Umsetzung des Förderprogramms "Regionales Wachstum"

/ 22
PDF herunterladen
STAATSMINISTERIUM                  Freistaat FÜR WIRTSCHAFT                  SACHSEN ARBEIT UND VERKEHR Der Staatsminister Sächsisches Staatsministerium für Wirtschaft, Arbeit und Verkehr                     Durchw ahl Postfach 10 03 29 I 01073 Dresden                                                    Telefon: 0351 564-80001 Telefax: 0351 564-80080 Präsidenten des Sächsischen Landtages                                                A ktenzeichen (bitte bei Antwort angeben) Herrn Dr. Matthias Rößler                                                           PKL-1053/86/6-2020/244 Bernhard-von-Lindenau-Platz 1                                                       Dresden, 21. Januar 2020 01067 Dresden Kleine Anfrage des Abgeordneten Thomas Thumm (AfD) Drs.-Nr.: 7/765 Thema: Umsetzung des Förderprogramms „Regionales Wachstum" Sehr geehrter Herr Präsident, den Fragen sind folgende Ausführungen vorangestellt: „Die Sächsische Aufbaubank informiert auf ihrer Internetseite, dass das im sächsischen Doppelhaushalt 2019/2020 für das Förderpro- gramm " Regionales Wachstum" zur Verfügung stehende Budget vollständig belegt ist und sie daher keine w eiteren Anträge mehr entgegennim m t." Namens und im Auftrag der Sächsischen Staatsregierung beantworte ich die Kleine Anfrage wie folgt: ir Zertifikat seit va06 audit betufundfamilie : Frage 1:          Welche Unternehmen haben bisher in w elcher Höhe För- dermittel nach der Richtlinie " Regionales Wachstum" bean- tragt? (Bitte nach Antragsteller aufschlüsseln.)                   Hausanschrift Sächsisches Staatsministerium für W irtschaft, Arbeit und Frage 2:          Welche der gestellten Anträge wurden abgelehnt?                    Verkehr Wilhelm-Buck-Straße 2 Frage 3:          Welche der gestellten Anträge wurden in welcher Höhe und           01097 Dresden mit welchem Bewilligungszeitraum bewilligt? A ußenstelle Ammonstraße 10 Zusammenfassende Antwort auf die Fragen 1 bis 3:                                     01069 Dresden Zur Beantwortung wird auf die Anlage verwiesen. Aus der Anlage sind die beantragten Fördersummen, der Bewilligungszeitraum und die Information zu entnehmen, ob der Antrag bewilligt oder abgelehnt wurde. Auf die na-              www.smwa.sachsen.de mentliche Nennung der Antragsteller wird verzichtet.                                 Verkehrsanbindung: Zu erreichen mit den Straßenbahnlinien Mit der vollständigen Beantwortung der Frage würden in unzulässiger                  3, 7, 8, 9 - Haltestelle Carolaplatz Weise Betriebs- und Geschäftsgeheimnisse offenbart. Bei den ge-                        Information zum Zugang für ver- wünschten Angaben handelt es sich um Betriebs- und Geschäftsgeheim-                  schlüsselte elektronische Dokumente unter nisse, da Kenntnisse über den direkten Zusammenhang zwischen An-                     WWW.smwa.sachsen.de/kontakt htm g poststelle@smwa-sachsen. Seite 1 vo n 2                                                                       de-mail.de
1

STAATSMINISTERIUM           Freistaat FÜR WIRTSCHAFT           SACH SEN ARBEIT UND VERKEHR tragssteller, Bewilligung, Ablehnung und Förderung Auswirkungen auf die Wettbe- werbsfähigkeit der Unternehmen hat und daher an deren Geheimhaltung ein schutzwürdiges Interesse besteht. Die gewünschte Informationsübermittlung kann aber in vollständiger Form in einer nichtöffentlichen Sitzung eines Landtagsausschusses erfolgen. Frage 4:     ist eine Erhöhung der für das Förderprogramm " R egionales W achs- tum" zur Verfügung stehenden Haushaltsmittel beabsichtigt und w enn ja, in w elcher Höhe und für w elchen Zeitraum? Der am 20. Dezember 2019 geschlossene Koalitionsvertrag stellt fest, dass sich das Programm „Regionales Wachstum" bewährt hat. Gleichzeitig wird darin vereinbart, das Programm fortzuführen und zielgerichtet aufzustocken. Wann und in welchem Umfang eine Aufstockung der Mittel erfolgen kann, werden weitere Verhandlungen ergeben. Letztendlich obliegt die Budgethoheit dem Sächsischen Landtag. Frage 5:      Bestehen Kumulierungsmöglichkeiten mit anderen Förderprogram- men und w enn ja, w elche? Die im Programm „Regionales Wachstum" gewährten Förderungen können mit anderen Beihilfen kumuliert werden, sofern diese Maßnahmen unterschiedliche bestimmbare beihilfefähige Kosten betreffen. Darüber hinaus kann die Förderung auch mit Beihilfen für dieselben, sich teilweise oder vollständig überschneidenden Kosten kumuliert werden, jedoch nur insoweit wie die beihilferechtlichen Reglungen eingehalten werden und durch die Kumulierung der höchste geltende Fördersatz nicht überschritten wird. Für diese Variante kommen insbesondere Programme in Frage, die zinsgünstige Investitionskredite, z. B. der Kreditanstalt für Wiederaufbau, zur Verfügung stellen. Mit freundlichen Grüßen Martin Dulig Anlage Seite 2 von 2
2

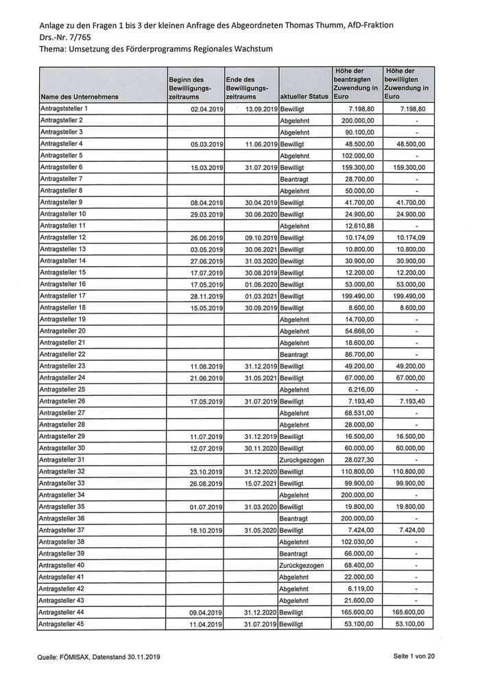
Anlage zu den Fragen 1 bis 3 der kleinen Anfrage des Abgeordneten Thomas Thumm, AfD-Fraktion Drs.-Nr. 7/765 Thema: Umsetzung des Förderprogramms Regionales Wachstum Höhe der      Höhe der Beginn des        Ende des                           beantragten   bewilligten Bewilligungs-     Bewilligungs-                      Zuwendung in Zuwendung in Name des Unternehmens                 zeitraums         zeitraums         aktueller Status Euro          Euro Antragststeller 1                            02.04.2019        13.09.2019 Bewilligt             7.198,80      7.198,80 Antragsteller 2                                                           Abgelehnt          200.000,00             - Antragsteller 3                                                           Abgelehnt           90.100,00            - Antragsteller 4                              05.03.2019        11.06.2019 Bewilligt           48.500,00     48.500,00 Antragsteller 5                                                           Abgelehnt          102.000,00            - Antragsteller 6                              15.03.2019        31.07.2019 Bewilligt          159.300,00    159.300,00 Antragsteller 7                                                           Beantragt           28.700,00            - Antragsteller 8                                                           Abgelehnt           50.000,00            - Antragsteller 9                              08.04.2019        30.04.2019 Bewilligt           