Gutachten der Landesregierung zum Betrieb des KK Krümmel

/ 6
PDF herunterladen
SCHLESWIG-HOLSTEINISCHER LANDTAG                                                                Drucksache               14/1487 14. Wahlperiode                                                                                                                    04.06.98 Kleine Anfrage· der Abgeordneten Dr. Christel Happach-Kasan (F.D.P.) und Antwort der Landesregierung - Minister für Finanzen und Energie - Gutachten der. Landesregierung zum Betrieb. des KK Krümmel 1. Welche der 15 Gutachten (Nr. 4--12, Nr. 14-19), die in der Beant· wortung der Kleinen Anfrage von Dr. Klug (Drucksache 14/1221, S. 5-7) aufgelistet sind und die die Landesregierung .,im Rahmen der Vorermittlung des atomrechtlichen Genehmigungs· und Auf· sichtsverfahrens"' auswerten will, sind inzwischen fertiggestellt, in welchem Zeitrahmen sollen die übrigen Gutachten erstellt wer- den? 2. Für welche konkreten atomrechtlichen Genehmigungs- und Auf· siehisverfahren sind die Gutachten in Auftrag gegeben worden und bei welchen Regierungsentscheidungen wurden sie benötigt? Vorbemerkung: Die Fragen beziehen sich auf 15 Sachverständigenaufträge, die in der Antwort auf die Kleine Anfrage 14/1221 erwähnt sind. Die Auftragsge· genstände sind in der nachfolgenden Aufstellung mit dem jeweiligen Bearbeitungsstand aufgeführt. Die Aufträge wurden im Rahmen der bei Die Landtagsdrucksachen sind fortlaufend und einzeln beim Vertag Schmidl & Klaunig, Ringstraße 19, 24114 Kiel, Fernruf 04 31/6 20 95, zu beziehen.
1

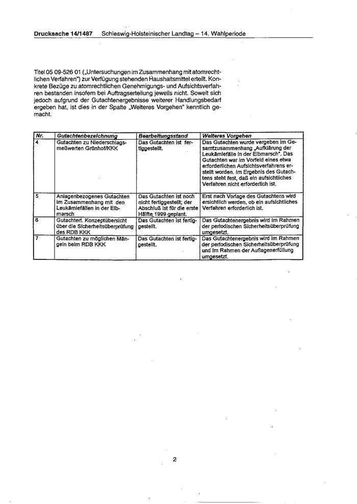
Drucksache 1411487           Schleswig-Holsteinischer Landtag -14. Wahlperiode Titel 05 09-526 01 ("Untersuchungen im Zusammenhang mitatomrecht- lichen Verfahren") zur Verfügung stehenden Haushaltsmittel erteilt. Kon- krete Bezüge zu atomrechtlichen Genehmigungs- und Aufsichtsverfah- ren bestanden insofern bei Auftragserteilung jeweils nicht. Soweit sich jedoch aufgrund der Gutachtenergebnisse weiterer Handlungsbedarf ergeben hat, ist dies in der Spalte "Weiteres Vorgehen" kenntlich ge- macht. Nr.       Gutachtenbezelchnuna           f3earbeitunasstand         Wefteres Voraehen 4        Gutachten zu Niederschlags-     Das Gutachten ist fer-     Das Gutachten wurde vergeben im Ge- meßwerten GrQnhof/KKK           tiggestellt.               samtzusammenhang "Aufklärung der Leukämiefälle in der Elbmarsch". Das Gutachten war im Vorfeld eines etwa erfordertichen Aufsichtsverfahrens er- stellt worden. Im Ergebnis des Gutach- tens steht fest, daß ein aufsichtliches Verfahren nicht erforderlich ist. 5        Anlagenbezogenes Gutachten      Das Gutachten isf noch     Erst nach Vortage des Gutachtens wird im Zusammenhang mit den         nicht fertiggesteltt; der  ersichtHch werden, ob ein aufsichtliches Leukämiefällen in der Elb-      Abschluß ist für die erste Verfahren erfordertich ist. marsch                          Hälfte. 1999 geplant. 6        Gutachten. Konzeptübersicht     Das Gutachten ist fertig;  Das Gutachtenergebnis wird im Rahmen uber die SicherheitsuberprQfung gestellt.                  der periodischen Sicherheitsüberprüfung desROß KKK                                                 umgesetzt. 7        Gutachten zu möglichen Man-     Das Gutachten ist fertig-  Das Gutachtenergebnis wird im Rahmen geln beim RDB KKK               gestellt.                  der periodischen Sicherheitsüberpr!lfung und im Rahmen der Auflagenerfüllung umgesetzt. 2
2

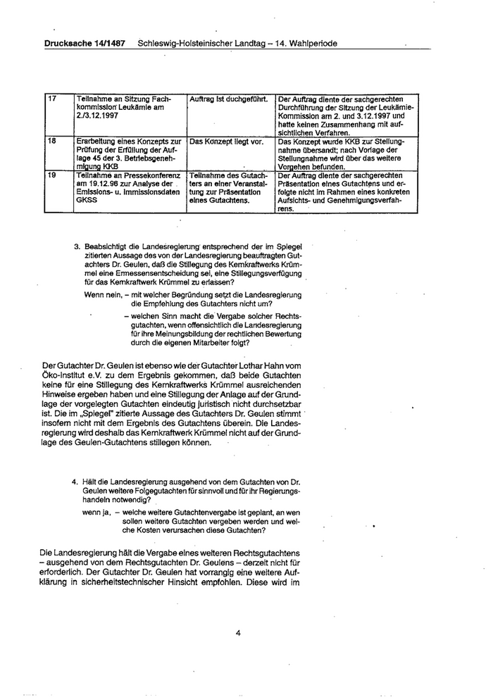
