Fragen zu Coronavirus | COVID-19 | 2019-nCoV | SARS-CoV-2 | Teil 2

/ 1356
PDF herunterladen
Tatverdächtige nach Nationalitäten 2010 - 2019 Jahr Schlüssel Straftat                      Täter       Nicht-       Staatsangehörigkeit   Schlüssel Täter der Tat insgesamt   deutsche                           des       insgesamt pro         Täter pro                          Staates   pro Staat Delikts- schlüssel   Deliktsschl. 2014 232100    Freiheitsberaubung § 239 StGB         214           52 Russische Föderation  160                1 2014 232100    Freiheitsberaubung § 239 StGB         214           52 Ungarn                165                1 2014 232100    Freiheitsberaubung § 239 StGB         214           52 Serbien               170                1 2014 232100    Freiheitsberaubung § 239 StGB         214           52 Nigeria               232                1 2014 232100    Freiheitsberaubung § 239 StGB         214           52 Kenia                 243                1 2014 232100    Freiheitsberaubung § 239 StGB         214           52 Afghanistan           423                1 2014 232100    Freiheitsberaubung § 239 StGB         214           52 Rumänien              154              10 2013 232100    Freiheitsberaubung § 239 StGB         241           74 Deutschland           000             167 2013 232100    Freiheitsberaubung § 239 StGB         241           74 Slowenien             131                1 2013 232100    Freiheitsberaubung § 239 StGB         241           74 Rumänien              154                7 2013 232100    Freiheitsberaubung § 239 StGB         241           74 Italien               137                1 2013 232100    Freiheitsberaubung § 239 StGB         241           74 Montenegro            140                1 2013 232100    Freiheitsberaubung § 239 StGB         241           74 Mazedonien,ehemalige  144                1 jugoslawische Rep. 2013 232100    Freiheitsberaubung § 239 StGB         241           74 Norwegen              149                1 2013 232100    Freiheitsberaubung § 239 StGB         241           74 Schweiz               158                1 2013 232100    Freiheitsberaubung § 239 StGB         241           74 Tschechische Republik 164                1 2013 232100    Freiheitsberaubung § 239 StGB         241           74 Angola                223                1 2013 232100    Freiheitsberaubung § 239 StGB         241           74 Kamerun               262                1 2013 232100    Freiheitsberaubung § 239 StGB         241           74 Tschad                284                1 2013 232100    Freiheitsberaubung § 239 StGB         241           74 Kuba                  351                1 2013 232100    Freiheitsberaubung § 239 StGB         241           74 Peru                  361                1 2013 232100    Freiheitsberaubung § 239 StGB         241           74 Vietnam               432                1 2013 232100    Freiheitsberaubung § 239 StGB         241           74 Kasachstan            444                1 2013 232100    Freiheitsberaubung § 239 StGB         241           74 Usbekistan            477                1
1051

Tatverdächtige nach Nationalitäten 2010 - 2019 Jahr Schlüssel Straftat                      Täter       Nicht-       Staatsangehörigkeit    Schlüssel Täter der Tat insgesamt   deutsche                            des       insgesamt pro         Täter pro                           Staates   pro Staat Delikts- schlüssel   Deliktsschl. 2013 232100    Freiheitsberaubung § 239 StGB         241           74 staatenlos             997                1 2013 232100    Freiheitsberaubung § 239 StGB         241           74 Polen                  152                4 2013 232100    Freiheitsberaubung § 239 StGB         241           74 Serbien                170                4 2013 232100    Freiheitsberaubung § 239 StGB         241           74 Irak                   438                4 2013 232100    Freiheitsberaubung § 239 StGB         241           74 Bosnien und            122                3 Herzegowina 2013 232100    Freiheitsberaubung § 239 StGB         241           74 Kosovo                 150                3 2013 232100    Freiheitsberaubung § 239 StGB         241           74 Vereinigte Staaten von 368                3 Amerika (USA) 2013 232100    Freiheitsberaubung § 239 StGB         241           74 Bulgarien              125                2 2013 232100    Freiheitsberaubung § 239 StGB         241           74 Griechenland           134                2 2013 232100    Freiheitsberaubung § 239 StGB         241           74 Österreich             151                2 2013 232100    Freiheitsberaubung § 239 