Juristische Folgen von Straftaten im Phänomenbereich "Politisch motivierte Kriminalität -links-" im ersten Halbjahr 2019

/ 14
PDF herunterladen
T STAATSIVIINISTERIUM                    Freistaat DER JUSTIZ                    SACHSEN Der Staatsminister SACHSISCHES STAATSMINISTERIUM DER JUSTIZ Hospitalstraße 7 101097 Dresden Durchwahl Telefon +49 35'l 564 15000 Präsidenten des Sächsischen Landtages                                                   Telefax +49 351 564 15009 Herrn Dr. Matthias Rößler Staatsminister@ Bern ha rd-von-Li ndena u-Platz 1                                                       smj.justiz.sachsen.de* 01067 Dresden Aktenzeichen (bitte bei Antwort angeben) 10408t41|6-KLR Dresden, Zt.    November2019 Kleine Anfrage des Abgeordneten Carsten Hütter (AfD) Drs.-Nr.: 71395 Thema: Juristische Folgen von Straftaten im Phänomenbereich ,,Poli- tisch motivierte Kriminalität -links-'n im ersten Halbjahr 2019 TOB                   MIT Sehr geehrter Herr Präsident, namens und im Auftrag der Sächsischen Staatsregierung beantworte ich die o Kleine Anfrage wie folgt: ry** l,t^,ìmr.toB-      M  tT-t.DE Frage      l: Hausanschrift: Zu wie vielen Verurteilungen (Art der Strafen und Strafmaß) aufgrund von                Sächslsches Staatsm¡nister¡um der Justiz Straftaten im Phänomenbereich,,Politisch motivierte Kriminalität              -linksl   Hospitalskaße 7 01097 Dresden kam es in Sachsen im ersten Halbjahr 2019? (Bitte aufschlüsseln nach Briefpost über Deutsche Post Tattag, Tatort, Tathergang, Straftatbestand, Anzahl der Tatverdächtigen                 01095 Dresden www.justiz. sachsen. de/smj sowie deren Geschlecht und einer Gesamtzahl) Verkehrsverblndung: Zu erreichen mit Zur Beantwortung der Frage 1 nehme ich auf die anliegende tabellarische                  ;:äi:i"ii"''* Übersicht (Anlage 1) Bezug                                                               Parken und behindeÍten- gerechter Zugang über Einfahrt Hospitalstraße 7 Ergänzend weise ich darauf hin, dass Verurteilungen aufgrund von Strafbefeh-             Hinweise zum Datonschutz erhalten Sie auf unserer lnternet- len sowie die gerichtlich festgestellten Tathergänge regelmäßig erst nach               seite. Auf Wunsch senden wir lhnen diese Hinweise auch zu. Rücklauf der Strafakten vom Gericht erfasst werden können. Zugang for elektronisch signierte sowie f0r verschlf¡sselte elsktronische Dokumenle nur per EGVP, beBPo oder De-Mail; nåhere lnformationen zur elêktronischen Kommunikation mit såchs¡schen Just¡zbehðrdon unter w.iust¡z.sachsen.de/Ë- Seite 1 von 3                                                                           Kommun¡kation.
1

STAATSI\4      STER'I U I\4   Freistaat U IN I DER JUSTIZ         SACHSEN ln der Übersicht sind daher auch diejenigen Verurteilungen dargestellt, deren Rechts- kraft erst nach Beantwortung der Kleinen Anfrage mit der Drs.-Nr. 6116310 bekannt geworden ist. lm ersten Halbjahr 2019 wurden - einschließlich der Nachmeldungen für das zweite Halbjahr 2018     - insgesamt 34 Personen aufgrund von Straftaten im Phänomenbereich ,,Pol itisch motivierte Krimi nal ität - lin ks" (rechtskräftig ) veru rtei lt. Frage     2= ln wie vielen Fällen wurden aus welchen Gründen im ersten Halbjahr 2019 Ermitt- lungen zu Straftaten im o.g. Phänomenbereich in Sachsen eingestellt? (Bitte auf- schlüsseln nach Tattag, Tatort, Tathergang, Straftatbestand und Anzahl der Tat- verdächtigen sowie deren Geschlecht und einer Gesamtzahl) Zur Beantwortung der Frage 2 nehme ich auf die anliegende tabellarische Übersicht (Anlage 2) Bezug. lm ersten Halbjahr 2019 wurden insgesamt 320 Ermittlungsverfahren zu Straftaten im Phänomenbereich,, Politisch motivierte Krim inalität          - l in ks" eingestellt. Die Teilfragen nach Tattag, Tatort, Straftatbestand, Anzahl der Tatverdächtigen sowie deren Geschlecht und den Einstellungsgründen konnten über eine Recherche in den Datenbanken der sächsischen Staatsanwaltschaften beantwortet werden. Hinsichtlich der erfragten Angaben zum jeweiligen Tathergang wird von einer Beant- wortung der Frage wegen des hierfür erforderlichen unverhältnismäßigen Aufruandes abgesehen. Zur vollständigen Beantwortung der Frage wäre eine händische Auswer- tung sämtlicher Papierakten zu den in der Anlage 2 aufgeführten 320 Vorgängen erfor- derlich. Dies wäre nur mit einem unverhältnismäßigen Auñrand möglich, der ohne den Verlust der Funktionsfähigkeit der Staatsanwaltschaften in der für die Beantwortung der Kleinen Anfrage zur Verfügung stehenden Frist nicht zu leisten wäre. Es wären umfangreiche und zeitauñryendige Recherchen in den Aktenbeständen der sächsischen Staatsanwaltschaften erforderlich. Dabei ist der Zeitaufwand für das Zie- Seite 2 von 3
2

STAATSMINISTERIUIVI DER JUSTIZ t      Freistaat SACHSEN hen der Akten aus den Geschäftsstellen und staatsanwaltschaftlichen Archiven, der Aufwand zur Beiziehung versendeter Akten, z.B. von Verteidigern, Gerichten, Sachver- ständigen und Polizei, das Auswerten der Akten und die schriftliche Dokumentation des gefundenen Ergebnisses zu berücksichtigen. Für die entsprechende Auswertung der Akten ist daher von einem Arbeitsaufr¡rand von durchschnittlich mindestens 30 Minuten je Akte auszugehen. Dies zugrunde gelegt, wird der bei den Staatsanwaltschaften für die händische Auswer- tung der Akten zu den in der Anlage 2 aufgeführten 320 Vorgängen anfallende zeitliche Aufwand auf mindestens 20 Arbeitstage für einen in Vollzeit tätigen Mitarbeiter ge- schätzt. Zu berücksichtigen ist darüber hinaus, dass bereits die Beantwortung der Klei- nen Anfrage in der vorliegenden Form mindestens drei Arbeitstage für einen Mitarbeiter in Anspruch genommen hat. Für die vollständige Beantwortung der Kleinen Anfrage wäre daher insgesamt ein Arbeitsaufrrand von mindestens 23 Arbeitstagen für einen in Vollzeit tätigen Mitarbeiter erforderlich. Auch unter Berücksichtigung des hohen Rangs des parlamentarischen Fragerechts erscheint der zur vollständigen Beantwortung der Frage erforderliche Auñ,vand nicht mehr verhältnismäßig und zumutbar. Eine Beantwortung der Frage würde in erhebli- chem Umfang eine größere Anzahl von Bediensteten in sächsischen Staatsanwalt- schaften, die für laufende Arbeiten nicht mehr zur Verfügung stünden, binden. Mit freundlichen Gri.ißen Sebastian Gemkow Anlagen 2 Tabellarische Übersichten Seite 3 von 3
