Situation an Schulen im Kreis Plön im Schuljahr 1975/76

/ 5
PDF herunterladen
SCHLESWIG-HOLSTEINISCHER LANDTAG                                                                Drucksache                    8/130 8. Wahlperiode                                                                                                                   31. 10. 75 Kleine Anfrage des Abg. Klinke (SPD) und Antwort               (erster Teil) des Kultusministers Situation an Schulen im Kreis Plön im Schuljahr 1975/76 I. -\Velche Veränderungen der Schülerzahlen im Kreis Plön ergeben sich gegenüber dem Schuljahr 1974/75 im Schuljahr 1975}76 an a) Grundsclmlen, b) Hauptschulen, c} Realschulen, d) Gymnasien, c) Sonderschulen? Die Schülerzahlen veränderten sich wie folgt: a) Grundschulen             -   139 b) Hauptschulen             + 273 c) Realschulen             + 169 d) Gymnasien                + 393 e) Sonderschulen                  8 2. Wieviel neue Lehrerplanstelletl sind im Kreis Piön für das Schul- jahr 1975{76 an a) Grundschulen, b) Hauptschulen, c) Realschulen, d) Gymnasien, c) Sonderschulen bereitgestellt worden? Die Landtagsdrucksachen sind fortlaufend und einzeln beim Verlag Schmldt & K!aunlg, 23 Kiel, Ringstraße 19/21, Fernruf 6 20 95/96, zu beziehen.
1

Drucksache 8/130               Sdlleswig-Holsteinischer Landtag- 8. Wahlperiode An neuen Lehrerplanstellen wurden bereitgestellt a) Grundschulen } b) Hauptschulen + 14 c) Realschulen           +2,5 d) Gymnasien             + 16 e) Sonderschulen         +3,5 3. Wieviel dieser neuen Planstollen im Kreis Plön für das Schuljahr 1975/76 an a} Grundschulen, b} Hauptschulen, c) Realschulen, d) Gymnasien, e) Sonderschulen sind nicht besetzt worden? Siehe Antwort zu Frage 4. 4. 'Vieviel Lehrerplanstellen im Kreis PIOn sind an a) Grundschulen, b) Hauptschulen, c) Realschulen, d) Gymnasi(;m, e) Sonderschulen insgesamt im Schuljahr.l975f76 unbesetzt? Nicht besetzt ist folgende Anzahl von Planstellen: a) Grundschulen b) Hauptschulen c) Realschulen           0,5 d) Gymnasien e) Sonderschulen         0,5 5. In ·welchem zahlenmäßigen Umfang und ·wo wurden zu Beginn des Schuljahres 1975/76 im Kreis Plön Klassenzusammenlegungen an a) Grundschulen, b) Hauptschulen, c) Realschulen, d) Gymnasien, e) Sonderschulen vorgenommen ? Die Zahl der Klassenzusammenlegungen und die entsprechenden Schulen sind der nachstehendenrTabelle zu entnehmen. 2 I
2

Schleswig-Holsteinischer Landtag- 8, Wahlperiode Drucksache 8/130 Name der Schule                                             Zahl der Klassen- zusammenlegungen Grundschulen . Hennann-Ehlers-Schule, Preetz                                       I Grundschule Schönkirchen                                            2 Grundschule Laboe                                                   I Grundschule Probsteierhagen                                         I Grundschule Wankendorf                                              I Hauptschulen Realschulen Gymnasien Kreisgymnasium i. E. Hcikendorf Sonderschulen Sonderschule Lütjenburg Sonderschule Schönberg Heimsonderschule für Verhaltensgestörte, Selent 6. \Vie ist die durchschnittliche Klassenfrequenz im Kreis Plön an a) Grundschulen, b) Hauptschulen, c) Realschulen, d) Gymnasien, c) Sonderschulen? Die durchschnittliche Klassenfrequenz beträgt: a) Grundschulen           28,7 b) Hauptschulen           27,8 c) Realschulen           30,4 d) Gymnasien              23,0 ·e) Sonderschulen         13,1 7. In wieviel Klassen und an welchen Schulen im Kreis Plön übersteigt die Klassenfrequenz a) an Grundschulen aa) eHe Zahl 30, ab) die Zahl 35, b} an HauptschtJlen ba) die Zahl 30, bb) die Zahl 35, c) an Realschulen ca) die Zahl 28, cb) die Zahl 33, d) an GYmnasien da) die Zahl 25, db) die Zahl 30, e) an Sonderschulen ea) die Zahl 18, cb) die Zahl 23 ? 3
3

