gemeinden und für die St 2107 Pirach-Hochöster für den Freistaat (anteilmäßig ??) die Baulasträgerschaft. Man spart Geld … Ansonsten steht in dem Artikel ziemlich viel falsches und Käse: Bei Wegfall der B 20 zwischen Hochöster und Napoleonshöhe resp. Neue Brücke Flussmitte lebt die St 2357 wieder auf. Hier muss also nichts umdeklariert werden (siehe Karte der Bayerischen Vermes- sungsverwaltung). Betreffend die Marktler Straße ist der Abschnitt im BA-Artikel kom- plett falsch. Vom Ortseingang Burghausen bis zur Flussmitte Alte Brücke, einschließ- lich Ludwigsplatz und (anteilig bis zur Brückengasse) ist dies die St 2108 in Baulast des Hinweis des Landtagsamts: Zitate werden weder inhaltlich noch formal überprüft. Die korrekte Zitierweise liegt in der Verantwortung der Fragestellerin bzw. des Fragestellers sowie der Staatsregierung. Drucksachen, Plenarprotokolle sowie die Tagesordnungen der Vollversammlung und der Ausschüsse sind im Internet unter www.bayern.landtag.de – Dokumente abrufbar. Die aktuelle Sitzungsübersicht steht unter www.bayern.landtag.de – Aktuelles/Sitzungen/Tagesübersicht zur Verfügung.
1

Drucksache 18/11161                   Bayerischer Landtag 18. Wahlperiode                                                                 Seite 2/9 Freistaats.“ Unter Bezugnahme auf folgendes Zitat des damaligen Bürgermeisters „Die Burgkirchener Straße gehöre großteils der Gemeinde, die auch die Straßenbaulast trage. Der Staat werde für den Unterhalt künftig nichts mehr bezahlen. Einer Aufstufung der Straße zur Bundesstraße stimmt Burghausen nicht zu“, so der Bürgermeister wei- ter. „Damit würde die Straße dauerhaft im Gemeindeunterhalt bleiben. Die Gemeinde müsste dann alle drei bis fünf Jahre die Straße herrichten.“ Äußerte der Bürger: „Hab ich da jetzt etwas falsch verstanden? Ich habe immer gemeint, für den Bau und den Unterhalt von Bundesstraßen sei der Bund, von Staatsstraßen der Freistaat zustän- dig und (finanziell) verantwortlich. Bei der Kostenlast kann doch allenfalls die (bereits 2012) erfolgte Verlagerung der „Blauen Route“ auf die Gemeindeverbindungsstraße ohne gleichzeitige Baulastübernahme durch das staatliche Bauamt TS gemeint sein“ (http://aoe-net.forumprofi.de/t1011f63-B-in-die-Burgkirchener-Strasse.html). Ich frage die Staatsregierung: 1.		    Ortsumfahrungen................................................................................................. 4 1.1     Welche Ortsumfahrungen in den Landkreisen AÖ, BGL, EBE, ED, MÜ, M- Land, RO-Land, TS sind zum Zeitpunkt der Beantwortung dieser Anfrage als Wunsch an die staatlichen Behörden herangetragen worden, aber noch nicht in das Stadium der Bedarfsplanung eingetreten?....................................... 4 1.2     Welche Ortsumfahrungen in den Landkreisen AÖ, BGL, EBE, ED, MÜ, M-Land, RO-Land, TS sind zum Zeitpunkt der Beantwortung dieser An- frage in den Stadien Bedarfsplanung, Vorplanung, Entwurfsplanung, Ge- nehmigungsplanung, Ausführungsplanung?........................................................ 4 1.3     An welchen Daten – also Jahr, Monat, Woche – ist jede der in Frage 1.2 abgefragten Ortsumfahrungen in den Landkreisen AÖ, BGL, EBE, ED, MÜ, M-Land, RO-Land, TS in jede der in Frage 1.2 abgefragten Phasen eingetreten bzw. hat jede dieser Phasen wieder verlassen?............................... 4 2.      Streichung der Ortsumfahrung B 20 Burghausen aus dem Vordringlichen Bedarf im Jahre 2003........................................................................................... 4 2.1     Aus welchen Gründen wurde die Ortsumfahrung im Jahre 2003 aus dem Vordringlichen Bedarf gestrichen (bitte Gründe ausführlich darlegen)?.............. 