3

Anlage 1, Drs.-Nr. 7/395 Phänomenbereich "Politisch motivierte Kriminalität – links" Tattag        Tatort             Tathergang (Kurzsachverhalt)                                      Tatvorwurf                        Strafvorschrift       Anzahl der       Art der Strafe und Strafmaß Verurteilten und Geschlecht Verurteilungen 2. Halbjahr 2018 (Nachmeldungen ) 21.10.2017 Chemnitz              Abbrennen eines Müllbehälters vor dem Parteibüro der Partei       Schwere Brandstiftung             § 306a StGB           1 (m)            Freiheitsstrafe in Höhe von 1 Jahr 3 Monate, „AfD".                                                                                                                                     Vollstreckung ausgesetzt zur Bewährung 27.08.2016, Roßwein              Besprühen eines PKWs und eines Supermarktes mit den               Sachbeschädigung                  § 303 Abs. 1 StGB     3 (m)             2 x Jugendarrest in Höhe von 1 Woche 02.12.2016                       Worten „FcK NZS".                                                                                                                           1 x Geldstrafe in Höhe von 50 Tagessätzen 08.10.2017    Chemnitz           Unbefugtes Betreten des Heizkraftwerkes Chemnitz-Nord.            Hausfriedensbruch                 § 123 StGB            2 (m)            1 x Freiheitsstrafe in Höhe von 5 Monaten, Vollstreckung ausgesetzt zur Bewährung 1 x Freiheitsstrafe in Höhe von 4 Monaten, Vollstreckung ausgesetzt zur Bewährung Verurteilungen 1. Halbjahr 2019 01.09.2018 Chemnitz              Widersetzen einer polizeilich angeordneten                        Widerstand gegen                  § 113 StGB            1 (m)            Geldstrafe in Höhe von 35 Tagessätzen Massenidentitätsfeststellung im Rahmen einer                      Vollstreckungsbeamte Gegendemonstration gegen eine Versammlung der „AfD" und „Pro Chemnitz". 29.04.2019 Chemnitz              Beschädigung von zwei Wahlplakaten der Bürgervereinigung          Sachbeschädigung                  § 303 Abs. 1 StGB     1 (m)            Geldstrafe in Höhe von 60 Tagessätzen „Pro Chemnitz". 01.09.2018 Chemnitz              Steinewerfen auf Polizeibeamte im Rahmen einer                    Gefährliche Körperverletzung      § 224 StGB            1 (m)            Geldstrafe in Höhe von 120 Tagessätzen Gegendemonstration gegen eine Versammlung der „AfD" und „Pro Chemnitz". 27.08.2018 Dresden               Mitsichführen von Schusswaffen im Hauptbahnhof in Dresden         Verstoß gegen § 28 SächsVersG     § 28 Abs. 2 Nr.1      1 (m)            Geldstrafe in Höhe von 50 Tagessätzen auf dem Weg zu einer Versammlung politisch links orientierter                                       SächsVersG Gruppen in Chemnitz. 01.10.2018 Dresden               Festhalten am Sitznachbarn bei einer nicht genehmigten            Widerstand gegen                  § 113 StGB            1 (m)            Geldstrafe in Höhe von 30 Tagessätzen Sitzblockade auf der Prager Straße in Dresden bei Ausübung        Vollstreckungsbeamte unmittelbaren Zwangs durch Polizeibeamte zur Auflösung einer Blockade. 03.11.2018 Ostritz               Der Verurteilte nahm an einer Versammlung teil und verdeckte      Verstoß gegen das                 § 28 Abs. 2 Nr. 2     1 (m)            Geldstrafe in Höhe von 15 Tagessätzen dabei mittels eines Schlauchschals seinen Mund und die            Vermummungsverbot                 SächsVersG komplette Nasenpartie. 28.07.2017 Görlitz               Der Verurteilte verließ trotz mehrfacher Aufforderung durch       Hausfriedensbruch                 § 123 StGB            1 (m)            Geldstrafe in Höhe von 20 Tagessätzen den Berechtigten nicht die Räumlichkeiten des Jobcenters Görlitz. 26.03.2017 Bischofswerda         Kurz nach Anpfiff eines Fußballspiels wurde aus einem             Landfriedensbruch,                §§ 125 Abs. 1 Nr. 1,  1 (m)            Geldstrafe in Höhe von 90 Tagessätzen Fanblock Pyrotechnik gezündet und in den Stadioninnenraum         Sachbeschädigung, Beleidigung und 185, 194, 303 Abs. 1, geworfen. Der Verurteilte, der sein Gesicht verhüllt hatte, riss, Verstoß gegen das Sächsische      303c StGB, § 28 gemeinsam mit anderen Personen, die erste von zwei Reihen         Versammlungsgesetz                Abs. 2 Nr. 1 aufgestellter Absperrzäune nieder und beschädigte diese. Der                                        SächsVersG Verurteilte wollte in das Stadioninnere gelangen. Eingesetzten Polizeibeamten zeigte er den sogenannten „Stinkefinger". 26.03.2017    Bischofswerda      Kurz nach Anpfiff eines Fußballspiels wurde aus einem             Landfriedensbruch und             §§ 125 Abs. 1 Nr. 1,  1 (m)            Geldstrafe in Höhe von 70 Tagessätzen Fanblock Pyrotechnik gezündet und in den Stadioninnenraum Sachbeschädigung                          303 Abs. 1, 303c geworfen. Der Verurteilte riss einen Absperrzaun nieder und                                         StGB beschädigte diesen. Der Verurteilte wollte in das Stadioninnere gelangen. 1 von 3
4