Schleswig-Holsteinischer Landtag- 14. Wahlperiode                 Drucksache 14/1487 8   Rechtsgutachten zum Entwurf     Das Gutachten ist fer-      Das Gutachten wurde im Rahmen eines einer AtG-Novelle               tiggestellt.                von der Bundesregierung eingeleiteten Gesetzgebungsverfahrens zur Änderung des Atomgesetzes in Auftrag gegeben und diente der Landesregierung zur Kill- rung und Meinungsbildung hinsichtlich verfassungsrechtlich problematischer Reaelunaen des Gesetzentwurfs. 9   Gutachtliche Stellungnahme zu   Die gutachtliche Stel-      Die gutachtliche Stellungnahme wurde Fragestellungen des Nachrich-   lungnahme liegt vor.        zur ersten Klärung der Mitte 1996 im tenmagazins ,Monitor"                                       Nachrichtenmagazin ,Monitor" erhebe- nen VorwUrfe benötiat. 10  Gutachten bezügl. numerisch-    Das Gutachten ist fertig- Das Gutachten war Im Rahmen der Ab- analyt. Erfassung von unzuläS.. gestellt.                   arbeitung des meldepflichtigen Vor- sigen Schädigungen an Kam-                                  kommnisses E 1197in Auftrag gegeben ponenten des KKK                                            worden. Es wurde tar die behördliche Entscheidung ,Festlegung geeigneter Abhilfemaßnahmen" benötiat. 11  Teilnahme von Sachverstand!-    Die Sachverständigen         Die Teilnahme der Sachverständigen gen des TÜV an Verhandlung       haben an Verhandlun-       des TÜV Nord erfolgte im Rahmen der vor OVG am 29.1 0.1997          gen vor dem OVG              Klage der Frau Backhaus gegen den Schleswig teilgenom-        Einsatz von sog. GE-11- men.                       Brennelementen. Der technische Sach- verstand sollte während der Verhandlung vor dem OVG zur etwaigen Unterstüt- zung des Beklagten (MFE) vorgehalten werden. 12  Untersuchung von Bodenproben Die Untersuchung ist            Die Untersuchung erfolgte im Zusam- aus der Nahumgebung GKSS        abgeschlossen.              menhang und in Ergänzung des Gutach- tens des Öko-Instituts ,Analyse der Emissions- und Immissionsdaten des GKSS-Forschungszentrums .. ." und gab keinen Anlaß zur Einleitung eigenstilndi- I geraufsichtlicher Verfahren. 14   Gutachten zu Schäden an         Das Gutachten ist fertig- Das Gutachten hat Aspekte zur Uber- Kühlmittelpumpen in kerntech-   gestellt.                   tragbarkeit auf schleswig-holsteinische nischen Anlagen                                             Anlagen ergeben; entsprechend wird das Gutachten in den atomrechtlichen Ver- fahren zu KKB, KBR und KKK aufsieht- lieh weiterverfolgt 15  Gutachtl. Stellungnahme zum     Das Gutachten ist fertig- Die Stellungnahme wurde erstellt im VGB-Bericht                     gestellt.                   Rahmen von bundesweiten Bestrebun- ,AIIersmanagement in deut-                                  gen, auf ein effektives Alterungsmana- sehen Kernkraftwerken"                                      gement in den Kernkraftwerken aus be- hörlilieher Sicht hinzuwirken. Das Gut- achten dient der behördlichen Entschei- dung ,Feststellung der Systematik und Vollständigkeit von Maßnahmen im Rahmen des Alterungsmanagements in den Kernkraftwerken in Schleswig- Holstein'. 16  Rechtsgutachten bezgl. einer    Das Gutachten ist fertig-    Das Gutachten wurde zur Klärung der durchzuführenden rechtlichen    gestellt.                    Mitte 1996 massiv erhobenen Vorwürfe Untersuchung von möglichen                                   über "Pfusch am Bauu beim Kernkraft- Mängeln der Genehmigung des                                  werk Krümme! in Auftrag gegeben l 1nd KKK.                                                         diente der Klärung der Rechtsfrage, ob der Reaktordruckbehälter des Kernkraft- werksKrümmet in Übereinstimmung mit den Anlagenerrichtungsgenehmigungen betrieben wird. 3