4 2.2     Welche Initiativen haben die Stadt Burghausen und die anderen an der denkbaren Planungsstrecke liegenden Gemeinden oder auch weitere Ein- flussnehmer sowie der Landkreis Altötting ergriffen, um die in Frage 2.1 abgefragte Streichung zu verhindern? ............................................................... 4 2.3     Welche Initiativen haben die Stadt Burghausen und die anderen an der denkbaren Planungsstrecke liegenden Gemeinden oder auch weitere Ein- flussnehmer sowie der Landkreis Altötting ergriffen, um die in Frage 2.1 abgefragte Streichung rückgängig zu machen?.................................................. 5 3.      Wiederaufnahme der Ortsumfahrung B 20 Burghausen in den Vordring- lichen Bedarf ....................................................................................................... 5 3.1     Aus welchen Gründen wurde die Ortsumfahrung in den Vordringlichen Be- darf wieder aufgenommen (bitte Gründe ausführlich darlegen)?........................ 5 3.2     Welche Initiativen haben die Stadt Burghausen und die anderen an der denkbaren Planungsstrecke liegenden Gemeinden oder auch weitere Ein- flussnehmer sowie der Landkreis Altötting ergriffen, um die in Frage 3.1 ab- gefragte Wiederaufnahme in den Vordringlichen Bedarf zu ermöglichen? ....... 5 3.3     Mit welcher Begründung waren die in Frage 3.2 geführten Initiativen dann letztendlich erfolgreich?....................................................................................... 5
2

Drucksache 18/11161                      Bayerischer Landtag 18. Wahlperiode                                                                 Seite 3/9 4.    Verkehrsprognosen für die Ortsumgehung der B 20 Burghausen....................... 5 4.1   Ist dem Straßenbauamt die im Vorspruch per Link zur Verfügung gestellte Verkehrsprognose aus Sicht des Straßenbauamts zutreffend (bitte be- gründen)? ............................................................................................................ 5 4.2   In welchen Punkten weicht die derzeit den Planungen zugrunde gelegte Verkehrsprognose von der in Frage 4.1 abgefragten Verkehrsprognose ab (bitte für jeden Punkt darlegen und begründen)?................................................ 5 5.    Verzögerungen..................................................................................................... 5 5.1   Mit welchen Hindernissen sah sich das Straßenbauamt Traunstein seit der Übernahme in den Vordringlichen Bedarf konfrontiert, die Verzögerungen bewirkten (bitte begründen)? ............................................................................. 5 5.2   Mit welchen Hindernissen sieht sich das Straßenbauamt Traunstein am Tag der Bearbeitung dieser Anfrage konfrontiert, die gegenwärtig Verzögerungen bewirken (bitte begründen)? .............................................................................. 6 5.3   Von welchen Hindernissen hat das Straßenbauamt Traunstein derzeit Kennt- nis, die in Zukunft Verzögerungen bewirken können (bitte begründen)? ........... 6 6.    Kosten der Ortsumgehung Burghausen der B 20................................................ 6 6.1   Mit welchen Kosten in Euro wurde im Jahre der Herausnahme aus dem Vor- dringlichen Bedarf, also im Jahre 2003, für die Ortsumgehung gerechnet?....... 6 6.2   Mit welchen Kosten in Euro wird zum Zeitpunkt der Beantwortung dieser Anfrage für die Ortsumgehung gerechnet (bitte auch die derzeit sich bereits abzeichnenden weiteren Kostensteigerungen angeben und aufschlüsseln und hierbei auf die im Vorspruch zitierten Argumente eines Bürgers ein- gehen)?................................................................................................................ 