Anlage 1, Drs.-Nr. 7/395 Phänomenbereich "Politisch motivierte Kriminalität – links" Tattag        Tatort          Tathergang (Kurzsachverhalt)                                   Tatvorwurf                         Strafvorschrift      Anzahl der       Art der Strafe und Strafmaß Verurteilten und Geschlecht 26.03.2017    Bischofswerda   Kurz nach Anpfiff eines Fußballspiels wurde aus einem          Landfriedensbruch                  § 125 Abs. 1 Nr. 1   1 (m)            Geldstrafe in Höhe von 90 Tagessätzen Fanblock Pyrotechnik gezündet und in den Stadioninnenraum                                         StGB geworfen. Der Verurteilte riss einen Absperrzaun nieder, um in das Stadioninnere zu gelangen. 05.12.2015    Leipzig         Die Verurteilten verschafften sich zusammen mit anderen        Hausfriedensbruch                  § 123 StGB           1 (m)            1 x Geldstrafe in Höhe von 30 Tagessätzen Personen gegen den Willen des Berechtigten den Zutritt zu                                                              2 (w)            1 x Geldstrafe in Höhe von 20 Tagessätzen einem Grundstück, um dort einen Wagenplatz zu errichten.                                                                                1 x Geldstrafe in Höhe von 110 Tagessätzen Die Räumung des Geländes erfolgte am 9.12.2015 durch die Polizei. 26.05.2019    Leipzig         Der Verurteilte riss ein mit einem Kabelbinder an einem Mast   Sachbeschädigung                   § 303 Abs. 1 StGB    1 (m)            Geldstrafe in Höhe von 10 Tagessätzen befestigtes Wahlplakat der „AfD" herunter, so dass dieses beschädigte wurde. 01.01.2018    Leipzig         Der Verurteilte warf nacheinander vier Flaschen gegen einen    (Versuchte) Sachbeschädigung       § 303 Abs. 1, Abs. 3 1 (m)            Geldstrafe in Höhe von 160 Tagessätzen Wasserwerfer der Polizei, um diesen zu beschädigen. Ob es                                         StGB tatsächlich zu Schäden kam, konnte nicht festgestellt werden. 01.01.2018    Leipzig         Der Verurteilte warf zunächst eine Flasche in Richtung eines   (Versuchte) Sachbeschädigung,      §§ 113, 303 Abs. 1,  1 (m)            Geldstrafe in Höhe von 80 Tagessätzen Wasserwerfers der Polizei, um diesen zu beschädigen. Ob es     Widerstand gegen                   Abs. 3 StGB, § 27 zu einer Beschädigung kam, konnte nicht festgestellt werden.   Vollstreckungsbeamte und Verstoß   Abs. 1 SprengG Im Rahmen der nachfolgenden Maßnahmen zur Feststellung         gegen das Sprengstoffgesetz seiner Identität leistete der Angeklagte den Beamten Widerstand. Dabei führte er zwei Knallkörper mit sich, ohne im Besitz der hierzu erforderlichen Erlaubnis zu sein. 06.10.2018    Leipzig         Der Verurteilte brachte an einem Wohnhaus und einer Garage     Sachbeschädigung und Widerstand    §§ 303 Abs. 2, 113   1 (m)            Geldstrafe in Höhe von 65 Tagessätzen Graffiti an. Im Rahmen der nachfolgenden Maßnahmen zur         gegen Vollstreckungsbeamte         StGB Feststellung der Identität leistete der Verurteilte den Polizeibeamten Widerstand. 12.12.2015    Leipzig         Der vermummte Verurteilte warf aus einer gewalttätigen         Besonders schwerer Fall des        §§ 125a S. 2 Nr. 2,  1 (m)            Freiheitsstrafe in Höhe von 1 Jahr 6 Monaten, Menschenmenge heraus, die einen eingesetzten                   Landfriedensbruchs und versuchte   224 Abs. 1 Nr. 2                      Vollstreckung ausgesetzt zur Bewährung Wasserwerfer sowie Polizeibeamte mit Pflastersteinen bewarf,   gefährliche Körperverletzung       und 4, 22, 23 StGB mindestens zwei Pflastersteine in Richtung eines eingesetzten Wasserwerfers der Polizei und der eingesetzten Polizeibeamten. Ob durch die Würfe des Verurteilten oder anderer unbekannt gebliebener Personen aus der gewalttätigen Menge um diesen herum Polizeibeamte verletzt wurden, konnte nicht festgestellt werden. 06.05.2018    Leipzig         Der Verurteilte brachte an einem S-Bahn-Haltepunkt mittels     Sachbeschädigung (Veränderung      § 303 Abs. 2 StGB    1 (m)            Geldstrafe in Höhe von 45 Tagessätzen Farbspray zwei Schriftzüge an.                                 Erscheinungsbild) 07.07.2017    Leipzig         Der Verurteilte kommentierte zustimmend auf Facebook ein       Belohnung/Billigung von Straftaten § 140 Nr. 2 StGB     1 (m)            Geldstrafe in Höhe von 50 Tagessätzen Video mit brennenden Fahrzeugen vom G-20 Gipfel in Hamburg. 09.05.2019    Leipzig         Der Verurteilte riss insgesamt vier mit Kabelbindern an        Sachbeschädigung                   § 303 Abs. 1 StGB    1 (m)            Geldstrafe in Höhe von 10 Tagessätzen Laternenmasten befestigte Wahlplakate der „AfD" herunter, so dass diese zerstört bzw. beschädigt wurden. 2 von 3
5

Anlage 1, Drs.-Nr. 7/395 Phänomenbereich "Politisch motivierte Kriminalität – links" Tattag        Tatort          Tathergang (Kurzsachverhalt)                                 Tatvorwurf                         Strafvorschrift        Anzahl der       Art der Strafe und Strafmaß Verurteilten und Geschlecht 17.06.2018    Leipzig         Der Verurteilte betrat mit weiteren vermummten Personen      Körperverletzung, Beleidigung und  §§ 223, 123, 185       1 (m)            Geldstrafe in Höhe von 50 Tagessätzen entgegen dem Willen des Hausrechtsinhabers ein               Hausfriedensbruch                  StGB Studentenwohnheim. Dort wurden aus dieser Gruppe heraus Gegenstände auf die dort anwesenden Personen geworfen, wodurch eine Person leicht verletzt wurde. Zudem beleidigten sie durch ihre Handlungen die dort anwesenden Personen. 20.05.2017    Leipzig         Der Verurteilte brachte zusammen mit einer unbekannt         Gemeinschaftliche                  §§ 303 Abs. 2, 25      1 (m)            Geldstrafe in Höhe von 40 Tagessätzen gebliebenen Person an der Mauer eines Friedhofs              Sachbeschädigung (Veränderung      Abs. 2 StGB verschiedenfarbige Schriftzüge an. Zwei weitere ebenfalls    Erscheinungsbild) unbekannt gebliebene Personen sicherten die Tat durch Schmiere stehen ab. 12.12.2015    Leipzig         Der vermummte Verurteilte warf aus einer gewalttätigen       Besonders schwerer Fall des        §§ 125a S. 2 Nr. 2     1 (m)            Auflage zur Ableistung von 100 Stunden Menschenmenge heraus, die Steine, Flaschen und               Landfriedensbruchs und gefährliche und 4, 224 Abs. 1                       gemeinnütziger Arbeit Feuerwerkskörper in Richtung der eingesetzten                Körperverletzung                   Nr. 2 und 4, 25 Abs. 2 Polizeibeamten warf, ebenfalls mindestens einen Stein in                                        StGB Richtung der eingesetzten Polizeibeamten. Ob durch den Wurf des Verurteilten ein Polizeibeamter verletzt wurde, konnte nicht geklärt werden. Durch die Würfe aus der Gruppe des Verurteilten heraus wurden zwei Polizeibeamte verletzt. 