StGB         241           74 Portugal               153                2 2013 232100    Freiheitsberaubung § 239 StGB         241           74 Ukraine                166                2 2013 232100    Freiheitsberaubung § 239 StGB         241           74 Iran, Islamische       439                2 Republik 2013 232100    Freiheitsberaubung § 239 StGB         241           74 Kroatien               130                1 2013 232100    Freiheitsberaubung § 239 StGB         241           74 Türkei                 163              17 2012 232100    Freiheitsberaubung § 239 StGB         221           60 Deutschland            000             161 2012 232100    Freiheitsberaubung § 239 StGB         221           60 China                  479                1 2012 232100    Freiheitsberaubung § 239 StGB         221           60 Serbien                170                9 2012 232100    Freiheitsberaubung § 239 StGB         221           60 Italien                137                5 2012 232100    Freiheitsberaubung § 239 StGB         221           60 Russische Föderation   160                3 2012 232100    Freiheitsberaubung § 239 StGB         221           60 Irak                   438                3 2012 232100    Freiheitsberaubung § 239 StGB         221           60 Kroatien               130                2 2012 232100    Freiheitsberaubung § 239 StGB         221           60 Rumänien               154                2 2012 232100    Freiheitsberaubung § 239 StGB         221           60 Vereinigte Staaten von 368                2 Amerika (USA)
1052

Tatverdächtige nach Nationalitäten 2010 - 2019 Jahr Schlüssel Straftat                      Täter       Nicht-       Staatsangehörigkeit    Schlüssel Täter der Tat insgesamt   deutsche                            des       insgesamt pro         Täter pro                           Staates   pro Staat Delikts- schlüssel   Deliktsschl. 2012 232100    Freiheitsberaubung § 239 StGB         221           60 Albanien               121                1 2012 232100    Freiheitsberaubung § 239 StGB         221           60 Bulgarien              125                1 2012 232100    Freiheitsberaubung § 239 StGB         221           60 Slowenien              131                1 2012 232100    Freiheitsberaubung § 239 StGB         221           60 Jugoslawien (f.        138                1 Nachtragsmeldung) 2012 232100    Freiheitsberaubung § 239 StGB         221           60 Montenegro             140                1 2012 232100    Freiheitsberaubung § 239 StGB         221           60 Kosovo                 150                1 2012 232100    Freiheitsberaubung § 239 StGB         221           60 Polen                  152                1 2012 232100    Freiheitsberaubung § 239 StGB         221           60 Tschechische Republik  164                1 2012 232100    Freiheitsberaubung § 239 StGB         221           60 Ukraine                166                1 2012 232100    Freiheitsberaubung § 239 StGB         221           60 Kongo                  245                1 2012 232100    Freiheitsberaubung § 239 StGB         221           60 Kamerun                262                1 2012 232100    Freiheitsberaubung § 239 StGB         221           60 Brasilien              327                1 2012 232100    Freiheitsberaubung § 239 StGB         221           60 Haiti                  346                1 2012 232100    Freiheitsberaubung § 239 StGB         221           60 Afghanistan            423                1 2012 232100    Freiheitsberaubung § 239 StGB         221           60 Vietnam                432                1 2012 232100    Freiheitsberaubung § 239 StGB         221           60 Syrien, Arabische      475                1 Republik 2012 232100    Freiheitsberaubung § 239 StGB         221           60 Türkei                 163              17 2011 232100    Freiheitsberaubung § 239 StGB         212           66 Ungarn                 165                2 2011 232100    Freiheitsberaubung § 239 StGB         212           66 Rumänien               154                2 2011 232100    Freiheitsberaubung § 239 StGB         212           66 Vereinigte Staaten von 368                2 Amerika (USA) 2011 232100    Freiheitsberaubung § 239 StGB         212           66 Irak                   438                2 2011 232100    Freiheitsberaubung § 239 StGB         212           66 Bulgarien              125                1 2011 232100    Freiheitsberaubung § 239 StGB         212           66 Montenegro             140                1 2011 232100    Freiheitsberaubung § 239 StGB         212           66 Mazedonien,ehemalige   144                1 jugoslawische Rep.