6 6.3   Wie wurden/werden die in den Frage 6.1 und 6.2 abgefragten Kosten im Jahr 2003 und derzeit auf jeden der in Betracht kommenden Kostenträger aufgeteilt?............................................................................................................. 6 7. 		 Präsentation im Stadtrat Burghausen 14.10.2020................................................ 7 7.1   Aufgrund welcher Initiativen wird das Bankett von 1,50 m auf 1,00 m ver- kleinert (bitte ausführlich darlegen und auch die Auswirkung auf die Kosten darlegen)?............................................................................................................ 7 7.2   Aufgrund welcher Initiativen wird darauf verzichtet, wechselseitige Überhol- strecken einzuplanen (bitte ausführlich darlegen und auch die Auswirkung auf die Kosten darlegen)?.................................................................................... 7 7.3   Welchen Einfluss hat der Umstand auf die Planung der Streckenführung und das verwendete Material, dass die Straße wohl auch als Zubringer für den Chemiestandort Burghausen genutzt werden könnte, z. B. zu Sonder- transporten überlanger und extrem schwerer Industrieanlagen oder deren Teile?.................................................................................................................... 7 8.    Radweg entlang der Ortsumgehung Burghausen der B 20................................. 7 8.1   Welche Initiativen sind der Staatsregierung bekannt, parallel der Orts- umgehung Burghausen der B 20 einen Radweg vorzusehen (bitte das Schicksal einer jeden dieser Initiativen ausführlich darlegen)?........................... 7 8.2   Welchen Aufwand würde es bedeuten, diese Ortsumfahrung mitsamt einem parallel verlaufenden Radweg umzusetzen (bitte Kosten und Zeitverzögerung aufschlüsseln)?.................................................................................................... 7 8.3   Welchen zu Frage 8.2 zusätzlichen Aufwand würde es bedeuten, diese Ortsumfahrung nachträglich mit einem parallel verlaufenden Radweg zu ergänzen (bitte Kosten und Zeitverzögerung aufschlüsseln)?............................. 8 Anlage zu Frage 1.2 und 1.3.......................................................................................... 9
3

Drucksache 18/11161                Bayerischer Landtag 18. Wahlperiode                          Seite 4/9 Antwort des Staatsministeriums für Wohnen, Bau und Verkehr vom 10.11.2020 1.		    Ortsumfahrungen 1.1     Welche Ortsumfahrungen in den Landkreisen AÖ, BGL, EBE, ED, MÜ, M- Land, RO-Land, TS sind zum Zeitpunkt der Beantwortung dieser Anfrage als Wunsch an die staatlichen Behörden herangetragen worden, aber noch nicht in das Stadium der Bedarfsplanung eingetreten? An das Staatliche Bauamt Traunstein wurden in den letzten Jahren folgende Wünsche für zusätzliche Ortsumfahrungen (OU) herangetragen: – B 20, OU Letten (Lkr. BGL), – B 304, OU Straß (Lkr. BGL), – B 304, OU Oberteisendorf (Lkr. BGL). Im Bereich des Staatlichen Bauamts Freising besteht der Wunsch nach einer Autobahn- parallele zur A 99 im Landkreis München von der Anschlussstelle Aschheim/Ismaning bis zur Nordumfahrung Putzbrunn mit dem Ziel, mehrere Ortsdurchfahrten vom Durch- gangsverkehr zu entlasten. An das Staatliche Bauamt Rosenheim wurden in den letzten Jahren keine Wünsche nach Bundesstraßenortsumfahrungen herangetragen. 