Umsetzung des Förderprogramms "Regionales Wachstum"

/ 22
PDF herunterladen
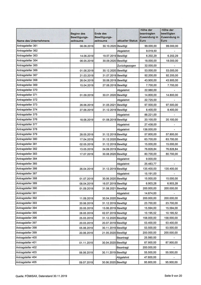
Höhe der      Höhe der Beginn des        Ende des                           beantragten   bewilligten Bewilligungs-     Bewilligungs-                      Zuwendung in Zuwendung in Name des Unternehmens                 zeitraums         zeitraums         aktueller Status Euro          Euro Antragsteller 361                            06.06.2019        30.10.2020 Bewilligt           99.000,00     99.000,00 Antragsteller 362                                                         Abgelehnt             9.019,50            - Antragsteller 363                            14.06.2019        19.07.2019 Bewilligt             6.202,29      6.202,29 Antragsteller 364                            06.05.2019        30.09.2020 Bewilligt           18.000,00     18.000,00 Antragsteller 365                                                         Zurückgezogen       32.000,00             - Antragsteller 366                            01.06.2019        30.12.2020 Bewilligt           53.000,00     53.000,00 Antragsteller 367                            21.03.2019        31.07.2019 Bewilligt           92.200,00     92.200,00 Antragsteller 368                            26.04.2019        30.06.2019 Bewilligt           43.900,00     43.900,00 Antragsteller 369                            15.04.2019        27.06.2019 Bewilligt             7.700,00      7.700,00 Antragsteller 370                                                         Abgelehnt           22.980,00            - Antragsteller 371                            01.09.2019        30.01.2020 Bewilligt           14.800,00     14.800,00 Antragsteller 372                                                         Abgelehnt           22.725,00            - Antragsteller 373                            26.06.2019        31.05.2021 Bewilligt           97.500,00     97.500,00 Antragsteller 374                            27.06.2019        31.12.2019 Bewilligt             8.400,00      8.400,00 Antragsteller 375                                                         Abgelehnt           88.221,00            - Antragsteller 376                            18.06.2019        01.08.2019 Bewilligt           20.100,00     20.100,00 Antragsteller 377                                                          Abgelehnt           27.438,00            - Antragsteller 378                                                          Abgelehnt          136.000,00            - Antragsteller 379                             28.05.2019        31.12.2019 Bewilligt           57.800,00     57.800,00 Antragsteller 380                             17.04.2019        31.12.2020 Bewilligt           63.700,00     63.700,00 Antragsteller 381                             02.05.2019        31.12.2019 Bewilligt           15.000,00     15.000,00 Antragsteller 382                             13.05.2019        24.09.2019 Bewilligt           76.828,84     76.828,84 Antragsteller 383                             17.07.2019        30.08.2020 Bewilligt           80.700,00     80.700,00 Antragsteller 384                                                          Abgelehnt             9.000,00           - Antragsteller 385                                                          Abgelehnt           25.483,77            - Antragsteller 386                             26.04.2019        31.12.2019 Bewilligt          135.400,00    135.400,00 Antragsteller 387                                                          Abgelehnt           15.191,00            - Antragsteller 388                             01.07.2019       30.06.2020 Bewilligt            15.000,00     15.000,00 Antragsteller 389                             08.04.2019       16.07.2019 Bewilligt              6.903,28      6.903,28 Antragsteller 390                             01.09.2019       31.08.2021 Bewilligt           200.000,00    200.000,00 Antragsteller 391                                                          Abgelehnt           14.674,00            - Antragsteller 392                             11.09.2019       30.04.2020 Bewilligt           200.000,00    200.000,00 Antragsteller 393                             20.06.2019       31.12.2019 Bewilligt            23.700,00     23.700,00 Antragsteller 394                             20.05.2019       13.06.2019 Bewilligt            15.594,00     15.594,00 Antragsteller 395                             28.05.2019       02.07.2019 Bewilligt            10.195,52     10.195,52 Antragsteller 396                             25.03.2019       31.12.2020 Bewilligt           158.000,00    158.000,00 Antragsteller 397                             20.03.2019       20.07.2019 Bewilligt            53.400,00     53.400,00 Antragsteller 398                             05.06.2019       30.11.2019 Bewilligt            53.500,00     53.500,00 Antragsteller 399                             20.06.2019       21.05.2020 Bewilligt           200.000,00    200.000,00 Antragsteller 400                                                          Beantragt           25.560,00            - Antragsteller 401                             01.11.2019       30.04.2020 Bewilligt            87.900,00     87.900,00 Antragsteller 402                                                          Beantragt          200.000,00            - Antragsteller 403                             06.06.2019       30.11.2019 Bewilligt            55.500,00     55.500,00 Antragsteller 404                                                          Abgelehnt           47.600,00            - Antragsteller 405                             09.07.2019       30.06.2020 Bewilligt            95.900,00     95.900,00 Quelle: FOMISAX, Datenstand 30.11.2019                                                                      Seite 9 von 20
11

Höhe der     Höhe der Beginn des        Ende des                           beantragten  bewilligten Bewilligungs-     Bewilligungs-                      Zuwendung in Zuwendung in Name des Unternehmens                 zeitraums         zeitraums         aktueller Status Euro         Euro Antragsteller 406                            11.09.2019        14.07.2021 Bewilligt           75.000,00    75.000,00 Antragsteller 407                                                         Abgelehnt           30.564,00            - Antragsteller 408                                                         Abgelehnt          113.700,00            - Antragsteller 409                                                         Abgelehnt           59.470,00            - Antragsteller 410                            04.07.2019        31.05.2020 Bewilligt           25.500,00    25.500,00 Antragsteller 411                            13.11.2019        01.06.2020 Bewilligt           28.000,00    28.000,00 Antragsteller 412                            17.06.2019        31.12.2020 Bewilligt           13.000,00    13.000,00 Antragsteller 413                            15.05.2019        15.04.2021 Bewilligt           47.900,00    47.900,00 Antragsteller 414                                                         Beantragt           25.500,00           - Antragsteller 415                            06.05.2019        15.07.2019 Bewilligt           11.825,72    11.825,72 Antragsteller 416                                                         Abgelehnt           60.000,00           - Antragsteller 417                            16.11.2019        31.01.2020 Bewilligt           71.667,00    71.667,00 Antragsteller 418                            29.05.2019        20.06.2019 Bewilligt           15.465,68    15.465,68 Antragsteller 419                            03.05.2019        31.10.2019 Bewilligt           11.900,00    11.900,00 Antragsteller 420                                                         Abgelehnt           89.100,00           - Antragsteller 421                                                         Abgelehnt           16.666,00           - Antragsteller 422                            19.06.2019        31.12.2020 Bewilligt          135.000,00   135.000,00 Antragsteller 423                                                          Zurückgezogen       11.800,00           - Antragsteller 424                                                          Abgelehnt                               - Antragsteller 425                                                          Abgelehnt          123.940,00           - Antragsteller 426                             01.04.2019        31.07.2020 Bewilligt           26.400,00    26.400,00 Antragsteller 427                             04.03.2019        01.06.2019 Bewilligt           28.420,00    28.420,00 Antragsteller 428                             01.05.2019        01.04.2020 Bewilligt          110.400,00   110.400,00 Antragsteller 429                                                          Beantragt           26.564,00           - Antragsteller 430                                                          Abgelehnt           26.160,00           - Antragsteller 431                             15.05.2019       30.06.2020 Bewilligt           200.000,00   200.000,00 Antragsteller 432                             27.03.2019       31.05.2020 Bewilligt            45.500,00    45.500,00 Antragsteller 433                             01.12.2019       31.03.2020 Bewilligt            13.780,00    13.780,00 Antragsteller 434                             01.04.2019       30.06.2019 Bewilligt            24.868,48    24.868,48 Antragsteller 435                             01.04.2019       11.06.2019 Bewilligt            19.168,00    19.168,00 Antragsteller 436                             02.04.2019       01.11.2019 Bewilligt            51.800,00    51.800,00 Antragsteller 437                             18.03.2019       30.09.2019 Bewilligt            61.600,00    61.600,00 Antragsteller 438                             11.09.2019       30.12.2019 Bewilligt            11.200,00    11.200,00 Antragsteller 439                             23.07.2019       31.12.2020 Bewilligt            15.400,00    15.400,00 Antragsteller 440                             03.05.2019       30.06.2020 Bewilligt            66.000,00    66.000,00 Antragsteller 441                             26.06.2019       31.12.2019 Bewilligt             6.000,00      6.000,00 Antragsteller 442                             13.09.2019       01.07.2020 Bewilligt            17.200,00    17.200,00 Antragsteller 443                             23.05.2019       27.08.2019 Bewilligt            15.200,00    15.200,00 Antragsteller 444                                                          Abgelehnt           28.020,00           - Antragsteller 445                             11.06.2019       31.12.2020 Bewilligt            11.800,00    11.800,00 Antragsteller 446                             19.06.2019       18.06.2021 Bewilligt           198.000,00   198.000,00 Antragsteller 447                             05.06.2019       30.09.2019 Bewilligt            20.400,00    20.400,00 Antragsteller 448                                                          Abgelehnt          200.000,00           - Antragsteller 449                             12.06.2019       21.08.2019 Bewilligt            14.600,00    14.600,00 Antragsteller 450                                                          Abgelehnt           49.500,00           - Quelle: FÖMISAX, Datenstand 30.11.2019                                                                    Seite 10 von 20
12

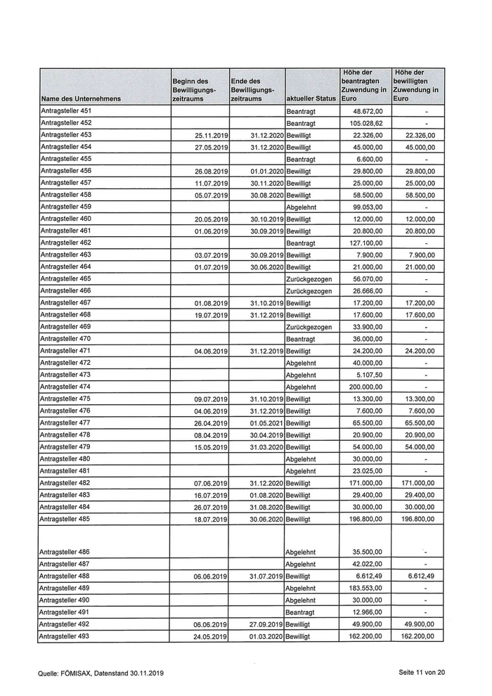
Höhe der      Höhe der Beginn des        Ende des                           beantragten   bewilligten Bewilligungs-     Bewilligungs-                      Zuwendung in Zuwendung in Name des Unternehmens                 zeitraums         zeitraums         aktueller Status Euro          Euro Antragsteller 451                                                         Beantragt           48.672,00            - Antragsteller 452                                                         Beantragt          105.028,62            - Antragsteller 453                            25.11.2019        31.12.2020 Bewilligt           22.326,00     22.326,00 Antragsteller 454                            27.05.2019        31.12.2020 Bewilligt           45.000,00     45.000,00 Antragsteller 455                                                         Beantragt             6.600,00           - Antragsteller 456                            26.08.2019        01.01.2020 Bewilligt           29.800,00     29.800,00 Antragsteller 457                            11.07.2019        30.11.2020 Bewilligt           25.000,00     25.000,00 Antragsteller 458                            05.07.2019        30.08.2020 Bewilligt           58.500,00     58.500,00 Antragsteller 459                                                         Abgelehnt           99.053,00            - Antragsteller 460                            20.05.2019        30.10.2019 Bewilligt           12.000,00     12.000,00 Antragsteller 461                            01.06.2019        30.09.2019 Bewilligt           20.800,00     20.800,00 Antragsteller 462                                                         Beantragt          127.100,00            - Antragsteller 463                            03.07.2019        30.09.2019 Bewilligt             7.900,00      7.900,00 Antragsteller 464                            01.07.2019        30.06.2020 Bewilligt           21.000,00     21.000,00 Antragsteller 465                                                          Zurückgezogen       56.070,00            - Antragsteller 466                                                          Zurückgezogen       26.666,00            - Antragsteller 467                             01.08.2019        31.10.2019 Bewilligt           17.200,00     17.200,00 Antragsteller 468                             19.07.2019        31.12.2019 Bewilligt           17.600,00     17.600,00 Antragsteller 469                                                          Zurückgezogen       33.900,00            - Antragsteller 470                                                          Beantragt           36.000,00            - Antragsteller 471                             04.06.2019        31.12.2019 Bewilligt           24.200,00     24.200,00 Antragsteller 