01.05.2018    Chemnitz        Der Verurteilte versuchte polizeiliche Maßnahmen der         Widerstand gegen                   § 113 StGB             1 (m)            Geldstrafe in Höhe von 30 Tagessätzen Identitätsfeststellung gegenüber einer anderen Person zu     Vollstreckungsbeamte verhindern und leistete Widerstand gegenüber den handelnden Polizeibeamten. 01.05.2019    Plauen          Teilnahme an einer genehmigten Spontandemonstration          Verstoß gegen § 28 SächsVersG      § 28 Abs. 2 Nr. 2      1 (m) gegen Aufzug des „III. Weg" mit Gesichtsvermummung                                              SächsVersG                              Geldstrafe in Höhe von 15 Tagessätzen 01.05.2019    Plauen          Teilnahme an einer genehmigten Spontandemonstration          Verstoß gegen § 28 SächsVersG      § 28 Abs. 2 Nr. 2      1 (m) gegen Aufzug des „III. Weg" mit Gesichtsvermummung                                              SächsVersG                              Geldstrafe in Höhe von 15 Tagessätzen 01.05.2019    Plauen          Teilnahme an einer genehmigten Spontandemonstration          Verstoß gegen § 28 SächsVersG      § 28 Abs. 2 Nr. 2      1 (m) gegen Aufzug des „III. Weg" mit Gesichtsvermummung                                              SächsVersG                              Geldstrafe in Höhe von 15 Tagessätzen 3 von 3
6

Anlage 2, Drs.-Nr. 7/395 Einstellungen Phänomenbereich "Politisch motivierte Kriminalität – links" Tattag            Tatort           Tatvorwurf                             Strafvorschrift           Anzahl der Tatverdächtigen und Einstellungsgründe Geschlecht 01.01.2019        Unbekannt        Beleidigung                            § 185 StGB                Verfahren gegen Unbekannt      Einstellung gemäß § 170 Abs. 2 StPO, weil kein Täter ermittelt 27.08.2018        Chemnitz         Diebstahl                              § 242 StGB                Verfahren gegen Unbekannt      Einstellung gemäß § 170 Abs. 2 StPO, weil kein Täter ermittelt 01.09.2018        Chemnitz         Besonders schwerer Fall des            § 125a StGB               Verfahren gegen Unbekannt      Einstellung gemäß § 170 Abs. 2 StPO, weil kein Täter ermittelt Landfriedensbruchs 01.05.2018        Lugau            Sachbeschädigung                       § 303 StGB                Verfahren gegen Unbekannt      Einstellung gemäß § 170 Abs. 2 StPO, weil kein Täter ermittelt 01.09.2018        Chemnitz         Sachbeschädigung                       § 303 StGB                Verfahren gegen Unbekannt      Einstellung gemäß § 170 Abs. 2 StPO, weil kein Täter ermittelt 27.09.2018        Mittweida        Verwendund von Kennzeichen             § 86a StGB                Verfahren gegen Unbekannt      Einstellung gemäß § 170 Abs. 2 StPO, weil kein Täter ermittelt verfassungswidriger Organisationen 16.11.2018        Mittweida        Sachbeschädigung                       § 303 StGB                Verfahren gegen Unbekannt      Einstellung gemäß § 170 Abs. 2 StPO, weil kein Täter ermittelt 13.09.2018        Freiberg         Sachbeschädigung                       § 303 StGB                Verfahren gegen Unbekannt      Einstellung gemäß § 170 Abs. 2 StPO, weil kein Täter ermittelt 01.09.2018        Chemnitz         Sachbeschädigung                       § 303 StGB                Verfahren gegen Unbekannt      Einstellung gemäß § 170 Abs. 2 StPO, weil kein Täter ermittelt 01.09.2018        Chemnitz         Körperverletzung                       § 223 StGB                Verfahren gegen Unbekannt      Einstellung gemäß § 170 Abs. 2 StPO, weil kein Täter ermittelt 18.03.2019        Chemnitz         Vortäuschen einer Straftat             § 145d StGB               Verfahren gegen Unbekannt      Einstellung gemäß § 170 Abs. 2 StPO, weil kein Täter ermittelt 01.09.2018        Chemnitz         Landfriedensbruch                      § 125 StGB                Verfahren gegen Unbekannt      Einstellung gemäß § 170 Abs. 2 StPO, weil kein Täter ermittelt 05.05.2019        Chemnitz         Diebstahl                              § 242 StGB                Verfahren gegen Unbekannt      Einstellung gemäß § 170 Abs. 2 StPO, weil kein Täter ermittelt 26.04.2019        Chemnitz         Diebstahl                              § 242 StGB                Verfahren gegen Unbekannt      Einstellung gemäß § 170 Abs. 2 StPO, weil kein Täter ermittelt 30.04.2019        Augustusburg     Diebstahl                              § 242 StGB                Verfahren gegen Unbekannt      Einstellung gemäß § 170 Abs. 2 StPO, weil kein Täter ermittelt 04.05.2019        Oelsnitz         Diebstahl                              § 242 StGB                Verfahren gegen Unbekannt      Einstellung gemäß § 170 Abs. 2 StPO, weil kein Täter ermittelt 26.04.2019        Niederwürschnitz Sachbeschädigung                       § 303 StGB                Verfahren gegen Unbekannt      Einstellung gemäß § 170 Abs. 2 StPO, weil kein Täter ermittelt 18.04.2019        Chemnitz         Diebstahl                              § 242 StGB                Verfahren gegen Unbekannt      Einstellung gemäß § 170 Abs. 2 StPO, weil kein Täter ermittelt 17.04.2019        Chemnitz         Sachbeschädigung                       § 303 StGB                Verfahren gegen Unbekannt      Einstellung gemäß § 170 Abs. 2 StPO, weil kein Täter ermittelt 22.08.2018        Lunzenau         Sachbeschädigung                       § 303 StGB                Verfahren gegen Unbekannt      Einstellung gemäß § 170 Abs. 2 StPO, weil kein Täter ermittelt 07.04.2018        Unbekannt        Öffentliche Aufforderung zu Straftaten § 111 Abs. 2 StGB         Verfahren gegen Unbekannt      Einstellung gemäß § 170 Abs. 2 StPO, weil kein Täter ermittelt 17.09.2018        Radebeul         Nötigung                               § 240 StGB                Verfahren gegen Unbekannt      Einstellung gemäß § 170 Abs. 2 StPO, weil kein Täter ermittelt 23.01.2019        Dresden          Öffentliche Aufforderung zu Straftaten § 111 Abs. 2 StGB         Verfahren gegen Unbekannt      Einstellung gemäß § 170 Abs. 2 StPO, weil kein Täter ermittelt 15.11.2018        Dresden          Sachbeschädigung                       § 303 StGB                Verfahren gegen Unbekannt      Einstellung gemäß § 170 Abs. 2 StPO, weil kein Täter ermittelt 12.01.2019        Riesa            Körperverletzung                       § 223 StGB                Verfahren gegen Unbekannt      Einstellung gemäß § 170 Abs. 2 StPO, weil kein Täter ermittelt 17.09.2018        Radebeul         Nötigung                               § 240 StGB                Verfahren gegen Unbekannt      Einstellung gemäß § 170 Abs. 2 StPO, weil kein Täter ermittelt 01.09.2018        Dresden          Verstoß gegen § 28 SächsVersG          § 28 Abs. 1               1 (m)                          Einstellung gemäß § 170 Abs. 2 StPO, weil Tatbestand, SächsVersG                                               Rechtswidrigkeit oder Schuld nicht nachweisbar 15.02.2019        Dresden          Besonders schwerer Fall des            § 125a StGB               1 (m)                          Einstellung gemäß § 170 Abs. 2 StPO, weil Tatbestand, Landfriedensbruchs                                                                              Rechtswidrigkeit oder Schuld nicht nachweisbar 18.05.2017        Dresden          Brandstiftung                          § 306 StGB                Verfahren gegen Unbekannt      Einstellung gemäß § 170 Abs. 2 StPO, weil kein Täter ermittelt 22.08.2018        Dresden          Sachbeschädigung                       § 303 StGB                Verfahren gegen Unbekannt      Einstellung gemäß § 170 Abs. 2 StPO, weil kein Täter ermittelt 01.01.2019        Dresden          Öffentliche Aufforderung zu Straftaten § 111 Abs. 2 StGB         Verfahren gegen Unbekannt      Einstellung gemäß § 170 Abs. 2 StPO, weil kein Täter ermittelt 22.08.2018        Dresden          Sachbeschädigung                       § 303 StGB                Verfahren gegen Unbekannt      Einstellung gemäß § 170 Abs. 2 StPO, weil kein Täter ermittelt 22.08.2018        Dresden          Sachbeschädigung                       § 303 StGB                Verfahren gegen Unbekannt      Einstellung gemäß § 170 Abs. 2 StPO, weil kein Täter ermittelt 22.08.2018        Dresden          Sachbeschädigung                       § 303 StGB                Verfahren gegen Unbekannt      Einstellung gemäß § 170 Abs. 2 StPO, weil kein Täter ermittelt 23.08.2018        Dresden          Sachbeschädigung                       § 303 StGB                Verfahren gegen Unbekannt      Einstellung gemäß § 170 Abs. 2 StPO, weil kein Täter ermittelt 22.08.2018        Dresden          Sachbeschädigung                       § 303 StGB                Verfahren gegen Unbekannt      Einstellung gemäß § 170 Abs. 2 StPO, weil kein Täter ermittelt 08.09.2018        Freital          Bedrohung                              § 241 StGB                Verfahren gegen Unbekannt      Einstellung gemäß § 170 Abs. 2 StPO, weil kein Täter ermittelt 14.04.2018        Dresden          Sachbeschädigung                       § 303 StGB                Verfahren gegen Unbekannt      Einstellung gemäß § 170 Abs. 2 StPO, weil kein Täter ermittelt 15.02.2019        Dresden          Verstoß gegen § 28 SächsVersG          § 28 Abs. 2 Nr. 2         1 (w)                          Einstellung gemäß § 170 Abs. 2 StPO, angezeigtes Verhalten SächsVersG                                               erfüllt keinen Straftatbestand 15.02.2019        Dresden          Beleidigung                            § 185 StGB                1 (m)                          Einstellung gemäß § 170 Abs. 2 StPO, Verfahrenshindernis 1 von 8
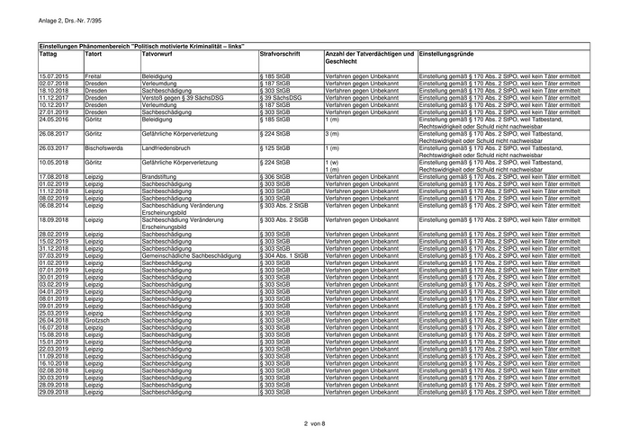
7

Anlage 2, Drs.-Nr. 7/395 Einstellungen Phänomenbereich "Politisch motivierte Kriminalität – links" Tattag            Tatort         Tatvorwurf                               Strafvorschrift         Anzahl der Tatverdächtigen und Einstellungsgründe Geschlecht 15.07.2015        Freital        Beleidigung                              § 185 StGB              Verfahren gegen Unbekannt      Einstellung gemäß § 170 Abs. 2 StPO, weil kein Täter ermittelt 02.07.2018        Dresden        Verleumdung                              § 187 StGB              Verfahren gegen Unbekannt      Einstellung gemäß § 170 Abs. 2 StPO, weil kein Täter ermittelt 18.10.2018        Dresden        Sachbeschädigung                         § 303 StGB              Verfahren gegen Unbekannt      Einstellung gemäß § 170 Abs. 2 StPO, weil kein Täter ermittelt 11.12.2017        Dresden        Verstoß gegen § 39 SächsDSG              § 39 SächsDSG           Verfahren gegen Unbekannt      Einstellung gemäß § 170 Abs. 2 StPO, weil kein Täter ermittelt 10.12.2017        Dresden        Verleumdung                              § 187 StGB              Verfahren gegen Unbekannt      Einstellung gemäß § 170 Abs. 2 StPO, weil kein Täter ermittelt 27.01.2019        Dresden        Sachbeschädigung                         § 303 StGB              Verfahren gegen Unbekannt      Einstellung gemäß § 170 Abs. 2 StPO, weil kein Täter ermittelt 24.05.2016        Görlitz        Beleidigung                              § 185 StGB              1 (m)                          Einstellung gemäß § 170 Abs. 2 StPO, weil Tatbestand, Rechtswidrigkeit oder Schuld nicht nachweisbar 26.08.2017        Görlitz        Gefährliche Körperverletzung             § 224 StGB              3 (m)                          Einstellung gemäß § 170 Abs. 2 StPO, weil Tatbestand, Rechtswidrigkeit oder Schuld nicht nachweisbar 26.03.2017        Bischofswerda  Landfriedensbruch                        § 125 StGB              1 (m)                          Einstellung gemäß § 170 Abs. 2 StPO, weil Tatbestand, Rechtswidrigkeit oder Schuld nicht nachweisbar 10.05.2018        Görlitz        Gefährliche Körperverletzung             § 224 StGB              1 (w)                          Einstellung gemäß § 170 Abs. 2 StPO, weil Tatbestand, 1 (m)                          Rechtswidrigkeit oder Schuld nicht nachweisbar 17.08.2018        Leipzig        