41.700,00     41.700,00 Antragsteller 10                             29.03.2019        30.06.2020 Bewilligt           24.900,00     24.900,00 Antragsteller 11                                                          Abgelehnt           12.610,88            - Antragsteller 12                             26.06.2019        09.10.2019 Bewilligt           10.174,09     10.174,09 Antragsteller 13                             03.05.2019        30.06.2021 Bewilligt           10.800,00     10.800,00 Antragsteller 14                             27.06.2019        31.03.2020 Bewilligt           30.900,00     30.900,00 Antragsteller 15                             17.07.2019        30.08.2019 Bewilligt           12.200,00     12.200,00 Antragsteller 16                             17.05.2019        01.06.2020 Bewilligt           53.000,00     53.000,00 Antragsteller 17                             28.11.2019        01.03.2021 Bewilligt          199.490,00    199.490,00 Antragsteller 18                             15.05.2019        30.09.2019 Bewilligt             8.600,00      8.600,00 Antragsteller 19                                                          Abgelehnt           14.700,00            - Antragsteller 20                                                          Abgelehnt           54.666,00            - Antragsteller 21                                                           Abgelehnt           18.600,00            - Antragsteller 22                                                           Beantragt           86.700,00            - Antragsteller 23                              11.06.2019        31.12.2019 Bewilligt           49.200,00     49.200,00 Antragsteller 24                              21.06.2019        31.05.2021 Bewilligt           67.000,00     67.000,00 Antragsteller 25                                                           Abgelehnt             6.216,00           - Antragsteller 26                              17.05.2019        31.07.2019 Bewilligt             7.193,40      7.193,40 Antragsteller 27                                                           Abgelehnt           68.531,00            - Antragsteller 28                                                           Abgelehnt           28.000,00            - Antragsteller 29                              11.07.2019        31.12.2019 Bewilligt           16.500,00     16.500,00 Antragsteller 30                              12.07.2019        30.11.2020 Bewilligt           60.000,00     60.000,00 Antragsteller 31                                                           Zurückgezogen       28.027,30            - Antragsteller 32                              23.10.2019        31.12.2020 Bewilligt          110.800,00    110.800,00 Antragsteller 33                              26.08.2019        15.07.2021 Bewilligt           99.900,00     99.900,00 Antragsteller 34                                                           Abgelehnt          200.000,00            - Antragsteller 35                              01.07.2019        31.03.2020 Bewilligt           19.800,00     19.800,00 Antragsteller 36                                                           Beantragt          200.000,00            - Antragsteller 37                              18.10.2019       31.05.2020 Bewilligt              7.424,00      7.424,00 Antragsteller 38                                                           Abgelehnt          102.030,00            - Antragsteller 39                                                           Beantragt           66.000,00            - Antragsteller 40                                                           Zurückgezogen       68.400,00            - Antragsteller 41                                                           Abgelehnt           22.000,00            - Antragsteller 42                                                           Abgelehnt            6.119,00            - Antragsteller 43                                                           Abgelehnt           21.600,00            - Antragsteller 44                              09.04.2019       31.12.2020 Bewilligt           165.600,00    165.600,00 Antragsteller 45                              11.04.2019       31.07.2019 Bewilligt            53.100,00     53.100,00 Quelle: FÖMISAX, Datenstand 30.11.2019                                                                      Seite 1 von 20
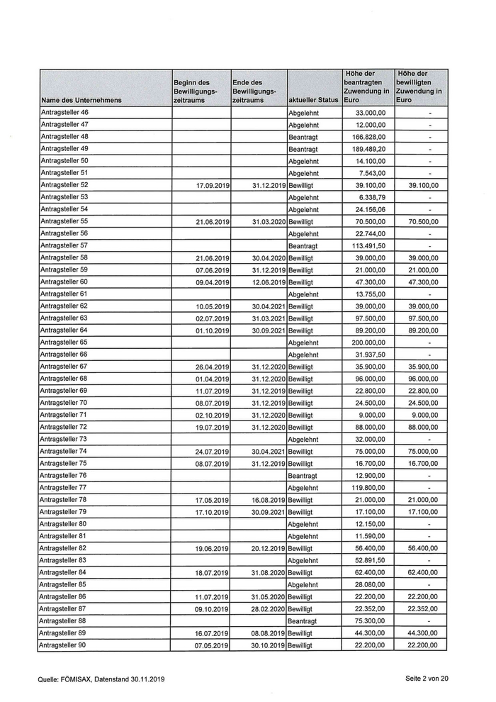
3

Höhe der      Höhe der Beginn des        Ende des                           beantragten   bewilligten Bewilligungs-     Bewilligungs-                      Zuwendung in  Zuwendung in Name des Unternehmens                 zeitraums         zeitraums         aktueller Status Euro          Euro Antragsteller 46                                                          Abgelehnt           33.000,00             - Antragsteller 47                                                          Abgelehnt           12.000,00             - Antragsteller 48                                                          Beantragt          166.828,00             - Antragsteller 49                                                          Beantragt          189.489,20             - Antragsteller 50                                                          Abgelehnt           14.100,00             - Antragsteller 51                                                          Abgelehnt             7.543,00            - Antragsteller 52                             17.09.2019        31.12.2019 Bewilligt           39.100,00     39.100,00 Antragsteller 53                                                          Abgelehnt             6.338,79           - Antragsteller 54                                                          Abgelehnt           24.156,06            - Antragsteller 55                             21.06.2019        31.03.2020 Bewilligt           70.500,00     70.500,00 Antragsteller 56                                                          Abgelehnt           22.744,00            - Antragsteller 57                                                          Beantragt          113.491,50            - Antragsteller 58                             21.06.2019        30.04.2020 Bewilligt           39.000,00     39.000,00 Antragsteller 59                              07.06.2019        31.12.2019 Bewilligt           21.000,00     21.000,00 Antragsteller 60                              