472                                                          Abgelehnt           40.000,00            - Antragsteller 473                                                          Abgelehnt             5.107,50           - Antragsteller 474                                                          Abgelehnt          200.000,00            - Antragsteller 475                             09.07.2019        31.10.2019 Bewilligt           13.300,00     13.300,00 Antragsteller 476                             04.06.2019        31.12.2019 Bewilligt             7.600,00      7.600,00 Antragsteller 477                             26.04.2019        01.05.2021 Bewilligt           65.500,00     65.500,00 Antragsteller 478                             08.04.2019        30.04.2019 Bewilligt           20.900,00     20.900,00 Antragsteller 479                             15.05.2019       31.03.2020 Bewilligt            54.000,00     54.000,00 Antragsteller 480                                                          Abgelehnt           30.000,00            - Antragsteller 481                                                          Abgelehnt           23.025,00            - Antragsteller 482                             07.06.2019       31.12.2020 Bewilligt           171.000,00    171.000,00 Antragsteller 483                             16.07.2019       01.08.2020 Bewilligt            29.400,00     29.400,00 Antragsteller 484                             26.07.2019       31.08.2020 Bewilligt            30.000,00     30.000,00 Antragsteller 485                             18.07.2019       30.06.2020 Bewilligt           196.800,00    196.800,00 Antragsteller 486                                                          Abgelehnt           35.500,00            - Antragsteller 487                                                          Abgelehnt           42.022,00            - Antragsteller 488                             06.06.2019       31.07.2019 Bewilligt             6.612,49       6.612,49 Antragsteller 489                                                          Abgelehnt          183.553,00            - Antragsteller 490                                                          Abgelehnt           30.000,00            - Antragsteller 491                                                          Beantragt           12.966,00            - Antragsteller 492                             06.06.2019       27.09.2019 Bewilligt            49.900,00     49.900,00 Antragsteller 493                             24.05.2019       01.03.2020 Bewilligt           162.200,00    162.200,00 Quelle: FÖMISAX, Datenstand 30.11.2019                                                                     Seite 11 von 20
13

Höhe der      Höhe der Beginn des        Ende des                           beantragten   bewilligten Bewilligungs-     Bewilligungs-                      Zuwendung in Zuwendung in Name des Unternehmens                 zeitraums         zeitraums         aktueller Status Euro          Euro Antragsteller 494                            26.04.2019        28.10.2019 Bewilligt           49.300,00     49.300,00 Antragsteller 495                            01.06.2019        31.12.2019 Bewilligt           71.100,00     71.100,00 Antragsteller 496                                                         Abgelehnt           17.851,00             - Antragsteller 497                            15.05.2019        30.06.2019 Bewilligt           10.700,00     10.700,00 Antragsteller 498                            02.04.2019        31.12.2020 Bewilligt           82.100,00     82.100,00 Antragsteller 499                            01.04.2019        30.06.2020 Bewilligt           97.500,00     97.500,00 Antragsteller 500                            29.03.2019        25.10.2019 Bewilligt           74.000,00     74.000,00 Antragsteller 501                                                         Abgelehnt           22.500,00             - Antragsteller 502                                                         Beantragt           27.466,81            - Antragsteller 503                            01.07.2019        30.12.2020 Bewilligt           31.800,00     31.800,00 Antragsteller 504                                                         Abgelehnt          214.500,00            - Antragsteller 505                            17.06.2019        24.09.2019 Bewilligt          162.470,06    162.470,06 Antragsteller 506                            17.06.2019        06.11.2019 Bewilligt           32.600,00     32.600,00 Antragsteller 507                                                         Abgelehnt           25.000,00            - Antragsteller 508                                                         Abgelehnt           20.000,00            - Antragsteller 509                            23.05.2019        31.12.2020 Bewilligt           21.000,00     21.000,00 Antragsteller 510                            12.07.2019        31.05.2020 Bewilligt           43.300,00     43.300,00 Antragsteller 511                                                         Abgelehnt          111.000,00            - Antragsteller 512                                                          Abgelehnt           46.699,50            - Antragsteller 513                             08.10.2019        31.03.2021 Bewilligt           10.800,00     10.800,00 Antragsteller 514                                                          Beantragt           27.400,00            - Antragsteller 515                             01.07.2019        30.06.2020 Bewilligt          200.000,00    200.000,00 Antragsteller 516                                                          Abgelehnt           10.100,00            - Antragsteller 517                             06.05.2019        20.03.2020 Bewilligt          194.400,00    194.400,00 Antragsteller 518                             16.08.2019        31.12.2019 Bewilligt             7.800,00      7.800,00 Antragsteller 519                             08.10.2019        31.12.2019 Bewilligt           40.500,00     40.500,00 Antragsteller 520                             17.10.2019        31.07.2021 Bewilligt           17.430,00     17.430,00 Antragsteller 521                                                          Beantragt          200.000,00            - Antragsteller 522                                                          Beantragt          108.000,00            - Antragsteller 523                             17.10.2019       31.12.2020 Bewilligt            15.700,00     15.700,00 Antragsteller 524                                                          Abgelehnt           68.169,00            - Antragsteller 525                             12.08.2019       31.12.2019 Bewilligt            10.000,00     10.000,00 Antragsteller 526                             08.07.2019       31.07.2020 Bewilligt            26.300,00     26.300,00 Antragsteller 527                             11.06.2019       31.12.2020 Bewilligt            39.800,00     39.800,00 Antragsteller 528                             13.09.2019       30.10.2020 Bewilligt            18.000,00     18.000,00 Antragsteller 529                                                          