1.2     Welche Ortsumfahrungen in den Landkreisen AÖ, BGL, EBE, ED, MÜ, M-Land, RO-Land, TS sind zum Zeitpunkt der Beantwortung dieser Anfrage in den Stadien Bedarfsplanung, Vorplanung, Entwurfsplanung, Genehmigungs- planung, Ausführungsplanung? Siehe Anlage. Das Projekt B 15neu zwischen Landshut und Rosenheim ist im Bedarfsplan im Wei- teren Bedarf mit Planungsrecht enthalten. Es finden hierfür derzeit keine Planungsak- tivitäten statt. Insbesondere die Frage des weiterzuverfolgenden Trassenkorridors ist derzeit noch völlig offen. In Abhängigkeit davon können ggf. weitere Ortsumfahrungen erforderlich werden. 1.3     An welchen Daten – also Jahr, Monat, Woche – ist jede der in Frage 1.2 ab- gefragten Ortsumfahrungen in den Landkreisen AÖ, BGL, EBE, ED, MÜ, M- Land, RO-Land, TS in jede der in Frage 1.2 abgefragten Phasen eingetreten bzw. hat jede dieser Phasen wieder verlassen? Siehe Anlage. 2.      Streichung der Ortsumfahrung B 20 Burghausen aus dem Vordringlichen Bedarf im Jahre 2003 2.1     Aus welchen Gründen wurde die Ortsumfahrung im Jahre 2003 aus dem Vordringlichen Bedarf gestrichen (bitte Gründe ausführlich darlegen)? Die Maßnahme wurde nicht gestrichen. Die OU Burghausen war im Bedarfsplan für die Bundesfernstraßen 2003 im Weiteren Bedarf enthalten. Die Einstufung erfolgte durch Beschluss des Deutschen Bundestages. 2.2     Welche Initiativen haben die Stadt Burghausen und die anderen an der denkbaren Planungsstrecke liegenden Gemeinden oder auch weitere Ein- flussnehmer sowie der Landkreis Altötting ergriffen, um die in Frage 2.1 abgefragte Streichung zu verhindern? Siehe Antwort zu Frage 2.1.
4

Drucksache 18/11161                 Bayerischer Landtag 18. Wahlperiode                         Seite 5/9 2.3    Welche Initiativen haben die Stadt Burghausen und die anderen an der denkbaren Planungsstrecke liegenden Gemeinden oder auch weitere Ein- flussnehmer sowie der Landkreis Altötting ergriffen, um die in Frage 2.1 abgefragte Streichung rückgängig zu machen? Siehe Antwort zu Frage 2.1. 3.     Wiederaufnahme der Ortsumfahrung B 20 Burghausen in den Vordringlichen Bedarf 3.1    Aus welchen Gründen wurde die Ortsumfahrung in den Vordringlichen Be- darf wieder aufgenommen (bitte Gründe ausführlich darlegen)? Die OU Burghausen ist im Bedarfsplan für die Bundesfernstraßen 2016 im Vordringlichen Bedarf enthalten. Die Einstufung erfolgte durch Beschluss des Deutschen Bundestages. 3.2    Welche Initiativen haben die Stadt Burghausen und die anderen an der denkbaren Planungsstrecke liegenden Gemeinden oder auch weitere Ein- flussnehmer sowie der Landkreis Altötting ergriffen, um die in Frage 3.1 abgefragte Wiederaufnahme in den Vordringlichen Bedarf zu ermöglichen? Siehe Antwort zu Frage 3.1. 3.3    Mit welcher Begründung waren die in Frage 3.2 geführten Initiativen dann letztendlich erfolgreich? Siehe Antwort zu Frage 3.1. 4.     Verkehrsprognosen für die Ortsumgehung der B 20 Burghausen 4.1    Ist dem Straßenbauamt die im Vorspruch per Link zur Verfügung gestellte Verkehrsprognose aus Sicht des Straßenbauamts zutreffend (bitte be- gründen)? Die Verkehrsprognose von Bernd Passer war dem Staatlichen Bauamt Traunstein bis- her nicht bekannt. Sie basiert auf Verkehrszählungen von Prof. Dr. Harald Kurzak aus den Jahren 2008/2009. Zielsetzung der Beurteilung war wohl eine Betrachtung der Entwicklung des gesamten innerstädtischen Verkehrs in Burghausen. Die Verkehrs- prognose von Bernd Passer mit Prognosehorizont 2025 ist nicht vergleichbar mit dem vom Staatlichen Bauamt Traunstein beauftragten projektbezogenen Verkehrsgutachten für die OU Burghausen aus dem Jahr 2019 mit Prognosehorizont 2035, das auf Analyse- zahlen durch Verkehrserhebungen vor Ort aus dem Jahr 2018 basiert. Eine belastbare Bewertung der von Bernd Passer erstellten Beurteilung des Verkehrsaufkommens in Burghausen bis 2025 ist wegen der unterschiedlichen Ausgangsdaten und Prognose- horizonte nicht möglich. 