09.04.2019        12.06.2019 Bewilligt           47.300,00     47.300,00 Antragsteller 61                                                           Abgelehnt           13.755,00            - Antragsteller 62                              10.05.2019        30.04.2021 Bewilligt           39.000,00     39.000,00 Antragsteller 63                              02.07.2019        31.03.2021 Bewilligt           97.500,00     97.500,00 Antragsteller 64                              01.10.2019        30.09.2021 Bewilligt           89.200,00     89.200,00 Antragsteller 65                                                           Abgelehnt          200.000,00            - Antragsteller 66                                                           Abgelehnt           31.937,50            - Antragsteller 67                              26.04.2019        31.12.2020 Bewilligt           35.900,00     35.900,00 Antragsteller 68                              01.04.2019        31.12.2020 Bewilligt           96.000,00     96.000,00 Antragsteller 69                              11.07.2019        31.12.2019 Bewilligt           22.800,00     22.800,00 Antragsteller 70                              08.07.2019        31.12.2019 Bewilligt           24.500,00     24.500,00 Antragsteller 71                              02.10.2019        31.12.2020 Bewilligt             9.000,00      9.000,00 Antragsteller 72                              19.07.2019        31.12.2020 Bewilligt           88.000,00     88.000,00 Antragsteller 73                                                           Abgelehnt           32.000,00            - Antragsteller 74                              24.07.2019       30.04.2021 Bewilligt            75.000,00     75.000,00 Antragsteller 75                              08.07.2019       31.12.2019 Bewilligt            16.700,00     16.700,00 Antragsteller 76                                                           Beantragt           12.900,00            - Antragsteller 77                                                           Abgelehnt          119.800,00            - Antragsteller 78                              17.05.2019       16.08.2019 Bewilligt            21.000,00     21.000,00 Antragsteller 79                              17.10.2019       30.09.2021 Bewilligt            17.100,00     17.100,00 Antragsteller 80                                                           Abgelehnt           12.150,00            - Antragsteller 81                                                           Abgelehnt           11.590,00            - Antragsteller 82                              19.06.2019       20.12.2019 Bewilligt            56.400,00     56.400,00 Antragsteller 83                                                           Abgelehnt           52.891,50            - Antragsteller 84                              18.07.2019       31.08.2020 Bewilligt            62.400,00     62.400,00 Antragsteller 85                                                           Abgelehnt           28.080,00            - Antragsteller 86                              11.07.2019       31.05.2020 Bewilligt            22.200,00     22.200,00 Antragsteller 87                              09.10.2019       28.02.2020 Bewilligt            22.352,00     22.352,00 Antragsteller 88                                                           Beantragt           75.300,00            - Antragsteller 89                              16.07.2019       08.08.2019 Bewilligt            44.300,00     44.300,00 Antragsteller 90                              07.05.2019       30.10.2019 Bewilligt            22.200,00     22.200,00 Quelle: FÖMISAX, Datenstand 30.11.2019                                                                      Seite 2 von 20
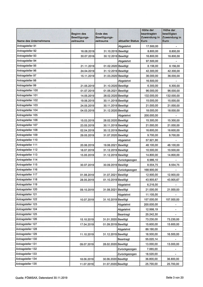
4

Höhe der      Höhe der Beginn des         Ende des                           beantragten   bewilligten Bewilligungs-      Bewilligungs-                      Zuwendung in Zuwendung in Name des Unternehmens                 zeitraums          zeitraums         aktueller Status Euro          Euro Antragsteller 91                                                           Abgelehnt           17.500,00             - Antragsteller 92                              16.08.2019        31.10.2019 Bewilligt             8.800,00      8.800,00 Antragsteller 93                              30.07.2019        30.12.2019 Bewilligt           16.800,00     16.800,00 Antragsteller 94                                                           Abgelehnt           97.500,00             - Antragsteller 95                              21.11.2019        01.02.2020 Bewilligt             8.156,00      8.156,00 Antragsteller 96                              24.04.2019        31.12.2019 Bewilligt           42.300,00     42.300,00 Antragsteller 97                              15.11.2019        31.03.2020 Bewilligt           36.000,00     36.000,00 Antragsteller 98                                                           Abgelehnt           16.500,00             - Antragsteller 99                             21.05.2019         31.10.2020 Bewilligt             6.300,00      6.300,00 Antragsteller 100                             01.07.2019        01.06.2021 Bewilligt           96.000,00     96.000,00 Antragsteller 101                            14.05.2019         28.02.2020 Bewilligt          132.000,00    132.000,00 Antragsteller 102                            19.06.2019         30.11.2019 Bewilligt           15.000,00     15.000,00 Antragsteller 103                            24.05.2019         30.11.2019 Bewilligt           21.000,00     21.000,00 Antragsteller 104                            04.03.2019         31.12.2020 Bewilligt           18.000,00     18.000,00 Antragsteller 105                                                          Abgelehnt          200.000,00             - Antragsteller 106                            15.03.2019         28.02.2020 Bewilligt           15.300,00     15.300,00 Antragsteller 107                            23.05.2019         30.11.2019 Bewilligt           21.000,00     21.000,00 Antragsteller 108                            02.04.2019         30.12.2019 Bewilligt           16.600,00     16.600,00 Antragsteller 109                            29.05.2019        31.07.2020 Bewilligt              9.700,00      9.700,00 Antragsteller 110                                                          