Abgelehnt          121.980,00            - Antragsteller 530                                                          Abgelehnt           37.840,00            - Antragsteller 531                                                          Abgelehnt           13.302,00            - Antragsteller 532                             24.06.2019       31.12.2020 Bewilligt           121.300,00    121.300,00 Antragsteller 533                                                          Zurückgezogen       91.424,00            - Antragsteller 534                             15.08.2019       30.06.2021 Bewilligt            25.500,00     25.500,00 Antragsteller 535                             03.07.2019       31.12.2020 Bewilligt            31.500,00     31.500,00 Antragsteller 536                             21.06.2019       31.08.2019 Bewilligt            14.891,10     14.891,10 Antragsteller 537                                                          Zurückgezogen       80.000,00            - Antragsteller 538                                                          Abgelehnt           10.000,00            - Quelle: FOMISAX, Datenstand 30.11.2019                                                                     Seite 12 von 20
14

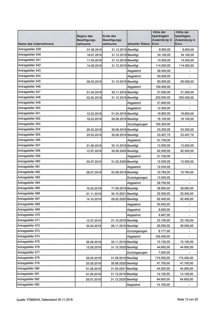
Höhe der      Höhe der Beginn des         Ende des                           beantragten   bewilligten Bewilligungs-      Bewilligungs-                      Zuwendung in Zuwendung in Name des Unternehmens                 zeitraums          zeitraums         aktueller Status Euro          Euro Antragsteller 539                             01.06.2019        31.12.2019 Bewilligt             8.600,00      8.600,00 Antragsteller 540                             18.07.2019        31.12.2019 Bewilligt           34.100,00     34.100,00 Antragsteller 541                             17.04.2019        31.12.2019 Bewilligt           14.500,00     14.500,00 Antragsteller 542                             14.06.2019        31.12.2019 Bewilligt          114.000,00    114.000,00 Antragsteller 543                                                          Abgelehnt           28.000,00             - Antragsteller 544                                                          Abgelehnt           93.000,00             - Antragsteller 545                            08.03.2019         31.10.2019 Bewilligt           60.000,00     60.000,00 Antragsteller 546                                                          Abgelehnt          190.400,00             - Antragsteller 547                            01.04.2019         30.11.2019 Bewilligt           21.000,00     21.000,00 Antragsteller 548                            02.05.2019         31.12.2019 Bewilligt          200.000,00    200.000,00 Antragsteller 549                                                          Abgelehnt           21.600,00             - Antragsteller 550                                                          Abgelehnt           12.400,00             - Antragsteller 551                            12.03.2019         01.04.2019 Bewilligt           19.800,00     19.800,00 Antragsteller 552                            18.03.2019         26.08.2019 Bewilligt           16.100,00     16.100,00 Antragsteller 553                                                          Zurückgezogen      105.300,00             - Antragsteller 554                            26.03.2019         30.06.2019 Bewilligt           53.200,00     53.200,00 Antragsteller 555                            25.03.2019         30.06.2019 Bewilligt           23.407,75     23.407,75 Antragsteller 556                                                          Abgelehnt           51.700,00             - Antragsteller 557                            21.06.2019         30.12.2019 Bewilligt           13.000,00     13.000,00 Antragsteller 558                            12.07.2019         30.06.2020 Bewilligt           62.500,00     62.500,00 Antragsteller 559                                                          Abgelehnt           21.750,00             - Antragsteller 560                             03.07.2019        31.03.2020 Bewilligt            12.500,00     12.500,00 Antragsteller 561                                                           Abgelehnt           12.534,00            - Antragsteller 562                             08.07.2019        22.08.2019 Bewilligt            10.784,00     10.784,00 Antragsteller 563                                                           Zurückgezogen       13.500,00            - Antragsteller 564                                                           Abgelehnt           39.750,00            - Antragsteller 565                             10.05.2019        17.09.2019 Bewilligt            38.600,00     38.600,00 Antragsteller 566                             01.11.2019        30.10.2021 Bewilligt            52.500,00     52.500,00 Antragsteller 567                             14.10.2019        29.02.2020 Bewilligt            62.400,00     62.400,00 Antragsteller 568                                                           Abgelehnt           30.042,00            - Antragsteller 569                                                           Abgelehnt            6.600,00            - Antragsteller 570                                                           Abgelehnt            6.467,00            - Antragsteller 571                             12.07.2019        21.10.2019 Bewilligt            23.100,00     23.100,00 Antragsteller 572                             30.04.2019        08.11.2019 Bewilligt            26.000,00     26.000,00 Antragsteller 573                                                           Zurückgezogen        6.177,00            - Antragsteller 574                                                           Abgelehnt          105.400,00            - Antragsteller 575                             06.08.2019        30.11.2019 Bewilligt            15.100,00     15.100,00 Antragsteller 576                             15.06.2019        31.12.2020 Bewilligt            44.600,00     44.600,00 Antragsteller 577                                                           Zurückgezogen        7.000,00            - Antragsteller 578                             29.05.2019        31.08.2019 Bewilligt           174.400,00    174.400,00 Antragsteller 579                             20.09.2019        30.06.2020 Bewilligt            47.700,00     47.700,00 Antragsteller 580                             01.06.2019        31.05.2021 Bewilligt            44.500,00     44.500,00 Antragsteller 581                             01.09.2019        31.12.2019 Bewilligt            14.100,00     14.100,00 Antragsteller 582                             29.07.2019        31.12.2020 Bewilligt            84.600,00     84.600,00 Antragsteller 583                                                          Abgelehnt            14.100,00            - Quelle: FÖMISAX, Datenstand 30.11.2019                                                                      Seite 13 von 20
15

