Anrechnungsstunden für Personalrats- und Gewerkschaftsarbeit von sächsischen Lehrkräften

/ 5
PDF herunterladen
~SACHsEN STAATSMlNlSTERlUM FÜR KULTUS Der Staatsminister SÄCHSISCHES STAATSMINI STERIUM FÜR KULTUS                                    Ihr Zeichen Postfach 1O 09 10 1 01079 Dresden Präsidenten des Sächsischen Landtages Ihre Nachricht vom Herrn Dr. Matthias Rößler                                                   14. Mai 2020 Bernhard-von-Lindenau-Platz 1 01067 Dresden                                                                Geschäftszeichen (bitte bei Antwort angeben) Z-1053/21 /54 Dresden,        ?f, .Mai 2020 Kleine Anfrage des Abgeordneten Dr. Rolf Weigand (AfD) Drs. -Nr.: 7/2362 Thema: Anrechnungsstunden für Personalrats- und Gewerkschafts- arbeit von sächsischen Lehrkräften Sehr geehrter Herr Präsident, den Fragen sind folgende Ausführungen vorangestellt: „Mitglieder der Kreis- und Bezirksvorstände von Gewerkschaften, der örtlichen Personalräte sowie der Bezirks- und Hauptpersonalräte, welche gleichzeitig im Schuldienst stehen, erhalten für ihre Arbeit Anrechnungsstunden auf ihre Pflichtstundenzahl." Namens und im Auftrag der Sächsischen Staatsregierung beantworte ich die Kleine Anfrage wie folgt: Frage 1: Wieviel Lehrkräfte in Sachsen betrifft das? (Bitte für den                          MACH _ __ Zeitraum 2009/10 bis 2019/20 je Schuljahre nach Schulart aufschlüsseln)                WAS -           WICHTIGES Arbti tt n im Öfft ntl ichtn D irn~ ! Sach\tn Frage 2: Wieviel Anrechnungsstunden werden für welche Funktion gewährt? (Bitte für den Zeitraum 2009/10 bis 2019/20 je Schuljahre nach Schulart aufschlüsseln nach Gewerkschaft, Funktion, Anzahl der jeweiligen Lehrkräfte und Zahl der Anrechnungsstunden.) Frage 3: Wieviel Lehrer-Vollzeitstellen sind damit gebunden? (Bitte für den Zeitraum 2009/10 bis 2019/20 je Schuljahre nach Schulart die Pflichtstundenzahl aufschlüsseln.) zusammenfassende Antwort auf die Fragen 1 bis 3: Hausanschrift: Sächsisches Staatsministerium Auf die beigefügte Übersicht wird verwiesen.                                 für Kultus Carolaplatz 1 01097 Dresden Dargestellt sind die Freistellungsstunden für die Mitglieder der örtlichen Lehrerpersonalräte an den Schulen, der Lehrer-Bezirkspersonalräte an den     www.smk.sachsen.de Standorten des Landesamtes für Schule und Bildung sowie des Verkehrsverbindung : Lehrerhauptpersonalrats beim Sächsischen Staatsministerium für Kultus, die   Zu erreichen mit den auf der Grundlage von § 54 Abs . 5 bzw. § 67 Abs . 8 SächsPersVG seitens der Straßenbahnlinien 3, 7, 8 jeweiligen Dienststellen gewährt wurden bzw. werden .                        Informationen zum Zugang für elektronisch signierte sowie für verschlüsselte elektronische Dokumente erhalten Sie unter Seite 1 von 2                                                                www.smk.sachsen.de/kontakt.htm
1

~ SACHsEN STAATSMlNlSTERlUM FÜR KULTUS 1 Aufgrund des Datenschutzkonzeptes für die Lehrerpersonaldatenbank Kultus (LPDK) sowie die Sächsische Schulverwaltungssoftware (SaxSVS) sind personenbezogene Daten nach einer Frist von fünf Jahren zu löschen. Die vollumfängliche Beantwortung der Fragen setzt eine personengenaue Recherche voraus und kann wegen vorgenannter Regelung lediglich ab dem Schuljahr 2015/2016 erfolgen. Mitgliedern der Kreis- und Bezirksvorstände von Gewerkschaften werden in dieser Funktion keine Freistellungen gewährt. Mit freundlichen Grüßen '   ·~ . h istian   ~iw~ lage     ~ Seite 2 von 2
2

