Freisetzungen transgener Pflanzen

/ 4
PDF herunterladen
SCHLESWIG-HOLSTEINISCHER LANDTAG                                                               Drucksache               14/1179 14. Wahlperiode                                                                                                                  27.12.97 Kleine Anfrage der Abgeordneten Dr. Adelheld Winklng-Nikolay (BÜNDNIS 90/DIE GRÜNEN) und Antwort der Landesregierung - Minister f!lr Umwelt, Natur und Forsten- Freisatzung transgener Pflanzen 1. Welche Projekte in Schleswig-Holstein befassen sich mit der Erzeugung transgener Pflanzen? 2. Wo werden diese Versuche durchgeführt und welche Ziele werden dabei jeweils verfolgt? Der Landesregierung sind die in Tabelle 1 aufgeführten Projekte zur Erzeugung von Iransgenen Pflanzen bekannt. Die Zielsetzungen der Versuche sind dort ebenfalls aufgeführt. Es ist möglich, daß inzwischen weitere Projekte begonnen wurden, da bei Arbeiten in dieser Sicher- heitsstufe (S 1) keine Meldepflicht der Belreiber gegenOber der Über- wachungsbehörde besteht. Die Transformation der Pflanzen findet im Labor statt. We~ere Versuche mit den Pflanzen werden gegebenenfalls in Klimakammern bzw. Gewächshäusern durchgeführt. Die Landtagsdrucksachen sind fortlaufend und einzeln beim Verl~ Schmidt & Klaunig, RingstraBe 19,24114 Kiel, Fernruf 04 31/6 2(] 95, zu beziehen.
1

Drucksache 14/1179             Schleswig-Holsteinischer Landtag -14. Wahlperiode Tabelle 1: Projekte zur Erzeugung transgener Pflanzen ln Schleswlg-Holstein (Stand 11/1997) ~- ~·                     ·• '-•' . Pflanze              Ziele (Empfänger von DNA) ~ .     ~~ Zuckerrübe, Arabidop- Übertragung des Resistenzgens gegen r     ··•w               .. sis thaliana, Kartoffel, Nematoden aus einer Wildrübenart Raps, Tomate und Soja .• , ,   ___ c         ,.,.__,, .. Arabidopsis thaliana        Untersuchung der Genregulation n·ach Infektion mit Nematoden -- ..   ' -      :•-- Tabak und              Identifizierung und Funktionszuordnung Arabidopsis thaliana         von Genen für Chloroplastenproteine ..   ,..".-              ., Arabidopsis thaliana         Übertragung von Genen für Eiweiße, die und Rose              Ribosomen inhibieren -~- ,-..."- - ..   .~- •• - . . _       ••• #.','       .. Rhododendron und           Übertragung von wirtschaftlich wichtigen Alpenveilchen           Markergenen - Aspe               Übertragung eines bakteriellen Gens als Marker zur generellen Untersuchung der Stabilität von Fremdgenen in Bäumen . 3. Welche dieser Arbeiten werden mit öffentlichen Mitteln in welcher Höhe gefördert? Alle in Tabelle 1 zu Frage 2. aufgeführten Arbeiten finden in öffentlichen Forschungseinrichtungen statt. Über die Art und Höhe der Förderung dieser Versuche kann die Landesregierung keine detaillierten Angaben machen. 4. Welche Freisetzungen transgener Pflanzen sind in Schleswig-Hol- stein bisher erfolgt? · a) Wo und wann sind diese Freisetzungen erfolgt? b) Welche Größe hatten die Anbauflächen? c) Welche Vorsichtsmaßnahmen sind jeweils getroffen worden? d) Mit welchen Nachweisverfahren sind eventuelle Ausbreilun- gen von Genkonstrukten kontrolliert worden? Bisher erfolgten in Schleswig-Holstein fünf Freisetzungen an drei Stand- orten, die sich über mehrere Jahre erstrecken. Eine Ubersicht über die 2
2