Höhe der      Höhe der Beginn des        Ende des                           beantragten   bewilligten Bewilligungs-     Bewilligungs-                      Zuwendung in Zuwendung in Name des Unternehmens                 zeitraums         zeitraums         aktueller Status Euro          Euro Antragsteller 584                                                         Abgelehnt          200.000,00             - Antragsteller 585                                                         Beantragt          143.202,00             - Antragsteller 586                                                         Abgelehnt             8.600,00            - Antragsteller 587                                                         Abgelehnt           20.490,00             - Antragsteller 588                            24.05.2019        18.07.2019 Bewilligt           10.800,00     10.800,00 Antragsteller 589                            20.05.2019        31.12.2020 Bewilligt           25.500,00     25.500,00 Antragsteller 590                            20.06.2019        15.05.2021 Bewilligt          200.000,00    200.000,00 Antragsteller 591                                                         Abgelehnt          186.000,00             - Antragsteller 592                                                         Beantragt          113.137,20             - Antragsteller 593                                                         Abgelehnt           80.781,88             - Antragsteller 594                            18.06.2019        17.06.2021 Bewilligt          102.300,00    102.300,00 Antragsteller 595                                                         Abgelehnt           45.250,00            - Antragsteller 596                                                         Abgelehnt             7.500,00           - Antragsteller 597                                                         Zurückgezogen       17.010,00            - Antragsteller 598                            27.06.2019        26.06.2021 Bewilligt           30.200,00     30.200,00 Antragsteller 599                            14.06.2019        31.05.2021 Bewilligt           36.900,00     36.900,00 Antragsteller 600                            01.10.2019        30.09.2021 Bewilligt           90.600,00     90.600,00 Antragsteller 601                            17.05.2019        30.08.2019 Bewilligt           39.400,00     39.400,00 Antragsteller 602                                                         Abgelehnte         148.503,00            - Antragsteller 603                                                         Abgelehnt          200.000,00            - Antragsteller 604                                                         Abgelehnt             7.168,52           - Antragsteller 605                                                         Abgelehnt           21.400,00            - Antragsteller 606                                                         Beantragt          112.920,00            - Antragsteller 607                                                         Abgelehnt           18.133,00            - Antragsteller 608                                                          Abgelehnt           12.595,00            - Antragsteller 609                                                          Abgelehnt           31.080,00            - Antragsteller 610                                                          Abgelehnt           21.530,00            - Antragsteller 611                             23.11.2019       30.12.2020 Bewilligt            45.268,00     45.268,00 Antragsteller 612                             01.06.2019       31.12.2020 Bewilligt            90.000,00     90.000,00 Antragsteller 613                                                          Beantragt          173.000,00            - Antragsteller 614                             05.07.2019       04.07.2021 Bewilligt            29.400,00     29.400,00 Antragsteller 615                             07.08.2019       30.04.2020 Bewilligt            89.700,00     89.700,00 Antragsteller 616                             01.10.2019       01.10.2021 Bewilligt            50.000,00     50.000,00 Antragsteller 617                             17.09.2019       16.09.2020 Bewilligt           179.200,00    179.200,00 Antragsteller 618                                                          Beantragt           18.150,00            - Antragsteller 619                             17.10.2019       30.04.2020 Bewilligt            60.500,00     60.500,00 Antragsteller 620                             05.06.2019       30.09.2020 Bewilligt            18.000,00     18.000,00 Antragsteller 621                                                          Abgelehnt           99.160,00            - Antragsteller 622                             13.06.2019       30.11.2019 Bewilligt            69.800,00     69.800,00 Antragsteller 623                             06.08.2019       05.09.2019 Bewilligt            13.600,00     13.600,00 Antragsteller 624                             23.07.2019       15.09.2019 Bewilligt            19.300,00     19.300,00 Antragsteller 625                                                          Zurückgezogen       30.000,00            - Antragsteller 626                                                          Abgelehnt           13.500,00            - Antragsteller 627                             06.06.2019       31.08.2019 Bewilligt             9.400,00      9.400,00 Antragsteller 628                                                          Zurückgezogen       12.131,00            - Quelle: FÖMISAX, Datenstand 30.11.2019                                                                     Seite 14 von 20
16

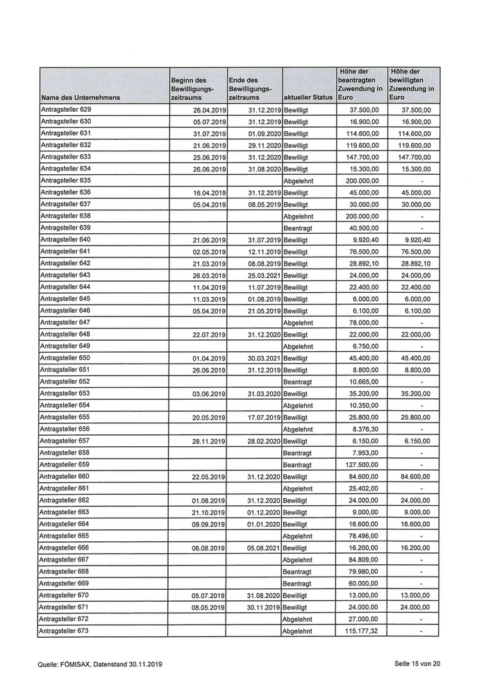
Höhe der      Höhe der Beginn des        Ende des                           beantragten   bewilligten Bewilligungs-     Bewilligungs-                      Zuwendung in Zuwendung in Name des Unternehmens                 zeitraums         zeitraums         aktueller Status Euro          Euro Antragsteller 629                            26.04.2019        31.12.2019 Bewilligt           37.500,00     37.500,00 Antragsteller 630                            05.07.2019        31.12.2019 Bewilligt           16.900,00     16.900,00 Antragsteller 631                            31.07.2019        01.09.2020 Bewilligt          114.600,00    114.600,00 Antragsteller 632                            21.06.2019        29.11.2020 Bewilligt          119.600,00    119.600,00 Antragsteller 633                            25.06.2019        31.12.2020 Bewilligt          147.700,00    147.700,00 Antragsteller 634                            26.06.2019        31.08.2020 Bewilligt           15.300,00     15.300,00 Antragsteller 635                                                         Abgelehnt          200.000,00            - Antragsteller 636                            16.04.2019        31.12.2019 Bewilligt           45.000,00     45.000,00 Antragsteller 637                            05.04.2019        08.05.2019 Bewilligt           30.000,00     30.000,00 Antragsteller 638                                                         Abgelehnt          200.000,00            - Antragsteller 639                                                         Beantragt           40.500,00            - Antragsteller 640                            21.06.2019        31.07.2019 Bewilligt             9.920,40      9.920,40 Antragsteller 641                            02.05.2019        12.11.2019 Bewilligt           76.500,00     76.500,00 Antragsteller 642                            21.03.2019        08.08.2019 Bewilligt           28.892,10     28.892,10 Antragsteller 643                            26.03.2019        25.03.2021 Bewilligt           24.000,00     24.000,00 Antragsteller 644                            11.04.2019        11.07.2019 Bewilligt           22.400,00     22.400,00 Antragsteller 645                            11.03.2019        01.08.2019 Bewilligt             6.000,00      6.000,00 Antragsteller 646                            05.04.2019        21.05.2019 Bewilligt             6.100,00      6.100,00 Antragsteller 647                                                          Abgelehnt           78.000,00            - Antragsteller 648                             22.07.2019        31.12.2020 Bewilligt           22.000,00     22.000,00 Antragsteller 649                                                          Abgelehnt             6.750,00           - Antragsteller 650                             01.04.2019        30.03.2021 Bewilligt           45.400,00     45.400,00 Antragsteller 651                             26.06.2019        31.12.2019 Bewilligt             8.800,00      8.800,00 Antragsteller 652                                                          Beantragt           10.665,00            - Antragsteller 653                             03.06.2019        31.03.2020 Bewilligt           35.200,00     35.200,00 Antragsteller 654                                                          Abgelehnt           10.350,00            - Antragsteller 655                             20.05.2019       17.07.2019 Bewilligt            25.800,00     25.800,00 Antragsteller 656                                                          Abgelehnt             8.376,30           - Antragsteller 657                             28.11.2019       28.02.2020 Bewilligt              6.150,00      6.150,00 Antragsteller 658                                                          Beantragt            7.953,00            - Antragsteller 659                                                          Beantragt          127.500,00            - Antragsteller 660                             22.05.2019       31.12.2020 Bewilligt            84.600,00     84.600,00 Antragsteller 661                                                          Abgelehnt           25.402,00            - Antragsteller 662                             01.08.2019       31.12.2020 Bewilligt            24.000,00     24.000,00 Antragsteller 663                             21.10.2019       01.12.2020 Bewilligt             9.000,00       9.000,00 Antragsteller 664                             09.09.2019       01.01.2020 Bewilligt            16.600,00     16.600,00 Antragsteller 665                                                          Abgelehnt           78.496,00            - Antragsteller 666                             06.08.2019       05.08.2021 Bewilligt            16.200,00     16.200,00 Antragsteller 667                                                          Abgelehnt           84.809,00            - Antragsteller 668                                                          Beantragt           79.980,00            - Antragsteller 669                                                          Beantragt           60.000,00            - Antragsteller 670                             05.07.2019       31.08.2020 Bewilligt            13.000,00     13.000,00 Antragsteller 671                             08.05.2019       30.11.2019 Bewilligt            24.000,00     24.000,00 Antragsteller 672                                                          Abgelehnt           27.000,00            - Antragsteller 673                                                          Abgelehnt          115.177,32            - Quelle: FÖMISAX, Datenstand 30.11.2019                                                                     Seite 15 von 20
17

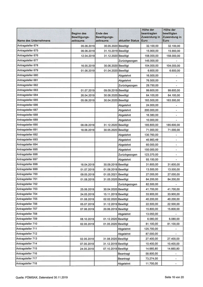
Höhe der      Höhe der Beginn des         Ende des                           beantragten   bewilligten Bewilligungs-      Bewilligungs-                      Zuwendung in  Zuwendung in Name des Unternehmens                 zeitraums          zeitraums         aktueller Status Euro          Euro Antragsteller 674                             05.06.2019        30.05.2020 Bewilligt           32.100,00     32.100,00 Antragsteller 675                             06.06.2019        31.10.2019 Bewilligt           15.900,00     15.900,00 Antragsteller 676                             12.04.2019        31.12.2020 Bewilligt          158.000,00    158.000,00 Antragsteller 677                                                          Zurückgezogen      145.000,00             - Antragsteller 678                             16.05.2019        30.06.2020 Bewilligt          104.000,00    104.000,00 Antragsteller 679                             01.06.2019        01.04.2020 Bewilligt             6.600,00      6.600,00 Antragsteller 680                                                          Abgelehnt           16.500,00             - Antragsteller 681                                                          Abgelehnt           76.500,00             - Antragsteller 682                                                          Zurückgezogen       29.750,00             - Antragsteller 683                            01.07.2019         09.09.2019 Bewilligt           99.600,00     99.600,00 Antragsteller 684                            26.04.2019         30.06.2020 Bewilligt           64.100,00     64.100,00 Antragsteller 685                            05.06.2019         30.04.2020 Bewilligt          163.500,00    163.500,00 Antragsteller 686                                                          Abgelehnt           24.000,00             - Antragsteller 687                                                          Abgelehnt          200.000,00             - Antragsteller 688                                                          Abgelehnt           16.380,00             - Antragsteller 689                                                          Abgelehnt           10.000,00             - Antragsteller 690                            08.08.2019         31.12.2020 Bewilligt          185.600,00    185.600,00 Antragsteller 691                            18.06.2019         30.05.2020 Bewilligt           71.000,00     71.000,00 Antragsteller 692                                                          Abgelehnt          130.760,00             - Antragsteller 693                                                          Abgelehnt           45.983,49            - Antragsteller 694                                                          Abgelehnt           60.000,00            - Antragsteller 695                                                           Abgelehnt          150.000,00            - Antragsteller 696                                                           Zurückgezogen      