1053

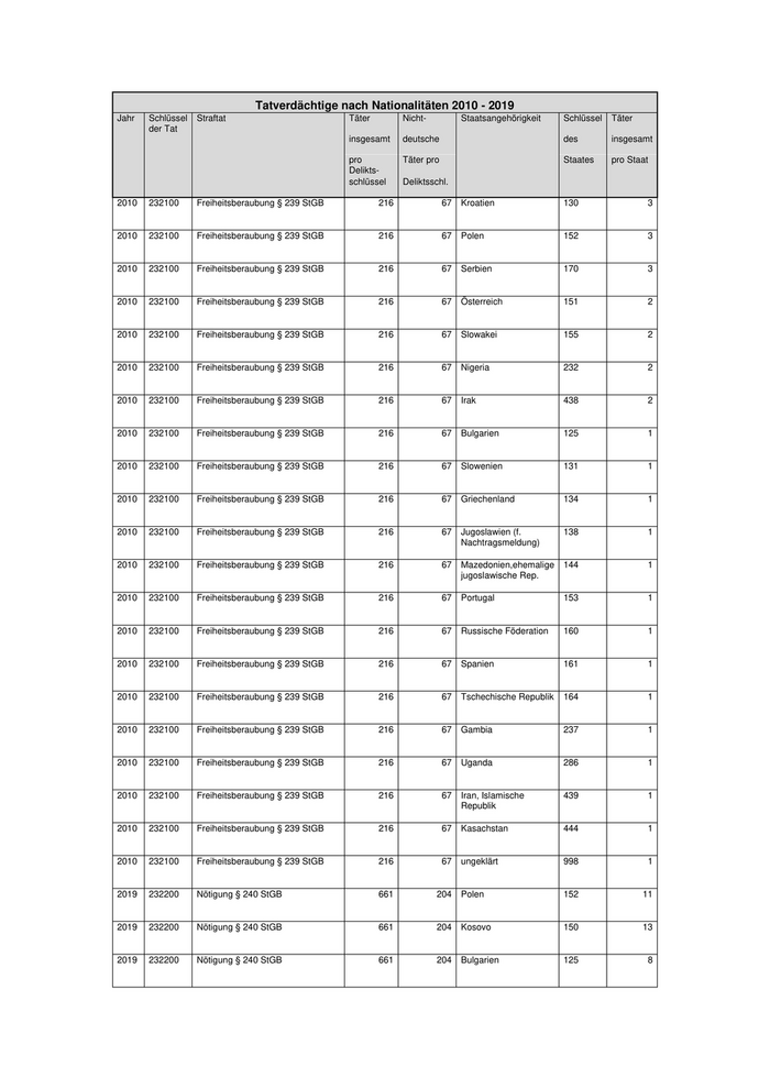
Tatverdächtige nach Nationalitäten 2010 - 2019 Jahr Schlüssel Straftat                      Täter       Nicht-       Staatsangehörigkeit   Schlüssel Täter der Tat insgesamt   deutsche                           des       insgesamt pro         Täter pro                          Staates   pro Staat Delikts- schlüssel   Deliktsschl. 2011 232100    Freiheitsberaubung § 239 StGB         212           66 Österreich            151                1 2011 232100    Freiheitsberaubung § 239 StGB         212           66 Portugal              153                1 2011 232100    Freiheitsberaubung § 239 StGB         212           66 Russische Föderation  160                1 2011 232100    Freiheitsberaubung § 239 StGB         212           66 Tschechische Republik 164                1 2011 232100    Freiheitsberaubung § 239 StGB         212           66 Verein. Königreich    168                1 Großbrit./Nordirland 2011 232100    Freiheitsberaubung § 239 StGB         212           66 Nigeria               232                1 2011 232100    Freiheitsberaubung § 239 StGB         212           66 Kenia                 243                1 2011 232100    Freiheitsberaubung § 239 StGB         212           66 Kongo                 245                1 2011 232100    Freiheitsberaubung § 239 StGB         212           66 Ägypten               287                1 2011 232100    Freiheitsberaubung § 239 StGB         212           66 Bolivien              326                1 2011 232100    Freiheitsberaubung § 239 StGB         212           66 Kuba                  351                1 2011 232100    Freiheitsberaubung § 239 StGB         212           66 Syrien, Arabische     475                1 Republik 2011 232100    Freiheitsberaubung § 239 StGB         212           66 Deutschland           000             146 2011 232100    Freiheitsberaubung § 239 StGB         212           66 Türkei                163              18 2011 232100    Freiheitsberaubung § 239 StGB         212           66 Bosnien und           122                7 Herzegowina 2011 232100    Freiheitsberaubung § 239 StGB         212           66 Italien               137                7 2011 232100    Freiheitsberaubung § 239 StGB         212           66 Griechenland          134                5 2011 232100    Freiheitsberaubung § 239 StGB         212           66 Polen                 152                4 2011 232100    Freiheitsberaubung § 239 StGB         212           66 Serbien               170                2 2010 232100    Freiheitsberaubung § 239 StGB         216           67 Deutschland           000             149 2010 232100    Freiheitsberaubung § 239 StGB         216           67 Türkei                163              19 2010 232100    Freiheitsberaubung § 239 StGB         216           67 Italien               137                7 2010 232100    Freiheitsberaubung § 239 StGB         216           67 Bosnien und           122                5 Herzegowina 2010 232100    Freiheitsberaubung § 239 StGB         216           67 Rumänien              154                5
1054

Tatverdächtige nach Nationalitäten 2010 - 2019 Jahr Schlüssel Straftat                      Täter       Nicht-       Staatsangehörigkeit   Schlüssel Täter der Tat insgesamt   deutsche                           des       insgesamt pro         Täter pro                          Staates   pro Staat Delikts- schlüssel   Deliktsschl. 2010 232100    Freiheitsberaubung § 239 StGB         216           67 Kroatien              130                3 2010 232100    Freiheitsberaubung § 239 StGB         216           67 Polen                 152                3 2010 232100    Freiheitsberaubung § 239 StGB         216           67 Serbien               170                3 2010 232100    Freiheitsberaubung § 239 StGB         216           67 Österreich            151                2 2010 232100    Freiheitsberaubung § 239 StGB         216           67 Slowakei              155                2 2010 232100    Freiheitsberaubung § 239 StGB         216           67 Nigeria               232                2 2010 232100    Freiheitsberaubung § 239 StGB         216           67 Irak                  438                2 2010 232100    Freiheitsberaubung § 