Brandstiftung                            § 306 StGB              Verfahren gegen Unbekannt      Einstellung gemäß § 170 Abs. 2 StPO, weil kein Täter ermittelt 01.02.2019        Leipzig        Sachbeschädigung                         § 303 StGB              Verfahren gegen Unbekannt      Einstellung gemäß § 170 Abs. 2 StPO, weil kein Täter ermittelt 11.12.2018        Leipzig        Sachbeschädigung                         § 303 StGB              Verfahren gegen Unbekannt      Einstellung gemäß § 170 Abs. 2 StPO, weil kein Täter ermittelt 08.02.2019        Leipzig        Sachbeschädigung                         § 303 StGB              Verfahren gegen Unbekannt      Einstellung gemäß § 170 Abs. 2 StPO, weil kein Täter ermittelt 06.08.2014        Leipzig        Sachbeschädiung Veränderung              § 303 Abs. 2 StGB       Verfahren gegen Unbekannt      Einstellung gemäß § 170 Abs. 2 StPO, weil kein Täter ermittelt Erscheinungsbild 18.09.2018        Leipzig        Sachbeschädiung Veränderung              § 303 Abs. 2 StGB       Verfahren gegen Unbekannt      Einstellung gemäß § 170 Abs. 2 StPO, weil kein Täter ermittelt Erscheinungsbild 28.02.2019        Leipzig        Sachbeschädigung                         § 303 StGB              Verfahren gegen Unbekannt      Einstellung gemäß § 170 Abs. 2 StPO, weil kein Täter ermittelt 15.02.2019        Leipzig        Sachbeschädigung                         § 303 StGB              Verfahren gegen Unbekannt      Einstellung gemäß § 170 Abs. 2 StPO, weil kein Täter ermittelt 31.12.2018        Leipzig        Sachbeschädigung                         § 303 StGB              Verfahren gegen Unbekannt      Einstellung gemäß § 170 Abs. 2 StPO, weil kein Täter ermittelt 07.03.2019        Leipzig        Gemeinschädliche Sachbeschädigung        § 304 Abs. 1 StGB       Verfahren gegen Unbekannt      Einstellung gemäß § 170 Abs. 2 StPO, weil kein Täter ermittelt 01.02.2019        Leipzig        Sachbeschädigung                         § 303 StGB              Verfahren gegen Unbekannt      Einstellung gemäß § 170 Abs. 2 StPO, weil kein Täter ermittelt 07.01.2019        Leipzig        Sachbeschädigung                         § 303 StGB              Verfahren gegen Unbekannt      Einstellung gemäß § 170 Abs. 2 StPO, weil kein Täter ermittelt 30.01.2019        Leipzig        Sachbeschädigung                         § 303 StGB              Verfahren gegen Unbekannt      Einstellung gemäß § 170 Abs. 2 StPO, weil kein Täter ermittelt 03.02.2019        Leipzig        Sachbeschädigung                         § 303 StGB              Verfahren gegen Unbekannt      Einstellung gemäß § 170 Abs. 2 StPO, weil kein Täter ermittelt 04.01.2019        Leipzig        Sachbeschädigung                         § 303 StGB              Verfahren gegen Unbekannt      Einstellung gemäß § 170 Abs. 2 StPO, weil kein Täter ermittelt 08.01.2019        Leipzig        Sachbeschädigung                         § 303 StGB              Verfahren gegen Unbekannt      Einstellung gemäß § 170 Abs. 2 StPO, weil kein Täter ermittelt 09.01.2019        Leipzig        Sachbeschädigung                         § 303 StGB              Verfahren gegen Unbekannt      Einstellung gemäß § 170 Abs. 2 StPO, weil kein Täter ermittelt 25.03.2019        Leipzig        Sachbeschädigung                         § 303 StGB              Verfahren gegen Unbekannt      Einstellung gemäß § 170 Abs. 2 StPO, weil kein Täter ermittelt 26.04.2018        Groitzsch      Sachbeschädigung                         § 303 StGB              Verfahren gegen Unbekannt      Einstellung gemäß § 170 Abs. 2 StPO, weil kein Täter ermittelt 16.07.2018        Leipzig        Sachbeschädigung                         § 303 StGB              Verfahren gegen Unbekannt      Einstellung gemäß § 170 Abs. 2 StPO, weil kein Täter ermittelt 15.08.2018        Leipzig        Sachbeschädigung                         § 303 StGB              Verfahren gegen Unbekannt      Einstellung gemäß § 170 Abs. 2 StPO, weil kein Täter ermittelt 15.01.2019        Leipzig        Sachbeschädigung                         § 303 StGB              Verfahren gegen Unbekannt      Einstellung gemäß § 170 Abs. 2 StPO, weil kein Täter ermittelt 22.03.2019        Leipzig        Sachbeschädigung                         § 303 StGB              Verfahren gegen Unbekannt      Einstellung gemäß § 170 Abs. 2 StPO, weil kein Täter ermittelt 11.09.2018        Leipzig        Sachbeschädigung                         § 303 StGB              Verfahren gegen Unbekannt      Einstellung gemäß § 170 Abs. 2 StPO, weil kein Täter ermittelt 16.10.2018        Leipzig        Sachbeschädigung                         § 303 StGB              Verfahren gegen Unbekannt      Einstellung gemäß § 170 Abs. 2 StPO, weil kein Täter ermittelt 02.08.2018        Leipzig        Sachbeschädigung                         § 303 StGB              Verfahren gegen Unbekannt      Einstellung gemäß § 170 Abs. 2 StPO, weil kein Täter ermittelt 30.03.2019        Leipzig        Sachbeschädigung                         § 303 StGB              Verfahren gegen Unbekannt      Einstellung gemäß § 170 Abs. 2 StPO, weil kein Täter ermittelt 28.09.2018        Leipzig        Sachbeschädigung                         § 303 StGB              Verfahren gegen Unbekannt      Einstellung gemäß § 170 Abs. 2 StPO, weil kein Täter ermittelt 29.09.2018        Leipzig        Sachbeschädigung                         § 303 StGB              Verfahren gegen Unbekannt      Einstellung gemäß § 170 Abs. 2 StPO, weil kein Täter ermittelt 2 von 8
8