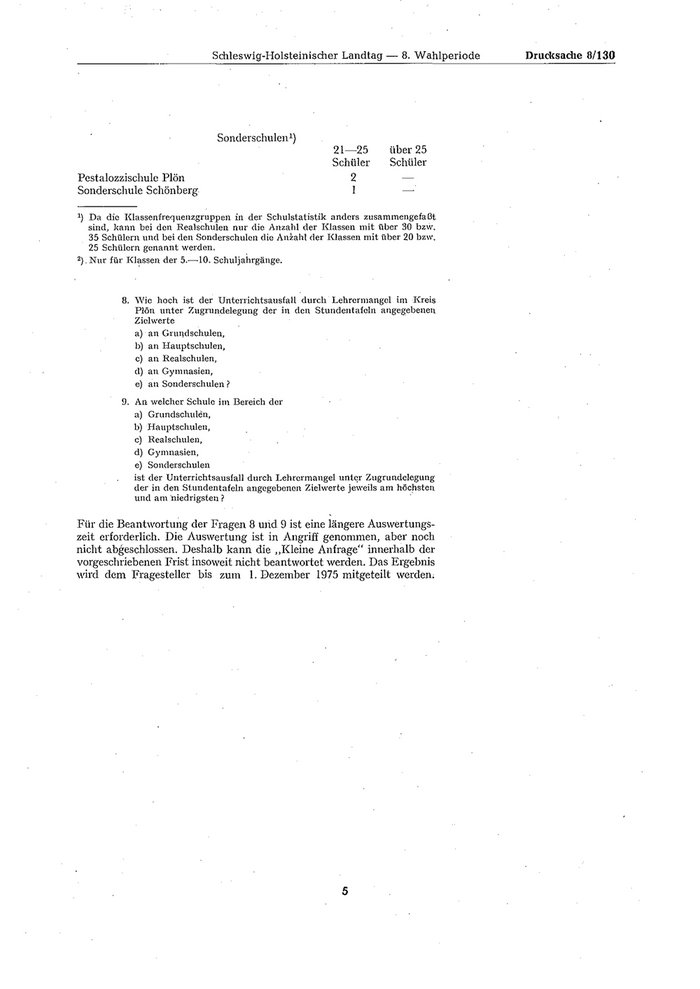
Drucksache 8/130          Schleswig-Holsteinischer Landtag- 8. Wahlperiode Die Anzahl der Klassen, bei denen die Klassenfrequenz die o.g. Grenzen übersteigt, und die entsprechenden Schulen sind der nachfolgenden Tabelle_ zu entnehmen. Bei den Grund- und Hauptschulen ist nicht zwischen Grundschul- und Hauptschulklassen unterschieden worden. Zahl der Klassen Name der Schule                                    31-35      über 35 Schüler     Schüler Grundschulen Grundschule   Ascheberg                                 3 Grundschule   Hohenfelde Grundschule   Bönebüttel                                I Grundschule   Plön II                                   3 Grundschule Plön, Roclomstorstr.                        4 Hermann-Ehlers-Schule Preetz                          15 Grundscliule Trent                                      I Hauptschulen Hauptschule Plön                                       2         4 Grund- und Hauptschulen Grund- und Hauptschule Blekendorf                       I Grund- und Hauptschule Heikendorf                     12 Grund- und Hauptschule Hüttenwohld                      I Grund, und Hauptschule Kirchbarkau                     4 Grund- und Hauptschule KlausdorfJSchw.                  I Gtund- und Hauptschule Laboe                           4          2 Grund- und Hauptschule Lütjenburg                     13 Friedrich-Ebert-Schulc Preetz                          2 Wilhelminenschule Preetz                              12         3 Grund- und Hauptschule Probsteierhagen                 4         3 Grund- und Hauptschule Schönberg                       9          I Grund- und Hauptschule Raisdorf                        8         4 Grund- und Hauptschule Schönkirchen                    6         4 Grund- und Hauptschule Wankendorf                      5         4 Realschulzüge 1 ) Realschulzug an der Grund- und Hauptsclmle Schönkirchen                                        5 Realschulen 1 ) Realschule Heikendorf                                  4         2 Realschule Lütjenburg                                  3 Städt. Realschule Plön                                 7         5 Theodor-Heuß-Sclmle Preetz                             6         9 Schulverband Probstci/Realschule                       4         3 Gymnasien2) 26-30       über 30 Schüler     Schüler Gymnasium. Hcikcndorf                                  5        16 Gymnasium Lütjenburg                                   6         5 Internatsgymnasium Schloß Plön                       10         12 Friedrich-Schiller-Gymnasium Preetz                    8        23 4
4

Schleswig-Holsteinischer Landtag- 8. Wahlperiode  Drucksadte 8/130 Sonderschulen') 21-25        über 25 Schüler      Schüler Pcstalozzischulc Plön                                          2 Sonderschule Schönberg                                         1 1)  Da die IGassenfrequenzgruppen in der Schulstatistik anders zusammengeiaßt sind, kann bei den Realschulen nur die Anzahl der Klassen mit über 30 bzw. 35 Schülern und bei den Sonderschulen die AnZahl der Klassen mit über 20 bzw. 25 Schülern genannt werden, 2). Nur für I<l~ssen der 5.-10. Schuljai1rgänge. 8. \Vie hoch ist der Unterrichtsausfall durch Lehrermangel im Kreis Plön unter Zugrundelegung der in den Stundentafeln angegebenen Zielwerte a) an Gruqdschulen, b) an Hauptschulen, c) an Realschulen, d) an Gymnasien, e} an Sonderschulen? 9. An welcher Schule im Bereich der a) Grundschulen, b) Hauptschulen, c) Realschulen, d) Gymnasien, e) Sonderschulen ist der Unterrichtsausfall durch Lehrermangel untqr Zugrundelegung der in den Stundentafeln angegebenen Zielwerte jeweils am höcrsten und am "niedrigsten?                                         · Für die Beantwortung der Fragen 8 urid 9 ist eine längere Auswertungs- zeit erforderlich. Die Auswertung ist in Angriff genommen, aber noch nicht abgeschlossen. Deshalb kann die "Kleine Anfrage" innerhalb der vorgeschriebenen Frist insoweit nicht beantwortet werden. Das Ergebnis wird dem Fragesteller bis zum 1. Dezember 1975 mitgeteilt werden; 5
5