3

Drucksache 14/1487             Schleswig-Holsteinischer Landtag- 14. Wahlperiode 17        Teilnahme an Sitzung Fach-         Auftrag Ist duchgetahrt.   Der Auftrag diente der sachgerechten kommlsslon· Leukämie am                                       Durchführung der Sitzung der Leukämie- 2.13.12.1997                                                  Kommission am 2. und 3.12.1997 und hatte keinen Zusammenhang mit auf- .. _sichtllchen_V.erfahren . 18        Erarbettung eines Konzepts zur     Das Konzept liegt vor.     Das Konzept wurde KKB zur Stellung- Prilfung der ErfQI!ung der Auf-                               nahme Obersandt; nach Vortage der Iage 45 der 3. Betrtebsgeneh-                                 Stellungnahme wird über das weitere mlcunaKKB                                                     Vorgehen befunden. 19        Teilnahme an Pressekonferenz       Teilnahme des Gutach-      Der Auftrag diente der sachgerechten am 19.12.96zurAnalyseder.          ters an elner Veranstal-   Präsentation eines Gutacht~ns und er- Emissions- u. Immissionsdaten      tung zur Prl!sentatlon     folgte nicht im Rahmen eines konkreten GKSS                                eines Gutachtens.          Aufsichts- und Genehmigungsverfah- . rens. 3. Beabsichtigt die Landesregierung entsprechend der im Spiegel zitierten Aussage des von der Landesregierung beauftragten Gut- achters Dr. Geulen, daß die Stillegung des Kernkrattwerks Krüm- me! eine Ermessensentscheidung sei, eine Stillegungsverfügung für das Kernkraftwerk Krümmel zu erta5sen? Wenn nein, - mit welcher Begründung set;zt die Landesregierung die Empfehlung des Gutachters nicht um? - welchen Sinn macht die Vergabe solcher Rechts· gutachten, wenn offensichtlich die Landesregierung für ihre Meinungsbildung der rechtlichen Bewertung durch die eigenen Mitarbeiter folgt? Der Gutachter Dr. Geulen ist ebenso wie der Gutachter Lothar Hahn vom Öko-Institut e.V. zu dem Ergebnis gekommen, daß beide Gutachten keine für eine Stillegung des Kernkraftwerks Krümme! ausreichenden Hinweise ergeben haben und eine Stillegung der Anlage auf der Grund- lage der vorgelegten Gutachten eindeutig juristisch nicht durchsetzbar ist. Die im .,Spiegel" zitierte Aussage des Gutachters Dr. Geulen stimmt · insofern nicht mit dem Ergebnis des Gutachtens überein. Die Landes- regierung wird deshalb das Kernkraftwerk Krümme! nicht auf der Grund- lage des Geulen-Gutachtens stillagen können. 4. Hält die Landesregierung ausgehend von dem Gutachten von Dr. Geulen weitere Folgegutachten für sinnvoll und für ihr Regierungs- handeln notwendig? wenn ja, - welche weitere Gutachtenvergabe ist geplant, an wen sollen weitere Gutachten vergeben werden und wel- che Kosten verursachen diese Gutachten? Die Landesregierung hält die Vergabe eines wetteren Rechtsgutachtens -ausgehend von dem Rechtsgutachten Dr. Geulens -derzeit nicht für erfonderlich. Der Gutachter Dr. Geulen hat vorrangig eine weitere Auf- klärung in sicherheitstechnischer Hinsicht empfohlen. Diese wird im 4
4