4.2    In welchen Punkten weicht die derzeit den Planungen zugrunde gelegte Verkehrsprognose von der in Frage 4.1 abgefragten Verkehrsprognose ab (bitte für jeden Punkt darlegen und begründen)? Siehe Antwort zu Frage 4.1. 5.     Verzögerungen 5.1    Mit welchen Hindernissen sah sich das Straßenbauamt Traunstein seit der Übernahme in den Vordringlichen Bedarf konfrontiert, die Verzögerungen bewirkten (bitte begründen)? Seit der Einstufung der OU Burghausen in den Vordringlichen Bedarf des Bedarfsplans für die Bundesfernstraßen im Jahr 2016 besteht der Planungsauftrag für das Staatliche
5

Drucksache 18/11161                Bayerischer Landtag 18. Wahlperiode                             Seite 6/9 Bauamt Traunstein. Bis zu diesem Zeitpunkt wurde die Planung vom Landkreis Altötting und der Stadt Burghausen finanziert und vorangetrieben. Die vom Landkreis Altötting beauftragte Vorentwurfsplanung konnte vom Staatlichen Bauamt Traunstein nicht unver- ändert übernommen werden und musste aus den nachfolgenden Gründen z. T. grund- legend überarbeitet werden: – Mit der Planung des Landkreises stieß man auf unüberwindbare naturschutzfachli- che Hindernisse. So stellte die Höhere Naturschutzbehörde fest, dass bei der Land- kreisplanung artenschutzrechtliche Verbotstatbestände bei der Durchschneidung ei- nes Schwarzspecht-Höhlenzentrums nicht in ausreichender Form durch technische oder landschaftsplanerische Maßnahmen abgewendet werden können. Daher war eine kleinräumige Trassenoptimierung erforderlich. – Darüber hinaus entsprach die Trassierung der Umfahrung nicht mehr den geltenden Regelwerken. Durch die zwischenzeitliche Einführung der neuen Richtlinien für die Anlage von Landstraßen (RAL 2012) änderten sich die planerischen Rahmenbedin- gungen, insbesondere hinsichtlich der Knotenpunktformen und des Straßenquer- schnitts. Die Änderungen mussten im Rahmen der Vorentwurfsplanung eingearbei- tet und in den Fachgutachten berücksichtigt werden. 5.2    Mit welchen Hindernissen sieht sich das Straßenbauamt Traunstein am Tag der Bearbeitung dieser Anfrage konfrontiert, die gegenwärtig Verzögerungen bewirken (bitte begründen)? Das Staatliche Bauamt Traunstein sieht sich derzeit nicht mit Hindernissen konfrontiert, die eine Verzögerung bewirken. 5.3    Von welchen Hindernissen hat das Straßenbauamt Traunstein derzeit Kennt- nis, die in Zukunft Verzögerungen bewirken können (bitte begründen)? Das Staatliche Bauamt Traunstein geht von einem komplexen Planfeststellungsverfahren zur Baurechtschaffung mit vielen Einwendungen aus. Auch muss mit Klagen gegen einen Planfeststellungsbeschluss gerechnet werden. 6.     Kosten der Ortsumgehung Burghausen der B 20 6.1    Mit welchen Kosten in Euro wurde im Jahre der Herausnahme aus dem Vor- dringlichen Bedarf, also im Jahre 2003, für die Ortsumgehung gerechnet? Die für den Bundesverkehrswegeplan (BVWP) 2003 ermittelten Kosten für die OU Burg- hausen lagen bei 10,5 Mio. Euro. 6.2    Mit welchen Kosten in Euro wird zum Zeitpunkt der Beantwortung dieser Anfrage für die Ortsumgehung gerechnet (bitte auch die derzeit sich bereits abzeichnenden weiteren Kostensteigerungen angeben und aufschlüsseln und hierbei auf die im Vorspruch zitierten Argumente eines Bürgers ein- gehen)? Die für den aktuellen BVWP 2030 ermittelten Kosten für die OU Burghausen lagen bei 21,7 Mio. Euro. Sie basieren auf dem damaligen Planungsstand und dem Preisniveau von 2014. Seither haben sich die Baupreise weiter nach oben entwickelt. Insbesondere die Kosten für Ingenieurbauwerke sind wesentlich gestiegen, sodass davon auszugehen ist, dass die im BVWP 2030 gemeldeten Kosten nach oben korrigiert werden müssen. Das Staatliche Bauamt Traunstein erstellt derzeit eine aktuelle Kostenberechnung, die voraussichtlich Anfang 2021 vorliegt. Aktuelle Kosten können erst dann genannt werden. 6.3    Wie wurden/werden die in den Frage 6.1 und 6.2 abgefragten Kosten im Jahr 2003 und derzeit auf jeden der in Betracht kommenden Kostenträger aufgeteilt?