123.370,00 Antragsteller 697                                                           Abgelehnt           93.150,00            - Antragsteller 698                             18.04.2019        30.09.2019 Bewilligt            31.600,00     31.600,00 Antragsteller 699                             01.07.2019        01.08.2019 Bewilligt            13.500,00     13.500,00 Antragsteller 700                             09.05.2019        01.05.2021 Bewilligt            27.000,00     27.000,00 Antragsteller 701                             01.08.2019        31.05.2020 Bewilligt            84.200,00     84.200,00 Antragsteller 702                                                           Zurückgezogen       82.500,00            - Antragsteller 703                             25.06.2019        30.04.2020 Bewilligt            41.700,00     41.700,00 Antragsteller 704                             24.05.2019        15.11.2019 Bewilligt            33.900,00     33.900,00 Antragsteller 705                             01.08.2019        02.02.2020 Bewilligt            40.200,00     40.200,00 Antragsteller 706                             05.07.2019        31.12.2019 Bewilligt            22.500,00     22.500,00 Antragsteller 707                             07.06.2019        20.06.2019 Bewilligt            15.800,00     15.800,00 Antragsteller 708                                                           Abgelehnt           13.050,00            - Antragsteller 709                             08.10.2019        01.12.2020 Bewilligt             6.080,00       6.080,00 Antragsteller 710                             02.05.2019        01.05.2020 Bewilligt            81.100,00     81.100,00 Antragsteller 711                                                           Abgelehnt          125.700,00            - Antragsteller 712                                                           Abgelehnt           87.000,00            - Antragsteller 713                             02.05.2019        31.08.2020 Bewilligt            27.400,00     27.400,00 Antragsteller 714                             07.05.2019        31.12.2019 Bewilligt            10.400,00     10.400,00 Antragsteller 715                             24.05.2019        07.10.2019 Bewilligt            14.660,80     14.660,80 Antragsteller 716                                                           Beantragt           58.800,00            - Antragsteller 717                                                           Beantragt           73.274,00            - Antragsteller 718                                                           Abgelehnt           11.700,00            - Quelle: FÖMISAX, Datenstand 30.11.2019                                                                      Seite 16 von 20
18

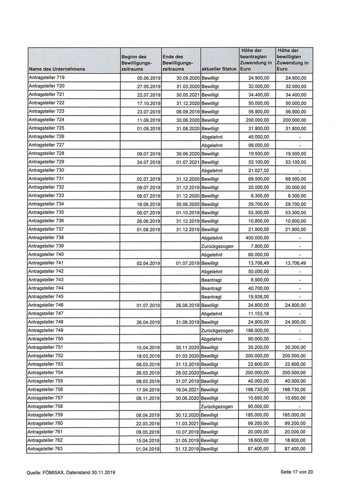
Höhe der      Höhe der Beginn des        Ende des                           beantragten   bewilligten Bewilligungs-     Bewilligungs-                      Zuwendung in  Zuwendung in Name des Unternehmens                 zeitraums         zeitraums         aktueller Status Euro          Euro Antragsteller 719                            05.06.2019        30.09.2020 Bewilligt           24.900,00     24.900,00 Antragsteller 720                            27.05.2019        31.03.2020 Bewilligt           32.000,00     32.000,00 Antragsteller 721                            22.07.2019        30.05.2021 Bewilligt           34.400,00     34.400,00 Antragsteller 722                            17.10.2019        31.12.2020 Bewilligt           50.000,00     50.000,00 Antragsteller 723                            23.07.2019        06,09.2019 Bewilligt           56.900,00     56.900,00 Antragsteller 724                            11.09.2019        30.06.2020 Bewilligt          200.000,00    200.000,00 Antragsteller 725                            01.09.2019        31.08.2020 Bewilligt           31.800,00     31.800,00 Antragsteller 726                                                         Abgelehnt           45.000,00            - Antragsteller 727                                                         Abgelehnt           99.000,00            - Antragsteller 728                            09.07.2019        30.06.2020 Bewilligt           19.500,00     19.500,00 Antragsteller 729                            24.07.2019        01.07.2021 Bewilligt           53.100,00     53.100,00 Antragsteller 730                                                         Abgelehnt           21.027,02            - Antragsteller 731                            02.07.2019        31.12.2020 Bewilligt           69.500,00     69.500,00 Antragsteller 732                            08.07.2019        31.12.2019 Bewilligt           20.000,00     20.000,00 Antragsteller 733                            08.07.2019        31.12.2020 Bewilligt             8.300,00      8.300,00 Antragsteller 734                            18.06.2019        30.06.2020 Bewilligt           29.700,00     29.700,00 Antragsteller 735                            08.07.2019        01.10.2019 Bewilligt           53.300,00     53.300,00 Antragsteller 736                            26.06.2019        31.12.2019 Bewilligt           10.800,00     10.800,00 Antragsteller 737                             01.08.2019        31.12.2019 Bewilligt           21.900,00     21.900,00 Antragsteller 738                                                          Abgelehnt          400.000,00            - Antragsteller 739                                                          Zurückgezogen         7.800,00           - Antragsteller 740                                                          Abgelehnt           60.000,00            - Antragsteller 741                             02.04.2019        01.07.2019 Bewilligt           13.706,49     13.706,49 Antragsteller 742                                                          Abgelehnt           50.000,00            - Antragsteller 743                                                          Beantragt             8.900,00           - Antragsteller 744                                                          Beantragt           40.700,00            - Antragsteller 745                                                          Beantragt           19.938,00            - Antragsteller 746                             01.07.2019       26.08.2019 Bewilligt            24.800,00     24.800,00 Antragsteller 747                                                          Abgelehnt           11.153,16            - Antragsteller 748                             26.04.2019       31.08.2019 Bewilligt            24.900,00     24.900,00 Antragsteller 749                                                          Zurückgezogen      196.000,00            - Antragsteller 750                                                          Abgelehnt           90.000,00            - Antragsteller 751                             15.04.2019       30.11.2020 Bewilligt            30.200,00     30.200,00 Antragsteller 752                             18.03.2019       01.03.2020 Bewilligt           200.000,00    200.000,00 Antragsteller 753                             06.03.2019       31.12.2019 