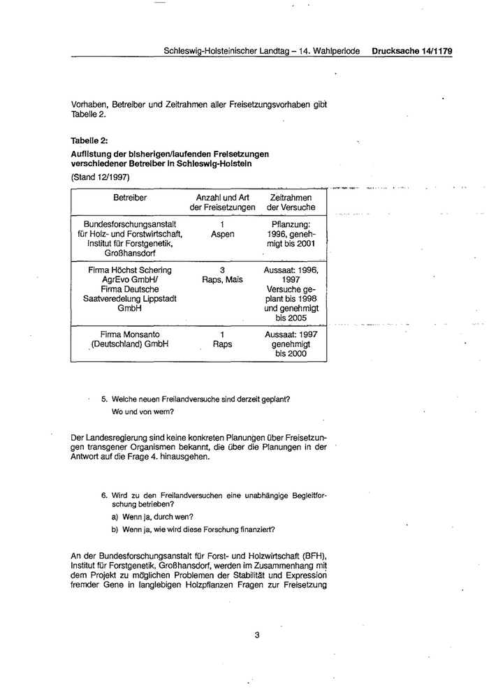
Schleswig-Holsteinischer Landtag - 14. Wahlperiode Drucksache 1411179 Vorhaben, Belreiber und Zeitrahmen aller Freisatzungsvorhaben gibt Tabelle2. Tabelle 2: Aufllstung der bisherigen/laufenden Freisetzungen verschiedener Belreiber in Schleswlg-Holsteln (Stand 12/1997) ..       ... Belreiber               Anzahl und Art        Zeitrahmen der Freisetzungen      der Versuche Bundesforschungsanstalt                   1              Pflanzung: für Holz- und Forstwirtschaft,           Aspen            1996, geneh- Institut fOr Forstgenetik,                            migt bis 2001 Großhansdorf Firma Höchst Sehering                   3            Aussaat: 1996, AgrEvo GmbH!                 Raps, Mais               1997 Firma Deutsche                                    Versuche ge- Saatveredelung Lippstadt                               plant bis 1998 GmbH                                       und genehmigt bis 2005 Firma Monsanto                      1            Aussaat: 1997 (Deutschland) GmbH                  Raps              genehmigt bis 2000 5. Welche neuen Freilandversuche sind derzeit geplant? Wo und von wem? Der Landesregierung sind keine konkreten Planungen über Freisetzun- gen transgener Organismen bekannt, die über die Planungen in der Antwort auf die Frage 4. hinausgehen. 6. Wird zu den Freilandversuchen eine unabhängige Begfeitfor- schung betrieben? a) Wenn ja, durch wen? b) Wenn ja, wie wird diese Forschung finanziert? An der Bundesforschungsanstalt für Forst- und Holzwirtschaft (BFH), Institut fOr Forstgenetik, Großhansdorf, werden im Zusammenhang mit dem Projekt zu mb1Jiichen Problemen der Stabilität und Expression fremder Gene in langlebigen Holzpflanzen Fragen zur Freisatzung 3
3

Drucksache 14/1179        Schleswig-Holsteinischer Landtag- 14. Wahlperiode gentechnisch veränderter Holzpflanzen untersucht. Im Rahmen dieser Untersuchungen wurde in 1995 auch ein Freisatzungsvorhaben mit gentechnisch veränderten Aspen begonnen. Die Versuche sind derzeit noch nicht abgeschlossen. Im Rahmen dieses Projektes wurde vom Bundesministerium für Bildung und Forschung die Finanzierung eines Zusatzprojektes genehmigt, in dem der Mykorrhiza-Status der gentechnisch veränderten Bäume un- tersucht werden soll. Es soll außerdem der Frage nachgegangen wer- den, ob ein Gentransfer zwischen den Pflanzen und den Mykorrhiza- pilzen stattfinden kann. Mit denArbetten soll im Frühjahr 1998 begonnen werden. Der Landesregierung ist weiterhin ein vom BMBF gefördertes Projekt zur Begfeitforschung von Freisetzungen bekannt, das von einem priva- ten Betreiber, der Firma SaKa-Ragis GbR, Windeby, durchgeführt wird. Diese untersucht im Rahmen eines Verbundprojektes die möglichen Einflüsse von Iransgenen Pflanzen auf Pilzpopulationen im Boden, Die Versuche werden im Gewächshaus parallel zuFreisetzungsversuchen in anderen Ländern durchgeführt.                ·· 4
4