6

Drucksache 18/11161                 Bayerischer Landtag 18. Wahlperiode                            Seite 7/9 Da es sich um den Neubau einer Bundesstraße handelt, ist der Bund als Straßenbau- lastträger der B 20 alleiniger Kostenträger für die OU Burghausen. 7. 		   Präsentation im Stadtrat Burghausen 14.10.2020 7.1     Aufgrund welcher Initiativen wird das Bankett von 1,50 m auf 1,00 m ver- kleinert (bitte ausführlich darlegen und auch die Auswirkung auf die Kosten darlegen)? Die Reduzierung der Regelbankette von 1,50 m auf 1,00 m sehen die Richtlinien für die Anlage von Landstraßen (RAL 2012) in Einschnittsbereichen vor, wenn neben dem Ban- kett eine 2,00 m breite Mulde geplant ist. Es handelt sich hierbei um eine regelkonforme und verkehrssichere Lösung. Dies stellt weder einen Sonderfall noch eine Maßnahme zur Kosteneinsparung dar. 7.2     Aufgrund welcher Initiativen wird darauf verzichtet, wechselseitige Überhol- strecken einzuplanen (bitte ausführlich darlegen und auch die Auswirkung auf die Kosten darlegen)? In Abstimmung mit dem Bundesministerium für Verkehr und digitale Infrastruktur wurde einvernehmlich festgelegt, dass bei der OU Burghausen auf die Überholfahrstreifen ver- zichtet werden kann, da durch den dreistreifigen Ausbau der B 20 zwischen Burghausen und Marktl unweit von der geplanten OU Burghausen bereits jetzt für jede Fahrtrichtung zwei gesicherte Überholabschnitte vorhanden sind, die den Überholdruck abbauen. Mit dem Verzicht auf einen Überholfahrstreifen wurde vor allem eine Reduzierung der Flächeninanspruchnahme verfolgt. Kostenersparnisse waren nicht ausschlagge- bend. 7.3     Welchen Einfluss hat der Umstand auf die Planung der Streckenführung und das verwendete Material, dass die Straße wohl auch als Zubringer für den Chemiestandort Burghausen genutzt werden könnte, z. B. zu Sonder- transporten überlanger und extrem schwerer Industrieanlagen oder deren Teile? Die Trassierung sowie der Straßenaufbau der OU Burghausen wird nach den anerkannten Regeln der Technik geplant. Die OU Burghausen liegt weder im militärischen Grundnetz noch auf einer Schwertransportroute. 8.      Radweg entlang der Ortsumgehung Burghausen der B 20 8.1     Welche Initiativen sind der Staatsregierung bekannt, parallel der Orts- umgehung Burghausen der B 20 einen Radweg vorzusehen (bitte das Schicksal einer jeden dieser Initiativen ausführlich darlegen)? Es sind bislang keine Initiativen für einen begleitenden Radweg bekannt. 8.2     Welchen Aufwand würde es bedeuten, diese Ortsumfahrung mitsamt einem parallel verlaufenden Radweg umzusetzen (bitte Kosten und Zeitverzögerung aufschlüsseln)? Ein Bedarf an einer zusätzlichen Radverbindung entlang der OU Burghausen wird nicht gesehen, da der Radverkehr wie bisher über das nachgeordnete Wegenetz geführt werden kann. Falls dennoch ein Radweg gebaut werden soll, wären die Planung und die Fach- gutachten entsprechend anzupassen. Die Kosten würden sich um die Grunderwerbs- kosten und die Baukosten für den Radweg (ca. 0,5 Mio. Euro/km) erhöhen. Die Zeitver- zögerung wird als eher gering eingeschätzt.