239 StGB         216           67 Bulgarien             125                1 2010 232100    Freiheitsberaubung § 239 StGB         216           67 Slowenien             131                1 2010 232100    Freiheitsberaubung § 239 StGB         216           67 Griechenland          134                1 2010 232100    Freiheitsberaubung § 239 StGB         216           67 Jugoslawien (f.       138                1 Nachtragsmeldung) 2010 232100    Freiheitsberaubung § 239 StGB         216           67 Mazedonien,ehemalige  144                1 jugoslawische Rep. 2010 232100    Freiheitsberaubung § 239 StGB         216           67 Portugal              153                1 2010 232100    Freiheitsberaubung § 239 StGB         216           67 Russische Föderation  160                1 2010 232100    Freiheitsberaubung § 239 StGB         216           67 Spanien               161                1 2010 232100    Freiheitsberaubung § 239 StGB         216           67 Tschechische Republik 164                1 2010 232100    Freiheitsberaubung § 239 StGB         216           67 Gambia                237                1 2010 232100    Freiheitsberaubung § 239 StGB         216           67 Uganda                286                1 2010 232100    Freiheitsberaubung § 239 StGB         216           67 Iran, Islamische      439                1 Republik 2010 232100    Freiheitsberaubung § 239 StGB         216           67 Kasachstan            444                1 2010 232100    Freiheitsberaubung § 239 StGB         216           67 ungeklärt             998                1 2019 232200    Nötigung § 240 StGB                   661          204 Polen                 152              11 2019 232200    Nötigung § 240 StGB                   661          204 Kosovo                150              13 2019 232200    Nötigung § 240 StGB                   661          204 Bulgarien             125                8
1055

Tatverdächtige nach Nationalitäten 2010 - 2019 Jahr Schlüssel Straftat                     Täter       Nicht-       Staatsangehörigkeit    Schlüssel Täter der Tat insgesamt   deutsche                            des       insgesamt pro         Täter pro                           Staates   pro Staat Delikts- schlüssel   Deliktsschl. 2019 232200    Nötigung § 240 StGB                  661          204 Griechenland           134                7 2019 232200    Nötigung § 240 StGB                  661          204 Irak                   438                7 2019 232200    Nötigung § 240 StGB                  661          204 Kroatien               130                6 2019 232200    Nötigung § 240 StGB                  661          204 Serbien                170                6 2019 232200    Nötigung § 240 StGB                  661          204 Nigeria                232                5 2019 232200    Nötigung § 240 StGB                  661          204 Pakistan               461                5 2019 232200    Nötigung § 240 StGB                  661          204 Bosnien und            122                4 Herzegowina 2019 232200    Nötigung § 240 StGB                  661          204 Mazedonien,ehemalige   144                4 jugoslawische Rep. 2019 232200    Nötigung § 240 StGB                  661          204 Russische Föderation   160                4 2019 232200    Nötigung § 240 StGB                  661          204 Ukraine                166                4 2019 232200    Nötigung § 240 StGB                  661          204 Ungarn                 165                3 2019 232200    Nötigung § 240 StGB                  661          204 Vereinigte Staaten von 368                3 Amerika (USA) 2019 232200    Nötigung § 240 StGB                  661          204 Libanon                451                1 2019 232200    Nötigung § 240 StGB                  661          204 Korea (Republik)       467                1 2019 232200    Nötigung § 240 StGB                  661          204 Usbekistan             477                1 2019 232200    Nötigung § 240 StGB                  661          204 Afghanistan            423                3 2019 232200    Nötigung § 240 StGB                  661          204 Iran, Islamische       439                3 Republik 2019 232200    Nötigung § 240 StGB                  661          