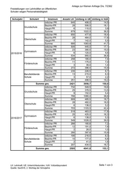
Anlage zur Kleinen Anfrage Drs. 7/2362 Freistellungen von Lehrkräften an öffentlichen Schulen wegen Personalratstätigkeit Schuljahr           Schulart            Gremium         Anzahl LK Umfang in UE Umfang in VzÄ örtlicher PR               645          406,0             14,5 Bezirks-PR                  28          506,5             18,1 Grundschule Haupt-PR                     6          110,0               3,9 Summe                      679         1022,5             36,5 örtlicher PR               650          477,8             18,4 Bezirks-PR                  28          464,0             17,8 Oberschule Haupt-PR                     7          142,0               5,5 Summe                      685         1083,8             41,7 örtlicher PR               505          445,0             17,1 Bezirks-PR                  23          390,5             15,0 Gymnasium 2015/2016                            Haupt-PR                     6          120,0               4,6 Summe                      534          955,5             36,8 örtlicher PR               258          185,4               7,4 Bezirks-PR                  11          175,0               7,0 Förderschule Haupt-PR                     3           36,0               1,4 Summe                      272          396,4             15,9 örtlicher PR               235          226,5               8,7 Berufsbildende       Bezirks-PR                  13          215,0               8,3 Schule               Haupt-PR                     3           57,0               2,2 Summe                      251          498,5             19,2 Summe ges.                         2421         3956,7            150,0 örtlicher PR               732          549,5             19,6 Bezirks-PR                  25          378,5             13,5 Grundschule Haupt-PR                     9          152,0               5,4 Summe                      766         1080,0             38,6 örtlicher PR               669          485,5             18,7 Bezirks-PR                  28          482,0             18,5 Oberschule Haupt-PR                     6          136,0               5,2 Summe                      703         1103,5             42,4 örtlicher PR               518          463,0             17,8 Bezirks-PR                  25          425,0             16,3 Gymnasium 2016/2017                            Haupt-PR                     6          138,0               5,3 Summe                      549         1026,0             39,5 örtlicher PR               266          180,8               7,2 Bezirks-PR                  12          191,0               7,6 Förderschule Haupt-PR                     2           26,0               1,0 Summe                      280          397,8             15,9 örtlicher PR               195          216,5               8,3 Berufsbildende       Bezirks-PR                  10          177,0               6,8 Schule               Haupt-PR                     2           41,0               1,6 Summe                      207          434,5             16,7 Summe ges.                         2505         4041,8            153,1 LK: Lehrkraft, UE: Unterrichtsstunden, VzÄ: Vollzeitäquivalent                            Seite 1 von 3 Quelle: SaxSVS, 2. Stichtag der Schuljahre
3