Abgelehnt           57.921,90            - Antragsteller 111                            20.06.2019        19.06.2021 Bewilligt            48.100,00     48.100,00 Antragsteller 112                            18.07.2019        31.12.2019 Bewilligt            10.500,00     10.500,00 Antragsteller 113                             15.05.2019        31.12.2019 Bewilligt            14.800,00     14.800,00 Antragsteller 114                                                           Zurückgezogen         6.986,10           - Antragsteller 115                             30.07.2019        30.09.2019 Bewilligt              8.554,75      8.554,75 Antragsteller 116                                                           Zurückgezogen      168.900,00            - Antragsteller 117                             01.08.2019        31.07.2021 Bewilligt            12.900,00     12.900,00 Antragsteller 118                             28.05.2019        01.10.2019 Bewilligt            43.905,67     43.905,67 Antragsteller 119                                                           Abgelehnt            6.216,00            - Antragsteller 120                             09.10.2019        31.08.2021 Bewilligt            21.000,00     21.000,00 Antragsteller 121                                                           Abgelehnt           11.105,00            - Antragsteller 122                             10.07.2019        31.10.2019 Bewilligt           157.000,00    157.000,00 Antragsteller 123                                                           Abgelehnt          200.000,00            - Antragsteller 124                                                           Abgelehnt           12.998,19            - Antragsteller 125                                                           Beantragt           25.242,30            - Antragsteller 126                             15.10.2019        31.01.2020 Bewilligt            73.230,00     73.230,00 Antragsteller 127                             17.04.2019        01.09.2019 Bewilligt            15.600,00     15.600,00 Antragsteller 128                                                           Abgelehnt           89.190,00            - Antragsteller 129                             11.10.2019        31.12.2019 Bewilligt            16.500,00     16.500,00 Antragsteller 130                                                           Beantragt           55.020,14            - Antragsteller 131                             09.07.2019        28.02.2020 Bewilligt            13.000,00     13.000,00 Antragsteller 132                                                           Zurückgezogen        7.065,00            - Antragsteller 133                                                           Zurückgezogen       18.520,00            - Antragsteller 134                             18.06.2019        30.06.2020 Bewilligt            36.800,00     36.800,00 Antragsteller 135                             11.07.2019        31.07.2020 Bewilligt            25.700,00     25.700,00 Quelle: FÖMISAX, Datenstand 30.11.2019                                                                       Seite 3 von 20
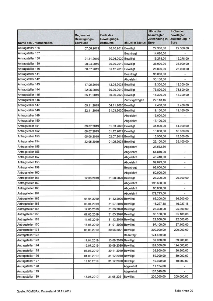
5

Höhe der      Höhe der Beginn des        Ende des                           beantragten   bewilligten Bewilligungs-     Bewilligungs-                      Zuwendung in Zuwendung in Name des Unternehmens                 zeitraums         zeitraums         aktueller Status Euro          Euro Antragsteller 136                            07.06.2019        16.10.2019 Bewilligt           27.300,00     27.300,00 Antragsteller 137                                                         Beantragt           14.080,00            - Antragsteller 138                            21.11.2019        30.06.2020 Bewilligt           19.278,00     19.278,00 Antragsteller 139                            20.04.2019        30.09.2019 Bewilligt           36.900,00     36.900,00 Antragsteller 140                            30.07.2019        31.12.2019 Bewilligt           26.000,00     26.000,00 Antragsteller 141                                                         Beantragt           96.000,00            - Antragsteller 142                                                         Abgelehnt           53.160,00            - Antragsteller 143                            17.05.2019        12.05.2021 Bewilligt           18.300,00     18.300,00 Antragsteller 144                            22.05.2019        30.09.2019 Bewilligt           73.800,00     73.800,00 Antragsteller 145                            05.11.2019        30.06.2020 Bewilligt           15.300,00     15.300,00 Antragsteller 146                                                         Zurückgezogen       22.113,46            - Antragsteller 147                             05.11.2019        04.11.2020 Bewilligt             7.400,00      7.400,00 Antragsteller 148                             22.11.2019        31.03.2020 Bewilligt           19.160,00     19.160,00 Antragsteller 149                                                          Abgelehnt           15.000,00            - Antragsteller 150                                                          Abgelehnt           17.100,00            - Antragsteller 151                             09.07.2019        31.03.2020 Bewilligt           41.900,00     41.900,00 Antragsteller 152                             08.07.2019        31.12.2019 Bewilligt           16.000,00     16.000,00 Antragsteller 153                             05.06.2019        02.07.2019 Bewilligt           13.500,00     13.500,00 Antragsteller 154                             22.05.2019        01.05.2021 Bewilligt           25.100,00     25.100,00 Antragsteller 155                                                          Abgelehnt           27.552,30            - Antragsteller 156                                                          Abgelehnt           51.810,00            - Antragsteller 157                                                          Abgelehnt           46.410,00            - Antragsteller 158                                                          Abgelehnt           99.823,00            - Antragsteller 159                                                          Beantragt           93.000,00            - Antragsteller 160                                                          Abgelehnt           