Anlage 2, Drs.-Nr. 7/395 Einstellungen Phänomenbereich "Politisch motivierte Kriminalität – links" Tattag            Tatort         Tatvorwurf                               Strafvorschrift         Anzahl der Tatverdächtigen und Einstellungsgründe Geschlecht 28.07.2018        Leipzig        Sachbeschädigung                         § 303 StGB              Verfahren gegen Unbekannt      Einstellung gemäß § 170 Abs. 2 StPO, weil kein Täter ermittelt 17.07.2017        Leipzig        Sachbeschädigung                         § 303 StGB              Verfahren gegen Unbekannt      Einstellung gemäß § 170 Abs. 2 StPO, weil kein Täter ermittelt 04.03.2019        Leipzig        Sachbeschädigung                         § 303 StGB              Verfahren gegen Unbekannt      Einstellung gemäß § 170 Abs. 2 StPO, weil kein Täter ermittelt 28.03.2019        Leipzig        Sachbeschädigung                         § 303 StGB              Verfahren gegen Unbekannt      Einstellung gemäß § 170 Abs. 2 StPO, weil kein Täter ermittelt 20.04.2019        Pegau          Sachbeschädigung                         § 303 StGB              Verfahren gegen Unbekannt      Einstellung gemäß § 170 Abs. 2 StPO, weil kein Täter ermittelt 12.10.2018        Leipzig        Sachbeschädigung                         § 303 StGB              Verfahren gegen Unbekannt      Einstellung gemäß § 170 Abs. 2 StPO, weil kein Täter ermittelt 13.09.2018        Leipzig        Sachbeschädigung                         § 303 StGB              Verfahren gegen Unbekannt      Einstellung gemäß § 170 Abs. 2 StPO, weil kein Täter ermittelt 31.08.2018        Leipzig        Sachbeschädigung                         § 303 StGB              Verfahren gegen Unbekannt      Einstellung gemäß § 170 Abs. 2 StPO, weil kein Täter ermittelt 09.11.2018        Leipzig        Sachbeschädigung                         § 303 StGB              Verfahren gegen Unbekannt      Einstellung gemäß § 170 Abs. 2 StPO, weil kein Täter ermittelt 22.10.2018        Leipzig        Sachbeschädigung                         § 303 StGB              Verfahren gegen Unbekannt      Einstellung gemäß § 170 Abs. 2 StPO, weil kein Täter ermittelt 30.12.2018        Leipzig        Sachbeschädigung                         § 303 StGB              Verfahren gegen Unbekannt      Einstellung gemäß § 170 Abs. 2 StPO, weil kein Täter ermittelt 14.12.2018        Leipzig        Sachbeschädigung                         § 303 StGB              Verfahren gegen Unbekannt      Einstellung gemäß § 170 Abs. 2 StPO, weil kein Täter ermittelt 04.11.2018        Leipzig        Sachbeschädigung                         § 303 StGB              Verfahren gegen Unbekannt      Einstellung gemäß § 170 Abs. 2 StPO, weil kein Täter ermittelt 30.11.2018        Leipzig        Sachbeschädigung                         § 303 StGB              Verfahren gegen Unbekannt      Einstellung gemäß § 170 Abs. 2 StPO, weil kein Täter ermittelt 16.10.2018        Leipzig        Sachbeschädigung                         § 303 StGB              Verfahren gegen Unbekannt      Einstellung gemäß § 170 Abs. 2 StPO, weil kein Täter ermittelt 08.01.2019        Leipzig        Sachbeschädigung                         § 303 StGB              Verfahren gegen Unbekannt      Einstellung gemäß § 170 Abs. 2 StPO, weil kein Täter ermittelt 01.09.2018        Leipzig        Sachbeschädigung                         § 303 StGB              Verfahren gegen Unbekannt      Einstellung gemäß § 170 Abs. 2 StPO, weil kein Täter ermittelt 08.11.2018        Leipzig        Sachbeschädigung                         § 303 StGB              Verfahren gegen Unbekannt      Einstellung gemäß § 170 Abs. 2 StPO, weil kein Täter ermittelt 11.01.2019        Leipzig        Sachbeschädigung                         § 303 StGB              Verfahren gegen Unbekannt      Einstellung gemäß § 170 Abs. 2 StPO, weil kein Täter ermittelt 28.08.2018        Leipzig        Sachbeschädigung                         § 303 StGB              Verfahren gegen Unbekannt      Einstellung gemäß § 170 Abs. 2 StPO, weil kein Täter ermittelt 18.01.2019        Leipzig        Sachbeschädigung                         § 303 StGB              Verfahren gegen Unbekannt      Einstellung gemäß § 170 Abs. 2 StPO, weil kein Täter ermittelt 23.11.2018        Leipzig        Sachbeschädigung                         § 303 StGB              Verfahren gegen Unbekannt      Einstellung gemäß § 170 Abs. 2 StPO, weil kein Täter ermittelt 18.11.2018        Leipzig        Sachbeschädigung                         § 303 StGB              Verfahren gegen Unbekannt      Einstellung gemäß § 170 Abs. 2 StPO, weil kein Täter ermittelt 10.08.2018        Leipzig        Sachbeschädigung                         § 303 StGB              Verfahren gegen Unbekannt      Einstellung gemäß § 170 Abs. 2 StPO, weil kein Täter ermittelt 21.12.2018        Leipzig        Sachbeschädigung                         § 303 StGB              Verfahren gegen Unbekannt      Einstellung gemäß § 170 Abs. 2 StPO, weil kein Täter ermittelt 10.11.2018        Leipzig        Sachbeschädigung                         § 303 StGB              Verfahren gegen Unbekannt      Einstellung gemäß § 170 Abs. 2 StPO, weil kein Täter ermittelt 29.09.2018        Leipzig        Sachbeschädigung                         § 303 StGB              Verfahren gegen Unbekannt      Einstellung gemäß § 170 Abs. 2 StPO, weil kein Täter ermittelt 30.12.2018        Leipzig        Sachbeschädigung                         § 303 StGB              Verfahren gegen Unbekannt      Einstellung gemäß § 170 Abs. 2 StPO, weil kein Täter ermittelt 15.09.2018        Leipzig        Sachbeschädigung                         § 303 StGB              Verfahren gegen Unbekannt      Einstellung gemäß § 170 Abs. 2 StPO, weil kein Täter ermittelt 27.11.2018        Leipzig        Sachbeschädigung                         § 303 StGB              Verfahren gegen Unbekannt      Einstellung gemäß § 170 Abs. 2 StPO, weil kein Täter ermittelt 25.09.2018        Markranstädt   Sachbeschädigung                         § 303 StGB              Verfahren gegen Unbekannt      Einstellung gemäß § 170 Abs. 2 StPO, weil kein Täter ermittelt 01.08.2018        Leipzig        Sachbeschädigung                         § 303 StGB              Verfahren gegen Unbekannt      Einstellung gemäß § 170 Abs. 2 StPO, weil kein Täter ermittelt 08.09.2018        Leipzig        Sachbeschädigung                         § 303 StGB              Verfahren gegen Unbekannt      Einstellung gemäß § 170 Abs. 2 StPO, weil kein Täter ermittelt 27.08.2018        Leipzig        