204 Slowenien              131                2 2019 232200    Nötigung § 240 StGB                  661          204 Lettland               139                2 2019 232200    Nötigung § 240 StGB                  661          204 Niederlande            148                2 2019 232200    Nötigung § 240 StGB                  661          204 Tschechische Republik  164                2 2019 232200    Nötigung § 240 StGB                  661          204 Somalia                273                2 2019 232200    Nötigung § 240 StGB                  661          204 Tunesien               285                2 2019 232200    Nötigung § 240 StGB                  661          204 Aserbaidschan          425                2
1056

Tatverdächtige nach Nationalitäten 2010 - 2019 Jahr Schlüssel Straftat                     Täter       Nicht-       Staatsangehörigkeit Schlüssel Täter der Tat insgesamt   deutsche                         des       insgesamt pro         Täter pro                        Staates   pro Staat Delikts- schlüssel   Deliktsschl. 2019 232200    Nötigung § 240 StGB                  661          204 Indien              436                2 2019 232200    Nötigung § 240 StGB                  661          204 Albanien            121                1 2019 232200    Nötigung § 240 StGB                  661          204 Montenegro          140                1 2019 232200    Nötigung § 240 StGB                  661          204 Litauen             142                1 2019 232200    Nötigung § 240 StGB                  661          204 Österreich          151                1 2019 232200    Nötigung § 240 StGB                  661          204 Slowakei            155                1 2019 232200    Nötigung § 240 StGB                  661          204 Schweiz             158                1 2019 232200    Nötigung § 240 StGB                  661          204 Angola              223                1 2019 232200    Nötigung § 240 StGB                  661          204 Eritrea             224                1 2019 232200    Nötigung § 240 StGB                  661          204 Gambia              237                1 2019 232200    Nötigung § 240 StGB                  661          204 Demokratische       246                1 Republik Kongo 2019 232200    Nötigung § 240 StGB                  661          204 Senegal             269                1 2019 232200    Nötigung § 240 StGB                  661          204 Ägypten             287                1 2019 232200    Nötigung § 240 StGB                  661          204 Brasilien           327                1 2019 232200    Nötigung § 240 StGB                  661          204 Sri Lanka           431                1 2019 232200    Nötigung § 240 StGB                  661          204 Vietnam             432                1 2019 232200    Nötigung § 240 StGB                  661          204 Kasachstan          444                1 2019 232200    Nötigung § 240 StGB                  661          204 Kuwait              448                1 2019 232200    Nötigung § 240 StGB                  661          204 Deutschland         000             457 2019 232200    Nötigung § 240 StGB                  661          204 Türkei              163              31 2019 232200    Nötigung § 240 StGB                  661          204 Rumänien            154              17 2019 232200    Nötigung § 240 StGB                  661          204 Syrien, Arabische   475              15 Republik 2019 232200    Nötigung § 240 StGB                  661          204 Italien             137                9 2018 232200    Nötigung § 240 StGB                  727          237 Italien             137                6
1057