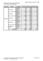
Anlage zur Kleinen Anfrage Drs. 7/2362 Freistellungen von Lehrkräften an öffentlichen Schulen wegen Personalratstätigkeit Schuljahr           Schulart            Gremium         Anzahl LK Umfang in UE Umfang in VzÄ örtlicher PR               733          561,8             20,8 Bezirks-PR                  26          388,5             14,4 Grundschule Haupt-PR                     9          156,0               5,8 Summe                      768         1106,3             41,0 örtlicher PR               685          491,0             18,9 Bezirks-PR                  28          492,0             18,9 Oberschule Haupt-PR                     6          138,0               5,3 Summe                      719         1121,0             43,1 örtlicher PR               514          445,9             17,2 Bezirks-PR                  26          421,0             16,2 Gymnasium 2017/2018                            Haupt-PR                     6          136,0               5,2 Summe                      546         1002,9             38,6 örtlicher PR               271          181,5               7,3 Bezirks-PR                  11          182,0               7,3 Förderschule Haupt-PR                     3           39,0               1,6 Summe                      285          402,5             16,1 örtlicher PR               216          209,0               8,0 Berufsbildende       Bezirks-PR                  11          190,0               7,3 Schule               Haupt-PR                     3           58,0               2,2 Summe                      230          457,0             17,6 Summe ges.                         2548         4089,7            156,3 örtlicher PR               726          558,5             20,7 Bezirks-PR                  24          370,5             13,7 Grundschule Haupt-PR                    10          174,0               6,4 Summe                      760         1103,0             40,9 örtlicher PR               680          489,3             18,8 Bezirks-PR                  28          487,0             18,7 Oberschule Haupt-PR                     6          135,0               5,2 Summe                      714         1111,3             42,7 örtlicher PR               510          423,3             16,3 Bezirks-PR                  26          428,0             16,5 Gymnasium 2018/2019                            Haupt-PR                     6          137,0               5,3 Summe                      542          988,3             38,0 örtlicher PR               270          183,0               7,3 Bezirks-PR                  11          187,0               7,5 Förderschule Haupt-PR                     3           39,0               1,6 Summe                      284          409,0             16,4 örtlicher PR               226          219,0               8,4 Berufsbildende       Bezirks-PR                  10          176,0               6,8 Schule               Haupt-PR                     3           58,0               2,2 Summe                      239          453,0             17,4 Summe ges.                         2539         4064,6            155,4 LK: Lehrkraft, UE: Unterrichtsstunden, VzÄ: Vollzeitäquivalent                            Seite 2 von 3 Quelle: SaxSVS, 2. Stichtag der Schuljahre
4

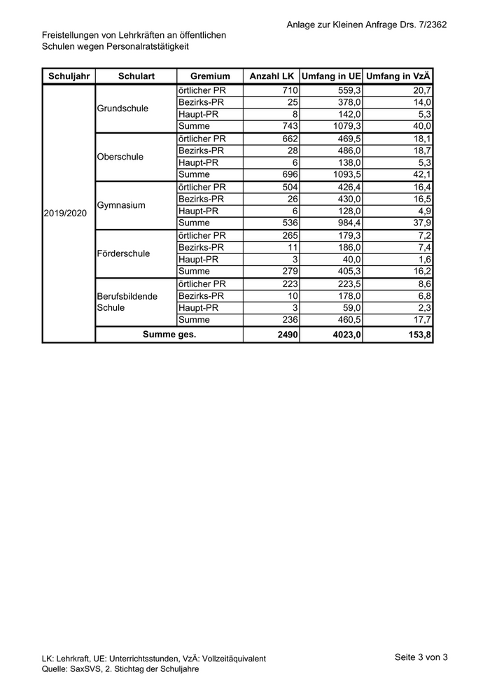
Anlage zur Kleinen Anfrage Drs. 7/2362 Freistellungen von Lehrkräften an öffentlichen Schulen wegen Personalratstätigkeit Schuljahr           Schulart            Gremium         Anzahl LK Umfang in UE Umfang in VzÄ örtlicher PR               710          559,3             20,7 Bezirks-PR                  25          378,0             14,0 Grundschule Haupt-PR                     8          142,0               5,3 Summe                      743         1079,3             40,0 örtlicher PR               662          469,5             18,1 Bezirks-PR                  28          486,0             18,7 Oberschule Haupt-PR                     6          138,0               5,3 Summe                      696         1093,5             42,1 örtlicher PR               504          426,4             16,4 Bezirks-PR                  26          430,0             16,5 Gymnasium 2019/2020                            Haupt-PR                     6          128,0               4,9 Summe                      536          984,4             37,9 örtlicher PR               265          179,3               7,2 Bezirks-PR                  11          186,0               7,4 Förderschule Haupt-PR                     3           40,0               1,6 Summe                      279          405,3             16,2 örtlicher PR               223          223,5               8,6 Berufsbildende       Bezirks-PR                  10          178,0               6,8 Schule               Haupt-PR                     3           59,0               2,3 Summe                      236          460,5             17,7 Summe ges.                         2490         4023,0            153,8 LK: Lehrkraft, UE: Unterrichtsstunden, VzÄ: Vollzeitäquivalent                            Seite 3 von 3 Quelle: SaxSVS, 2. Stichtag der Schuljahre
5