60.000,00            - Antragsteller 161                             12.06.2019        31.08.2020 Bewilligt           26.300,00     26.300,00 Antragsteller 162                                                          Abgelehnt          198.600,00            - Antragsteller 163                                                          Abgelehnt           90.000,00            - Antragsteller 164                                                          Abgelehnt          172.713,00            - Antragsteller 165                             01.04.2019        31.12.2020 Bewilligt           66.200,00     66.200,00 Antragsteller 166                             08.04.2019        31.07.2019 Bewilligt           16.227,18     16.227,18 Antragsteller 167                             17.05.2019       31.03.2020 Bewilligt            25.300,00     25.300,00 Antragsteller 168                             07.05.2019       31.03.2020 Bewilligt            95.100,00     95.100,00 Antragsteller 169                             11.07.2019       31.12.2019 Bewilligt            22.000,00     22.000,00 Antragsteller 170                             18.06.2019       31.01.2020 Bewilligt            97.100,00     97.100,00 Antragsteller 171                             06.08.2019       30.06.2021 Bewilligt           200.000,00    200.000,00 Antragsteller 172                                                          Beantragt          174.429,00            - Antragsteller 173                             17.04.2019       13.09.2019 Bewilligt            39.900,00     39.900,00 Antragsteller 174                             19.07.2019       30.09.2020 Bewilligt           124.500,00    124.500,00 Antragsteller 175                             05.06.2019       30.11.2019 Bewilligt            36.900,00     36.900,00 Antragsteller 176                             01.06.2019       31.12.2019 Bewilligt            59.000,00     59.000,00 Antragsteller 177                             19.06.2019       31.12.2020 Bewilligt            10.600,00     10.600,00 Antragsteller 178                                                          Abgelehnt           11.124,00            - Antragsteller 179                                                          Abgelehnt          137.640,00            - Antragsteller 180                             18.06.2019       31.05.2021 Bewilligt           200.000,00    200.000,00 Quelle: FÖMISAX, Datenstand 30.11.2019                                                                      Seite 4 von 20
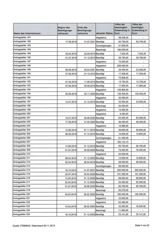
6

Höhe der      Höhe der Beginn des        Ende des                           beantragten   bewilligten Bewilligungs-     Bewilligungs-                      Zuwendung in Zuwendung in Name des Unternehmens                 zeitraums         zeitraums         aktueller Status Euro          Euro Antragsteller 181                                                         Abgelehnt           36.226,50            - Antragsteller 182                            17.09.2019        31.07.2021 Bewilligt           63.700,00     63.700,00 Antragsteller 183                                                         Zurückgezogen       21.600,00            - Antragsteller 184                                                         Beantragt          180.000,00            - Antragsteller 185                            25.04.2019        22.05.2019 Bewilligt             7.522,20      7.522,20 Antragsteller 186                            01.07.2019        31.12.2019 Bewilligt           35.700,00     35.700,00 Antragsteller 187                                                         Abgelehnt           75.000,00            - Antragsteller 188                                                         Abgelehnt          200.000,00            - Antragsteller 189                            06.06.2019        30.04.2021 Bewilligt           23.400,00     23.400,00 Antragsteller 190                            27.05.2019        31.12.2019 Bewilligt           17.200,00     17.200,00 Antragsteller 191                                                         Abgelehnt           72.806,00            - Antragsteller 192                            01.05.2019        11.06.2019 Bewilligt           13.720,20     13.720,20 Antragsteller 193                            07.06.2019        05.09.2019 Bewilligt           17.900,00     17.900,00 Antragsteller 194                                                         Abgelehnt          152.805,00            - Antragsteller 195                            25.09.2019        30.11.2020 Bewilligt          135.400,00    135.400,00 Antragsteller 196                                                          Abgelehnt           30.000,00            - Antragsteller 197                             12.07.2019        31.12.2019 Bewilligt           33.500,00     33.500,00 Antragsteller 198                                                          Beantragt           24.000,00            - Antragsteller 199                                                          Abgelehnt           15.000,00            - Antragsteller 200                                                          Abgelehnt             9.300,00           - Antragsteller 201                             10.07.2019        30.06.2020 Bewilligt           63.000,00     63.000,00 Antragsteller 202                             17.09.2019        31.05.2020 Bewilligt           48.400,00     48.400,00 Antragsteller 203                                                          Abgelehnt           12.999,00            - Antragsteller 204                             12.06.2019        07.11.2019 Bewilligt           59.800,00     59.800,00 Antragsteller 205                             06.08.2019        31.12.2019 Bewilligt           15.600,00     15.600,00 Antragsteller 206                                                          Zurückgezogen       21.450,00            - Antragsteller 207                                                          Abgelehnt          182.143,13            - Antragsteller 208                             13.06.2019        31.12.2019 Bewilligt           20.700,00     20.700,00 Antragsteller 209                             01.07.2019        30.09.2020 Bewilligt           79.400,00     79.400,00 Antragsteller 210                                                          Abgelehnt           24.000,00            - Antragsteller 211                             