Tatverdächtige nach Nationalitäten 2010 - 2019 Jahr Schlüssel Straftat                     Täter       Nicht-       Staatsangehörigkeit    Schlüssel Täter der Tat insgesamt   deutsche                            des       insgesamt pro         Täter pro                           Staates   pro Staat Delikts- schlüssel   Deliktsschl. 2018 232200    Nötigung § 240 StGB                  727          237 Syrien, Arabische      475              18 Republik 2018 232200    Nötigung § 240 StGB                  727          237 Österreich             151                5 2018 232200    Nötigung § 240 StGB                  727          237 Slowakei               155                5 2018 232200    Nötigung § 240 StGB                  727          237 Russische Föderation   160                4 2018 232200    Nötigung § 240 StGB                  727          237 Tunesien               285                4 2018 232200    Nötigung § 240 StGB                  727          237 Albanien               121                3 2018 232200    Nötigung § 240 StGB                  727          237 Bosnien und            122                3 Herzegowina 2018 232200    Nötigung § 240 StGB                  727          237 Bulgarien              125                3 2018 232200    Nötigung § 240 StGB                  727          237 Ukraine                166                3 2018 232200    Nötigung § 240 StGB                  727          237 Vereinigte Staaten von 368                3 Amerika (USA) 2018 232200    Nötigung § 240 StGB                  727          237 Frankreich             129                2 2018 232200    Nötigung § 240 StGB                  727          237 Mazedonien,ehemalige   144                2 jugoslawische Rep. 2018 232200    Nötigung § 240 StGB                  727          237 Portugal               153                2 2018 232200    Nötigung § 240 StGB                  727          237 Tschechische Republik  164                2 2018 232200    Nötigung § 240 StGB                  727          237 Ungarn                 165                2 2018 232200    Nötigung § 240 StGB                  727          237 Belarus                169                2 2018 232200    Nötigung § 240 StGB                  727          237 Pakistan               461                2 2018 232200    Nötigung § 240 StGB                  727          237 Lettland               139                1 2018 232200    Nötigung § 240 StGB                  727          237 Spanien                161                1 2018 232200    Nötigung § 240 StGB                  727          237 Verein. Königreich     168                1 Großbrit./Nordirland 2018 232200    Nötigung § 240 StGB                  727          237 Algerien               221                1 2018 232200    Nötigung § 240 StGB                  727          237 Eritrea                224                1 2018 232200    Nötigung § 240 StGB                  727          237 Äthiopien              225                1 2018 232200    Nötigung § 240 StGB                  727          237 Marokko                252                1
1058

Tatverdächtige nach Nationalitäten 2010 - 2019 Jahr Schlüssel Straftat                     Täter       Nicht-       Staatsangehörigkeit   Schlüssel Täter der Tat insgesamt   deutsche                           des       insgesamt pro         Täter pro                          Staates   pro Staat Delikts- schlüssel   Deliktsschl. 2018 232200    Nötigung § 240 StGB                  727          237 Somalia               273                1 2018 232200    Nötigung § 240 StGB                  727          237 Uganda                286                1 2018 232200    Nötigung § 240 StGB                  727          237 Ägypten               287                1 2018 232200    Nötigung § 240 StGB                  727          237 Jamaika               355                1 2018 232200    Nötigung § 240 StGB                  727          237 Georgien              430                1 2018 232200    Nötigung § 240 StGB                  727          237 Iran, Islamische      439                1 Republik 2018 232200    Nötigung § 240 StGB                  727          237 Japan                 442                1 2018 232200    Nötigung § 240 StGB                  727          237 Kasachstan            444                1 2018 232200    Nötigung § 240 StGB                  727          237 Jordanien             445                1 2018 232200    Nötigung § 240 StGB                  727          237 ungeklärt             998                1 2018 232200    Nötigung § 240 StGB                  727          237 Rumänien              154              17 2018 232200    Nötigung § 240 StGB                  727          237 Kroatien              130              12 2018 232200    Nötigung § 240 StGB                  727          237 