Schleswig-Holsteinischer Landtag -14. Wahlperiode Drucksache 14/1487 Rahmen der periodischen Sicherheitsüberprüfung und der Auflagener- füllung erfolgen. Welche Sachverständigen hierfür in Frage kommen und welche Kosten entstehen werden, steht gegenwärtig noch nicht fest. 5. Wie ist der Stand der Erstellung des Strahlenbiologischen Gutach- tens, das an Dr. Stevensan vergeben wurde? Welche externen· Sachverständigen sind in Form von Unterbeauttragungen zur Erarbeitung des Gutachtens herangezogen worden, welchen Ein- zelfragen soll das Gutachten nachgehen? Wann erwartet die Landesregierung die Fertigstellung des Gutachtens? Das strahlenbiologische Gutachten ist aus 29 Einzelbeiträgen zusam- mengesetzt, die von 25 Experten bearbeitet werden. Die über Unterbe- auttragungen einbezogenen externen Sachverständi_gen können nicht namentlich erwähnt werden, da ein sog. "Review-Gutachter'' einge- schaltet ist, der zu den einzelnen Beiträgen ohne Kenntnis der jeweiligen Autoren Stellung nehmen soll. Insofern kann die Namensnennung auch nicht im Rahmen dieser Kleinen Anfrage erfolgen, da Landtagsdrucksa- chen öffentlich zugänglich sind. Mit Stand vom 1.6.1998 sind 21 Beiträge eingereicht worden. Die fehlenden 8 Beiträge werden nach Aussage der Autoren bis Ende Juni vorgelegt werden. Auf der Basis der Einzelbeiträge nimmt Dr. Stevensen seine Bewertung im Sinne der Aufgabenstellung vor. Das Gutachten wird somit im ersten Halbjahr 1999 abgeschlossen werden. Die Aufgabenstellung des Gutachtens umfaßt die Beantwortung von drei Hauptfragen: 1. Werden bei dem in der Bundesrepublik und speziell beim Kernkraft- werk Krürnmel (KKK) angewendeten Schutzkonzept (Begrenzung bestimmter Abgaben radioaktiver Stoffe durch verschiedene Grenz- werte - siehe Genehmigung KKK) wissenschaftliche Erkenntnisse über             · 1.1 die Entstehung und Abgabe radioaktiver Stoffe (in KKW) 1.2 die Ausbreitung radioaktiver Stoffe 1.3 die Aufnahme radioaktiver Stoffe in den Körper 1.4 die Wirkung radioaktiver Stoffe im Körper fehlgewichtet oder negiert mit der Folge, daß a) die beobachtete Kinderleukämiehäufung in der Elbmarsch durch die genehmigten bzw. gemessenen Abgaben radioaktiver Stoffe (KKK, GKSS) erklärt werden kann? b) ein zuverlässiger Schutz vor- stochastischen- Strahlenschäden (Leukämie, Krebs) durch den bestimmungsgemäßen Betrieb von KKW nicht gegeben ist? 2. Ist der in der Elbmarsch beobachtete Leukämietyp ALL (akute lym- phatische Leukämie) als Folge von Strahlenexposition festgestellt worden? 5
5

Drucksache 14/1487           Schleswig-Holsteinischer Landtag -14. Wahlperiode 3. Welche Strahlendosis muß vorgelegen haben, um die beobachtete Anzahl der Leukämien zu induzieren? 6. Wie ist der Stand der Erstellung des anlagenbezogenen Gutach- tens, das an das Physik Büro Bremen, das Ökoinstitut und den TÜV-Nord vergeben wurde? Wann erwartet die Landesregierung die Fertigstellung des Gutachtens? Das anlagenbezogene Gutachten enthält zwei Schwerpunkte, nämlich die Erstellung des Bearbeitungskonzeptes (Phase 1: Detailfragen, Ein- grenzung der benötigten Daten menge, Methoden der Bearbeitung) und die Abarbeitung des Bearbeitungskonzeptes (Phase II). Die Phase I ist abgeschlossen; gegenwärtig befindet sich Phase II in Bearbeitung. Der Abschluß des Gutachtens wird in der ersten Hälfte 1999 !)rwarte). 7. Wird die von der Landesregierung erlassene Haushaltssperre Auswirkungen auf die Vergabe weiterer Gutachten zum Betrieb von Krümme! haben? Gutachtenaufträge, die als Teil der atomrechtlichen Genebmigungs- und Aufsichtsverfahren im Zusammenhang mit dem Betrieb des KKW Krüm- me! notwendig sind, werden im Rahmen der Bundesauftragsverwaltung vergeben. Sie werden aus Titel 0509-526 99 finanziert. Die Kosten werden von den Betreibern kerntechnischer Anlagen erstattet. Diese Mittel sind von der Haushaltssperre nicht betroffen. Bei Titel 0509- 526 01 (,.Untersuchungen im Zusammenhang mit atomrechtlichen Ver- fahren") sind die 1998 zur Verfügung stehenden Mittel größtenteils entweder schon verausgabt oder durch laufende Aufträge gebunden. 6
6