Krankenbetten im "Klinikum Nord" für Norderstedt

/ 3
PDF herunterladen
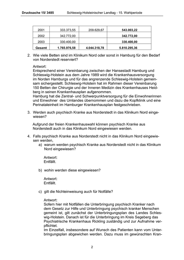
SCHLESWIG-HOLSTEINISCHER LANDTAG                      Drucksache   15/ 3485 15. Wahlperiode                                                      2004-05-04 Kleine Anfrage des Abgeordneten Manfred Ritzek (CDU) und Antwort der Landesregierung - Ministerium für Soziales, Gesundheit und Verbraucherschutz Krankenbetten im „Klinikum Nord“ für Norderstedt Vorbemerkung des Fragestellers: Norderstedt hat kein eigenes Krankenhaus. Um den Bedarf an Krankenhaus-Betten für Norderstedt langfristig zu sichern, ist im Klinikum Nord (auf Hamburger Gebiet) eine bestimmte Anzahl von Krankenbetten reserviert worden. 1. Werden Zuschüsse des Landes Schleswig-Holstein für das Bettenkontingent an die Freie und Hansestadt Hamburg gezahlt? Bitte Angaben für die letzten 5 Jahre. Falls ja, in welcher Höhe pro Jahr? Antwort: Ja, es wurden Fördermittel ausschließlich für Investionen nach dem Kranken- hausfinanzierungsgesetz gezahlt. Die Höhe ergibt sich aus der folgenden Ta- belle: Pauschale För- dermittel §8 Abs II Baumassnahme AG-KHG in €        Heidberg in €     Gesamt pro Jahr in € 1999            383.648,37      3.323.397,23        3.707.045,60 2000            375.782,66        511.291,88          887.074,54
1

Drucksache 15/ 3485           Schleswig-Holsteinischer Landtag - 15. Wahlperiode 2001            333.373,55         209.629,67             543.003,22 2002            342.772,00                                342.772,00 2003            330.400,00                                330.400,00 Gesamt         1.765.976,58       4.044.318,78           5.810.295,36 2. Wie viele Betten sind im Klinikum Nord oder sonst in Hamburg für den Bedarf von Norderstedt reserviert? Antwort: Entsprechend einer Vereinbarung zwischen der Hansestadt Hamburg und Schleswig-Holstein aus dem Jahre 1989 wird die Krankenhausversorgung im Norden Hamburgs und für das angrenzende Schleswig-Holstein gemein- sam sichergestellt. Schleswig-Holstein hat im Rahmen dieser Vereinbarung 150 Betten der Chirurgie und der Inneren Medizin des Krankenhauses Heid- berg in seinen Krankenhausplan aufgenommen. Hamburg hat die Zentral- und Schwerpunktversorgung für die Einwohnerinnen und Einwohner des Umlandes übernommen und dazu die Kopfklinik und eine Perinataleinheit im Hamburger Krankenhausplan festgeschrieben. 3. Werden auch psychisch Kranke aus Norderstedt in das Klinikum Nord einge- wiesen? Aufgrund der freien Krankenhauswahl können psychisch Kranke aus Norderstedt auch in das Klinikum Nord eingewiesen werden. 4. Falls psychisch Kranke aus Norderstedt nicht in das Klinikum Nord eingewie- sen werden, a) warum werden psychisch Kranke aus Norderstedt nicht in das Klinikum Nord eingewiesen? Antwort: Entfällt. b) wohin werden diese eingewiesen? Antwort: Entfällt. c) gilt die Nichteinweisung auch für Notfälle? Antwort: Sofern hier mit Notfällen die Unterbringung psychisch Kranker nach dem Gesetz zur Hilfe und Unterbringung psychisch kranker Menschen gemeint ist, gilt zunächst der Unterbringungsplan des Landes Schles- wig-Holstein. Danach ist für die Unterbringung im Kreis Segeberg das Psychiatrische Krankenhaus Rickling zuständig und zur Aufnahme ver- pflichtet. Im Einzelfall, insbesondere auf Wunsch des Patienten kann vom Unter- bringungsplan abgewichen werden. Dazu muss im gewünschten Kran- 2
2

Schleswig-Holsteinischer Landtag - 15. Wahlperiode    Drucksache 15/ 3485 kenhaus eine Aufnahmemöglichkeit bestehen. Eine Aufnahmeverpflich- tung besteht jedoch nicht. d) gibt es eine gesetzliche Regelung, gemäß der psychisch Kranke nicht in das Klinikum Nord eingewiesen werden? Falls ja, welche? Antwort: Nein! e) falls es keine gesetzliche Grundlage gibt, auf Grund welcher Regelun- gen erfolgt dann keine Einweisung in das Klinikum Nord? Antwort: Es existiert keine Regelung, die die Nichteinweisung in das Klinikum Nord regelt. 5. Gibt es Bundeszuschüsse für das Klinikum Nord mit der daraus folgenden Pflicht zur Betreuung psychisch Kranker? Antwort: Es liegen hierzu keine Erkenntnisse vor. 3
3