7

Drucksache 18/11161               Bayerischer Landtag 18. Wahlperiode                         Seite 8/9 8.3    Welchen zu Frage 8.2 zusätzlichen Aufwand würde es bedeuten, diese Ortsumfahrung nachträglich mit einem parallel verlaufenden Radweg zu ergänzen (bitte Kosten und Zeitverzögerung aufschlüsseln)? Siehe Antwort zu Frage 8.2. Die Planung des zusätzlichen Radweges müsste in den Planunterlagen zur Planfest- stellung berücksichtigt werden, um die baurechtlichen Voraussetzungen zu schaffen und einen gesicherten Grunderwerb zu gewährleisten.
8

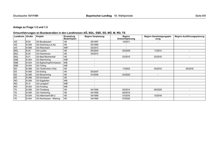
Drucksache 18/11161                                     Bayerischer Landtag 18. Wahlperiode                                              Seite 9/9 Anlage zu Frage 1.2 und 1.3 Ortsumfahrungen an Bundestraßen in den Landkreisen AÖ, BGL, EBE, ED, MÜ, M, RO, TS Landkreis Straße  Projekt                  Einstufung  Beginn Vorplanung           Beginn      Beginn Genehmigungspla- Beginn Ausführungsplanung Bedarfsplan                         Entwurfsplanung          nung AÖ        B 20    OU Burghausen            VB               06/1997                10/2011                - AÖ        B 299   OU Garching a.d.Alz      VB               04/1996                    - AÖ        B 588   OU Reischach             WB*              02/2013                    - BGL       B 20    OU Laufen                VB               06/2004                03/2009             11/2013                     - BGL       B 20    OU Hammerau              VB               04/2013                    - BGL       B 21    OU Bad Reichenhall       VB                                      03/2010             03/2010                     - EBE       B 304   OU Steinhöring           WB*                  - EBE       B 304   OU Eglharting/Kirchseeon WB                   - EBE       B 304   OU Tulling               WB                   - ED        B 388   OU Taufkirchen (Vils)    VB                                      11/2003             03/2012                  06/2018 ED        B 388   OU Erding                VB               05/2007                    - ED        B 388   OU Moosinning            VB               01/2008                04/2020                - ED        B 388   OU Grünbach              VB                   - MÜ        B 299   OU Egglkofen             WB                   - RO        B 15    OU Lengdorf              WB*                  - RO        B 304   OU Forsting              WB                   - TS        B 299   OU Trostberg             VB               04/1996                05/2014             06/2020                     - TS        B 299   OU Tacherting            VB               04/1996                08/2019                - TS        B 304   OU Altenmarkt BA 2       VB               04/1996                01/2010             12/2018                     - TS        B 304   OU Nunhausen - Matzing   VB               04/1996                07/2020                -
9