08.04.2019        31.12.2020 Bewilligt           12.600,00     12.600,00 Antragsteller 212                             02.04.2019        26.04.2019 Bewilligt           28.000,00     28.000,00 Antragsteller 213                                                          Zurückgezogen       59.200,00            - Antragsteller 214                             16.10.2019        31.07.2021 Bewilligt          200.000,00    200.000,00 Antragsteller 215                             25.07.2019        30.04.2020 Bewilligt          101.300,00    101.300,00 Antragsteller 216                             13.05.2019        31.12.2020 Bewilligt           59.800,00     59.800,00 Antragsteller 217                             22.05.2019        31.12.2020 Bewilligt           53.300,00     53.300,00 Antragsteller 218                             01.07.2019        30.06.2020 Bewilligt           26.700,00     26.700,00 Antragsteller 219                                                          Beantragt           35.270,00            - Antragsteller 220                             05.03.2019       28.02.2020 Bewilligt           106.300,00    106.300,00 Antragsteller 221                                                          Abgelehnt           10.000,00            - Antragsteller 222                                                          Abgelehnt           22.480,00            - Antragsteller 223                             12.03.2019       28.02.2020 Bewilligt            16.200,00     16.200,00 Antragsteller 224                                                          Beantragt           11.650,00            - Antragsteller 225                             18.10.2019       31.12.2020 Bewilligt            78.141,00     78.141,00 Quelle: FÖMISAX, Datenstand 30.11.2019                                                                      Seite 5 von 20
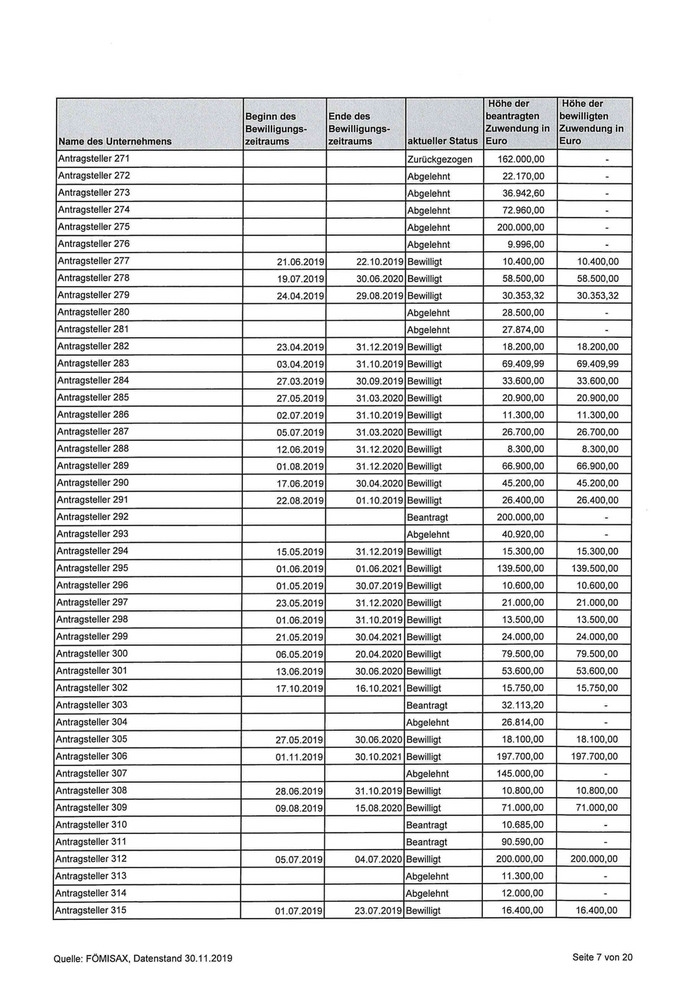
7

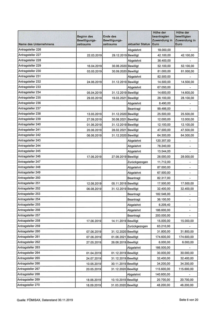
Höhe der      Höhe der Beginn des         Ende des                           beantragten   bewilligten Bewilligungs-      Bewilligungs-                      Zuwendung in Zuwendung in Name des Unternehmens                 zeitraums          zeitraums         aktueller Status Euro          Euro Antragsteller 226                                                          Abgelehnt           18.000,00             - Antragsteller 227                             22.03.2019        29.12.2019 Bewilligt           42.100,00     42.100,00 Antragsteller 228                                                          Abgelehnt           36.400,00             - Antragsteller 229                             16.04.2019        30.06.2020 Bewilligt           52.100,00     52.100,00 Antragsteller 230                             03.05.2019        30.09.2020 Bewilligt           81.000,00     81.000,00 Antragsteller 231                                                          Abgelehnt           82.500,00             - Antragsteller 232                            24.06.2019         31.12.2019 Bewilligt           14.500,00     14.500,00 Antragsteller 233                                                          Abgelehnt           67.050,00             - Antragsteller 234                            05.04.2019         31.12.2019 Bewilligt           14.600,00     14.600,00 Antragsteller 235                            29.05.2019         19.03.2021 Bewilligt           28.100,00     28.100,00 Antragsteller 236                                                          Abgelehnt             8.490,00            - Antragsteller 237                                                          Beantragt           99.486,00             - Antragsteller 238                            13.05.2019         31.12.2020 Bewilligt           25.500,00     25.500,00 Antragsteller 239                            27.09.2019         30.08.2021 Bewilligt           12.000,00     12.000,00 Antragsteller 240                            01.06.2019         31.12.2019 Bewilligt           12.100,00     12.100,00 Antragsteller 241                            20.06.2019         28.02.2021 Bewilligt           47.500,00     47.500,00 Antragsteller 242                            06.06.2019         31.12.2020 Bewilligt           64.300,00     64.300,00 Antragsteller 243                                                          Abgelehnt          120.357,00            - Antragsteller 244                                                          Abgelehnt           78.240,00            - Antragsteller 245                                                           Abgelehnt           13.544,00            - Antragsteller 246                             17.06.2019        27.09.2019 Bewilligt            28.000,00     28.000,00 Antragsteller 247                                                           Zurückgezogen       11.712,00            - Antragsteller 248                                                           Abgelehnt           87.000,00            - Antragsteller 249                                                           Abgelehnt           67.500,00            - Antragsteller 250                                                           Beantragt           82.317,00            - Antragsteller 251                             12.08.2019        05.11.2019 Bewilligt            17.500,00     17.500,00 Antragsteller 252                             06.08.2019        31.12.2019 Bewilligt            32.400,00     32.400,00 Antragsteller 253                                                           Beantragt          182.546,00            - Antragsteller 254                                                           Beantragt           36.100,00            - Antragsteller 255                                                           Abgelehnt            6.209,40            - Antragsteller 256                                                           Abgelehnt          186.600,00            - Antragsteller 257                                                           Beantragt          200.000,00            - Antragsteller 258                             17.06.2019        14.11.2019 Bewilligt            15.000,00     15.000,00 Antragsteller 259                                                           Zurückgezogen       63.210,00            - Antragsteller 260                             07.06.2019        31.12.2020 Bewilligt            31.800,00     31.800,00 Antragsteller 