Polen                 152              12 2018 232200    Nötigung § 240 StGB                  727          237 Afghanistan           423              12 2018 232200    Nötigung § 240 StGB                  727          237 Griechenland          134                9 2018 232200    Nötigung § 240 StGB                  727          237 Kosovo                150                7 2018 232200    Nötigung § 240 StGB                  727          237 Nigeria               232                7 2018 232200    Nötigung § 240 StGB                  727          237 Deutschland           000             490 2018 232200    Nötigung § 240 StGB                  727          237 Türkei                163              48 2018 232200    Nötigung § 240 StGB                  727          237 Irak                  438              19 2018 232200    Nötigung § 240 StGB                  727          237 Serbien               170                6 2017 232200    Nötigung § 240 StGB                  688          207 Marokko               252                2 2017 232200    Nötigung § 240 StGB                  688          207 Tschechische Republik 164                2 2017 232200    Nötigung § 240 StGB                  688          207 Armenien              422                2
1059

Tatverdächtige nach Nationalitäten 2010 - 2019 Jahr Schlüssel Straftat                     Täter       Nicht-       Staatsangehörigkeit  Schlüssel Täter der Tat insgesamt   deutsche                          des       insgesamt pro         Täter pro                         Staates   pro Staat Delikts- schlüssel   Deliktsschl. 2017 232200    Nötigung § 240 StGB                  688          207 Kasachstan           444                2 2017 232200    Nötigung § 240 StGB                  688          207 China                479                2 2017 232200    Nötigung § 240 StGB                  688          207 Montenegro           140                1 2017 232200    Nötigung § 240 StGB                  688          207 Schweiz              158                1 2017 232200    Nötigung § 240 StGB                  688          207 Spanien              161                1 2017 232200    Nötigung § 240 StGB                  688          207 Verein. Königreich   168                1 Großbrit./Nordirland 2017 232200    Nötigung § 240 StGB                  688          207 Algerien             221                1 2017 232200    Nötigung § 240 StGB                  688          207 Eritrea              224                1 2017 232200    Nötigung § 240 StGB                  688          207 Gambia               237                1 2017 232200    Nötigung § 240 StGB                  688          207 Ghana                238                1 2017 232200    Nötigung § 240 StGB                  688          207 Mosambik             254                1 2017 232200    Nötigung § 240 StGB                  688          207 Kuba                 351                1 2017 232200    Nötigung § 240 StGB                  688          207 Jamaika              355                1 2017 232200    Nötigung § 240 StGB                  688          207 Polen                152                2 2017 232200    Nötigung § 240 StGB                  688          207 Deutschland          000             481 2017 232200    Nötigung § 240 StGB                  688          207 Türkei               163              57 2017 232200    Nötigung § 240 StGB                  688          207 Rumänien             154              13 2017 232200    Nötigung § 240 StGB                  688          207 Griechenland         134              11 2017 232200    Nötigung § 240 StGB                  688          207 Kosovo               150              11 2017 232200    Nötigung § 240 StGB                  688          207 Irak                 438              11 2017 232200    Nötigung § 240 StGB                  688          207 Kroatien             130                8 2017 232200    Nötigung § 240 StGB                  688          207 Italien              137                8 2017 232200    Nötigung § 240 StGB                  688          207 Afghanistan          423                7 2017 232200    Nötigung § 240 StGB                  688          207 Syrien, Arabische    475                7 Republik
1060

Zur nächsten Seite