Bewilligt            22.600,00     22.600,00 Antragsteller 754                             26.03.2019       28.02.2020 Bewilligt           200.000,00    200.000,00 Antragsteller 755                             08.03.2019       31.07.2019 Bewilligt            40.000,00     40.000,00 Antragsteller 756                             17.04.2019       16.04.2021 Bewilligt           198.730,00    198.730,00 Antragsteller 757                             08.11.2019       30.06.2020 Bewilligt            10.650,00     10.650,00 Antragsteller 758                                                          Zurückgezogen       90.000,00            - Antragsteller 759                             08.04.2019       30.12.2020 Bewilligt           185.000,00    185.000,00 Antragsteller 760                             22.03.2019       11.03.2021 Bewilligt            99.200,00     99.200,00 Antragsteller 761                             09.05.2019       10.07.2019 Bewilligt            20.000,00     20.000,00 Antragsteller 762                             15.04.2019       31.05.2019 Bewilligt            18.600,00     18.600,00 Antragsteller 763                             01.04.2019       31.12.2019 Bewilligt            87.400,00     87.400,00 Quelle: FÖMISAX, Datenstand 30.11.2019                                                                     Seite 17 von 20
19

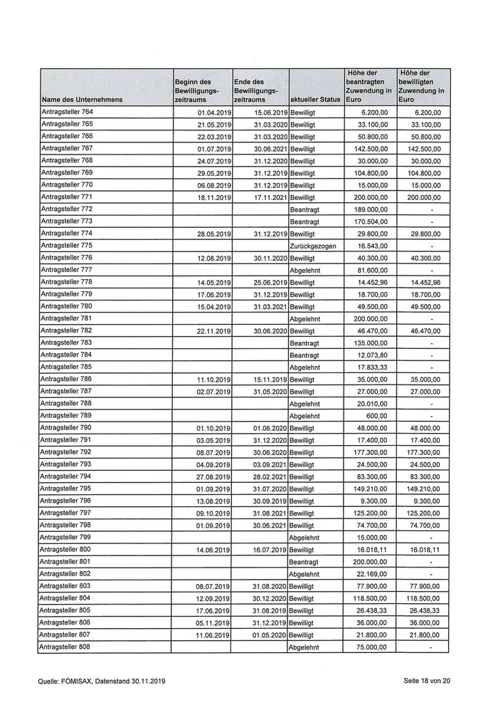
Höhe der      Höhe der Beginn des         Ende des                           beantragten   bewilligten Bewilligungs-      Bewilligungs-                      Zuwendung in  Zuwendung in Name des Unternehmens                 zeitraums          zeitraums         aktueller Status Euro          Euro Antragsteller 764                             01.04.2019        15.06.2019 Bewilligt             6.200,00      6.200,00 Antragsteller 765                            21.05.2019         31.03.2020 Bewilligt           33.100,00     33.100,00 Antragsteller 766                            22.03.2019         31.03.2020 Bewilligt           50.800,00     50.800,00 Antragsteller 767                            01.07.2019         30.06.2021 Bewilligt          142.500,00    142.500,00 Antragsteller 768                            24.07.2019         31.12.2020 Bewilligt           30.000,00     30.000,00 Antragsteller 769                            29.05.2019         31.12.2019 Bewilligt          104.800,00    104.800,00 Antragsteller 770                            06.08.2019         31.12.2019 Bewilligt           15.000,00     15.000,00 Antragsteller 771                            18.11.2019         17.11.2021 Bewilligt          200.000,00    200.000,00 Antragsteller 772                                                          Beantragt          189.000,00             - Antragsteller 773                                                          Beantragt          170.504,00             - Antragsteller 774                            28.05.2019         31.12.2019 Bewilligt           29.800,00     29.800,00 Antragsteller 775                                                          Zurückgezogen       16.543,00             - Antragsteller 776                            12.08.2019         30.11.2020 Bewilligt           40.300,00     40.300,00 Antragsteller 777                                                          Abgelehnt           81.600,00             - Antragsteller 778                            14.05.2019         25.06.2019 Bewilligt           14.452,96     14.452,96 Antragsteller 779                            17.06.2019         31.12.2019 Bewilligt           18.700,00     18.700,00 Antragsteller 780                            15.04.2019         31.03.2021 Bewilligt           49.500,00     49.500,00 Antragsteller 781                                                          Abgelehnt          200.000,00            - Antragsteller 782                            22.11.2019         30.06.2020 Bewilligt           46.470,00     46.470,00 Antragsteller 783                                                          Beantragt          135.000,00            - Antragsteller 784                                                           Beantragt           12.073,80            - Antragsteller 785                                                           Abgelehnt           17.833,33            - Antragsteller 786                             11.10.2019        15.11.2019 Bewilligt            35.000,00     35.000,00 Antragsteller 787                             02.07.2019        31.05.2020 Bewilligt            27.000,00     27.000,00 Antragsteller 788                                                           Abgelehnt           20.010,00            - Antragsteller 789                                                           Abgelehnt               600,00           - Antragsteller 790                             01.10.2019        01.06.2020 Bewilligt            48.000,00     48.000,00 Antragsteller 791                             03.05.2019        31.12.2020 Bewilligt            17.400,00     17.400,00 Antragsteller 792                             08.07.2019        30.06.2020 Bewilligt           177.300,00    177.300,00 Antragsteller 793                             04.09.2019        03.09.2021 Bewilligt            24.500,00     24.500,00 Antragsteller 794                             27.08.2019        28.02.2021 Bewilligt            83.300,00     83.300,00 Antragsteller 795                             01.09.2019        31.07.2020 Bewilligt           149.210,00    149.210,00 Antragsteller 796                             13.08.2019        30.09.2019 Bewilligt              9.300,00      9.300,00 Antragsteller 797                             09.10.2019        31.08.2021 Bewilligt           125.200,00    125.200,00 Antragsteller 798                             01.09.2019        30.06.2021 Bewilligt            74.700,00     74.700,00 Antragsteller 799                                                           Abgelehnt           15.000,00            - Antragsteller 800                             14.06.2019        16.07.2019 Bewilligt            16.018,11     16.018,11 Antragsteller 801                                                           Beantragt          200.000,00            - Antragsteller 802                                                           Abgelehnt           22.169,00            - Antragsteller 803                             08.07.2019        31.08.2020 Bewilligt            77.900,00     77.900,00 Antragsteller 804                             12.09.2019        30.12.2020 Bewilligt           118.500,00    118.500,00 Antragsteller 805                             17.06.2019        31.08.2019 Bewilligt            26.438,33     26.438,33 Antragsteller 806                             05.11.2019        31.12.2019 Bewilligt            36.000,00     36.000,00 Antragsteller 807                             11.06.2019        01.05.2020 Bewilligt            21.800,00     21.800,00 Antragsteller 808                                                           Abgelehnt           75.000,00            - Quelle: FÖMISAX, Datenstand 30.11.2019                                                                      Seite 18 von 20
20

Zur nächsten Seite