261                             07.06.2019        01.06.2021 Bewilligt           174.600,00    174.600,00 Antragsteller 262                             27.05.2019        26.06.2019 Bewilligt             6.000,00       6.000,00 Antragsteller 263                                                           Abgelehnt          166.500,00            - Antragsteller 264                             01.04.2019        01.12.2019 Bewilligt            30.000,00     30.000,00 Antragsteller 265                             24.07.2019        31.12.2019 Bewilligt            32.400,00     32.400,00 Antragsteller 266                             10.05.2019        30.11.2019 Bewilligt            34.200,00     34.200,00 Antragsteller 267                             20.05.2019        31.12.2020 Bewilligt           115.600,00    115.600,00 Antragsteller 268                                                           Abgelehnt          140.600,00            - Antragsteller 269                             18.06.2019        10.10.2019 Bewilligt            20.700,00     20.700,00 Antragsteller 270                             18.09.2019        31.03.2020 Bewilligt            48.200,00     48.200,00 Quelle: FÖMISAX, Datenstand 30.11.2019                                                                       Seite 6 von 20
8

Höhe der      Höhe der Beginn des        Ende des                           beantragten   bewilligten Bewilligungs-     Bewilligungs-                      Zuwendung in Zuwendung in Name des Unternehmens                 zeitraums         zeitraums         aktueller Status Euro          Euro Antragsteller 271                                                         Zurückgezogen      162.000,00             - Antragsteller 272                                                         Abgelehnt           22.170,00             - Antragsteller 273                                                         Abgelehnt           36.942,60             - Antragsteller 274                                                         Abgelehnt           72.960,00             - Antragsteller 275                                                         Abgelehnt          200.000,00             - Antragsteller 276                                                         Abgelehnt             9.996,00            - Antragsteller 277                            21.06.2019        22.10.2019 Bewilligt           10.400,00     10.400,00 Antragsteller 278                            19.07.2019        30.06.2020 Bewilligt           58.500,00     58.500,00 Antragsteller 279                            24.04.2019        29.08.2019 Bewilligt           30.353,32     30.353,32 Antragsteller 280                                                         Abgelehnt           28.500,00            - Antragsteller 281                                                         Abgelehnt           27.874,00            - Antragsteller 282                            23.04.2019        31.12.2019 Bewilligt           18.200,00     18.200,00 Antragsteller 283                            03.04.2019        31.10.2019 Bewilligt           69.409,99     69.409,99 Antragsteller 284                            27.03.2019        30.09.2019 Bewilligt           33.600,00     33.600,00 Antragsteller 285                            27.05.2019        31.03.2020 Bewilligt           20.900,00     20.900,00 Antragsteller 286                            02.07.2019        31.10.2019 Bewilligt           11.300,00     11.300,00 Antragsteller 287                            05.07.2019        31.03.2020 Bewilligt           26.700,00     26.700,00 Antragsteller 288                             12.06.2019        31.12.2020 Bewilligt             8.300,00      8.300,00 Antragsteller 289                             01.08.2019        31.12.2020 Bewilligt           66.900,00     66.900,00 Antragsteller 290                             17.06.2019        30.04.2020 Bewilligt           45.200,00     45.200,00 Antragsteller 291                             22.08.2019        01.10.2019 Bewilligt           26.400,00     26.400,00 Antragsteller 292                                                          Beantragt          200.000,00            - Antragsteller 293                                                          Abgelehnt           40.920,00            - Antragsteller 294                             15.05.2019        31.12.2019 Bewilligt           15.300,00     15.300,00 Antragsteller 295                             01.06.2019        01.06.2021 Bewilligt          139.500,00    139.500,00 Antragsteller 296                             01.05.2019        30.07.2019 Bewilligt           10.600,00     10.600,00 Antragsteller 297                             23.05.2019       31.12.2020 Bewilligt            21.000,00     21.000,00 Antragsteller 298                             01.06.2019       31.10.2019 Bewilligt            13.500,00     13.500,00 Antragsteller 299                             21.05.2019       30.04.2021 Bewilligt            24.000,00     24.000,00 Antragsteller 300                             06.05.2019       20.04.2020 Bewilligt            79.500,00     79.500,00 Antragsteller 301                             13.06.2019       30.06.2020 Bewilligt            53.600,00     53.600,00 Antragsteller 302                             17.10.2019       16.10.2021 Bewilligt            15.750,00     15.750,00 Antragsteller 303                                                          Beantragt           32.113,20            - Antragsteller 304                                                          Abgelehnt           26.814,00            - Antragsteller 305                             27.05.2019       30.06.2020 Bewilligt            18.100,00     18.100,00 Antragsteller 306                             01.11.2019       30.10.2021 Bewilligt           197.700,00    197.700,00 Antragsteller 307                                                          Abgelehnt          145.000,00            - Antragsteller 308                             28.06.2019       31.10.2019 Bewilligt            10.800,00     10.800,00 Antragsteller 309                             09.08.2019       15.08.2020 Bewilligt            71.000,00     71.000,00 Antragsteller 310                                                          Beantragt           10.685,00            - Antragsteller 311                                                          Beantragt           90.590,00            - Antragsteller 312                             05.07.2019       04.07.2020 Bewilligt           200.000,00    200.000,00 Antragsteller 313                                                          Abgelehnt           11.300,00            - Antragsteller 314                                                          Abgelehnt           12.000,00            - Antragsteller 315                             01.07.2019       23.07.2019 Bewilligt            16.400,00     16.400,00 Quelle: FÖMISAX, Datenstand 30.11.2019                                                                      Seite 7 von 20
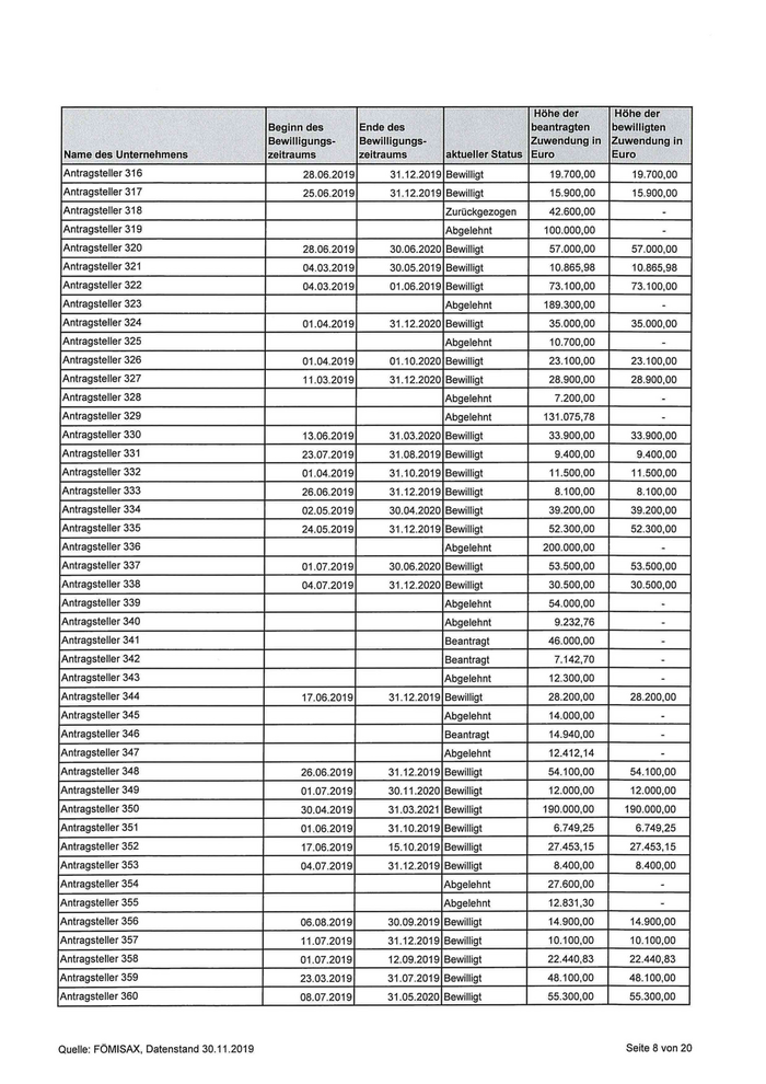
9

Höhe der      Höhe der Beginn des        Ende des                           beantragten   bewilligten Bewilligungs-     Bewilligungs-                      Zuwendung in Zuwendung in Name des Unternehmens                 zeitraums         zeitraums         aktueller Status Euro          Euro Antragsteller 316                            28.06.2019        31.12.2019 Bewilligt           19.700,00     19.700,00 Antragsteller 317                            25.06.2019        31.12.2019 Bewilligt           15.900,00     15.900,00 Antragsteller 318                                                         Zurückgezogen       42.600,00             - Antragsteller 319                                                         Abgelehnt          100.000,00            - Antragsteller 320                            28.06.2019        30.06.2020 Bewilligt           57.000,00     57.000,00 Antragsteller 321                            04.03.2019        30.05.2019 Bewilligt           10.865,98     10.865,98 Antragsteller 322                            04.03.2019        01.06.2019 Bewilligt           73.100,00     73.100,00 Antragsteller 323                                                         Abgelehnt          189.300,00            - Antragsteller 324                            01.04.2019        31.12.2020 Bewilligt           35.000,00     35.000,00 Antragsteller 325                                                         Abgelehnt           10.700,00            - Antragsteller 326                            01.04.2019        01.10.2020 Bewilligt           23.100,00     23.100,00 Antragsteller 327                            11.03.2019        31.12.2020 Bewilligt           28.900,00     28.900,00 Antragsteller 328                                                         Abgelehnt             7.200,00           - Antragsteller 329                                                         Abgelehnt          131.075,78            - Antragsteller 330                            13.06.2019        31.03.2020 Bewilligt           33.900,00     33.900,00 Antragsteller 331                             23.07.2019        31.08.2019 Bewilligt             9.400,00      9.400,00 Antragsteller 332                             01.04.2019        31.10.2019 Bewilligt           11.500,00     11.500,00 Antragsteller 333                             26.06.2019        31.12.2019 Bewilligt             8.100,00      8.100,00 Antragsteller 334                             02.05.2019        30.04.2020 Bewilligt           39.200,00     39.200,00 Antragsteller 335                             24.05.2019        31.12.2019 Bewilligt           52.300,00     52.300,00 Antragsteller 336                                                          Abgelehnt          200.000,00            - Antragsteller 337                             01.07.2019        30.06.2020 Bewilligt           53.500,00     53.500,00 Antragsteller 338                             04.07.2019        31.12.2020 Bewilligt           30.500,00     30.500,00 Antragsteller 339                                                          Abgelehnt           54.000,00            - Antragsteller 340                                                          Abgelehnt             9.232,76           - Antragsteller 341                                                          Beantragt           46.000,00            - Antragsteller 342                                                          Beantragt             7.142,70           - Antragsteller 343                                                          Abgelehnt           12.300,00            - Antragsteller 344                             17.06.2019       31.12.2019 Bewilligt            28.200,00     28.200,00 Antragsteller 345                                                          Abgelehnt           14.000,00            - Antragsteller 346                                                          Beantragt           14.940,00            - Antragsteller 347                                                          Abgelehnt           12.412,14            - Antragsteller 348                             26.06.2019       31.12.2019 Bewilligt            54.100,00     54.100,00 Antragsteller 349                             01.07.2019       30.11.2020 Bewilligt            12.000,00     12.000,00 Antragsteller 350                             30.04.2019       31.03.2021 Bewilligt           190.000,00    190.000,00 Antragsteller 351                             01.06.2019       31.10.2019 Bewilligt              6.749,25      6.749,25 Antragsteller 352                             17.06.2019       15.10.2019 Bewilligt            27.453,15     27.453,15 Antragsteller 353                             04.07.2019       31.12.2019 Bewilligt              8.400,00      8.400,00 Antragsteller 354                                                          Abgelehnt           27.600,00            - Antragsteller 355                                                          Abgelehnt           12.831,30            - Antragsteller 356                             06.08.2019       30.09.2019 Bewilligt            14.900,00     14.900,00 Antragsteller 357                             11.07.2019       31.12.2019 Bewilligt            10.100,00     10.100,00 Antragsteller 358                             01.07.2019       12.09.2019 Bewilligt            22.440,83     22.440,83 Antragsteller 359                             23.03.2019       31.07.2019 Bewilligt            48.100,00     48.100,00 Antragsteller 360                             08.07.2019       31.05.2020 Bewilligt            55.300,00     55.300,00 Quelle: FÖMISAX, Datenstand 30.11.2019                                                                      Seite 8 von 20
10

Zur nächsten Seite