Sachbeschädigung                         § 303 StGB              Verfahren gegen Unbekannt      Einstellung gemäß § 170 Abs. 2 StPO, weil kein Täter ermittelt 30.11.2018        Leipzig        Sachbeschädigung                         § 303 StGB              Verfahren gegen Unbekannt      Einstellung gemäß § 170 Abs. 2 StPO, weil kein Täter ermittelt 01.03.2018        Leipzig        Sachbeschädigung                         § 303 StGB              Verfahren gegen Unbekannt      Einstellung gemäß § 170 Abs. 2 StPO, weil kein Täter ermittelt 24.09.2018        Leipzig        Sachbeschädigung                         § 303 StGB              Verfahren gegen Unbekannt      Einstellung gemäß § 170 Abs. 2 StPO, weil kein Täter ermittelt 18.09.2018        Leipzig        Sachbeschädigung                         § 303 StGB              Verfahren gegen Unbekannt      Einstellung gemäß § 170 Abs. 2 StPO, weil kein Täter ermittelt 25.07.2018        Leipzig        Sachbeschädigung                         § 303 StGB              Verfahren gegen Unbekannt      Einstellung gemäß § 170 Abs. 2 StPO, weil kein Täter ermittelt 28.02.2018        Leipzig        Sachbeschädigung                         § 303 StGB              Verfahren gegen Unbekannt      Einstellung gemäß § 170 Abs. 2 StPO, weil kein Täter ermittelt 01.09.2018        Leipzig        Sachbeschädigung                         § 303 StGB              Verfahren gegen Unbekannt      Einstellung gemäß § 170 Abs. 2 StPO, weil kein Täter ermittelt 07.01.2019        Leipzig        Sachbeschädigung                         § 303 StGB              Verfahren gegen Unbekannt      Einstellung gemäß § 170 Abs. 2 StPO, weil kein Täter ermittelt 18.10.2018        Leipzig        Sachbeschädigung                         § 303 StGB              Verfahren gegen Unbekannt      Einstellung gemäß § 170 Abs. 2 StPO, weil kein Täter ermittelt 12.09.2018        Leipzig        Sachbeschädigung                         § 303 StGB              Verfahren gegen Unbekannt      Einstellung gemäß § 170 Abs. 2 StPO, weil kein Täter ermittelt 23.01.2019        Leipzig        Sachbeschädigung                         § 303 StGB              Verfahren gegen Unbekannt      Einstellung gemäß § 170 Abs. 2 StPO, weil kein Täter ermittelt 3 von 8
9

Anlage 2, Drs.-Nr. 7/395 Einstellungen Phänomenbereich "Politisch motivierte Kriminalität – links" Tattag            Tatort         Tatvorwurf                               Strafvorschrift         Anzahl der Tatverdächtigen und Einstellungsgründe Geschlecht 31.01.2019        Leipzig        Sachbeschädigung                         § 303 StGB              Verfahren gegen Unbekannt      Einstellung gemäß § 170 Abs. 2 StPO, weil kein Täter ermittelt 17.11.2018        Leipzig        Sachbeschädigung                         § 303 StGB              Verfahren gegen Unbekannt      Einstellung gemäß § 170 Abs. 2 StPO, weil kein Täter ermittelt 21.12.2018        Leipzig        Sachbeschädigung                         § 303 StGB              Verfahren gegen Unbekannt      Einstellung gemäß § 170 Abs. 2 StPO, weil kein Täter ermittelt 08.02.2019        Leipzig        Sachbeschädigung                         § 303 StGB              Verfahren gegen Unbekannt      Einstellung gemäß § 170 Abs. 2 StPO, weil kein Täter ermittelt 28.10.2018        Leipzig        Sachbeschädigung                         § 303 StGB              Verfahren gegen Unbekannt      Einstellung gemäß § 170 Abs. 2 StPO, weil kein Täter ermittelt 24.11.2018        Leipzig        Sachbeschädigung                         § 303 StGB              Verfahren gegen Unbekannt      Einstellung gemäß § 170 Abs. 2 StPO, weil kein Täter ermittelt 06.04.2019        Leipzig        Sachbeschädigung                         § 303 StGB              Verfahren gegen Unbekannt      Einstellung gemäß § 170 Abs. 2 StPO, weil kein Täter ermittelt 28.02.2019        Leipzig        Sachbeschädigung                         § 303 StGB              Verfahren gegen Unbekannt      Einstellung gemäß § 170 Abs. 2 StPO, weil kein Täter ermittelt 27.12.2018        Eilenburg      Sachbeschädigung                         § 303 StGB              Verfahren gegen Unbekannt      Einstellung gemäß § 170 Abs. 2 StPO, weil kein Täter ermittelt 17.09.2018        Leipzig        Sachbeschädigung                         § 303 StGB              Verfahren gegen Unbekannt      Einstellung gemäß § 170 Abs. 2 StPO, weil kein Täter ermittelt 15.11.2018        Leipzig        Sachbeschädigung                         § 303 StGB              Verfahren gegen Unbekannt      Einstellung gemäß § 170 Abs. 2 StPO, weil kein Täter ermittelt 01.09.2018        Leipzig        Sachbeschädigung                         § 303 StGB              Verfahren gegen Unbekannt      Einstellung gemäß § 170 Abs. 2 StPO, weil kein Täter ermittelt 25.01.2019        Oschatz        Sachbeschädigung                         § 303 StGB              Verfahren gegen Unbekannt      Einstellung gemäß § 170 Abs. 2 StPO, weil kein Täter ermittelt 06.09.2018        Leipzig        Sachbeschädigung                         § 303 StGB              Verfahren gegen Unbekannt      Einstellung gemäß § 170 Abs. 2 StPO, weil kein Täter ermittelt 14.01.2019        Leipzig        Sachbeschädigung                         § 303 StGB              Verfahren gegen Unbekannt      Einstellung gemäß § 170 Abs. 2 StPO, weil kein Täter ermittelt 02.01.2019        Leipzig        Sachbeschädigung                         § 303 StGB              Verfahren gegen Unbekannt      Einstellung gemäß § 170 Abs. 2 StPO, weil kein Täter ermittelt 07.03.2019        Leipzig        Gemeinschädliche Sachbeschädigung        § 304 Abs. 1 StGB       Verfahren gegen Unbekannt      Einstellung gemäß § 170 Abs. 2 StPO, weil kein Täter ermittelt 25.02.2019        Leipzig        Sachbeschädigung                         § 303 StGB              Verfahren gegen Unbekannt      Einstellung gemäß § 170 Abs. 2 StPO, weil kein Täter ermittelt 10.02.2019        Leipzig        Öffentliche Aufforderung zu Straftaten   § 111 Abs. 2 StGB       Verfahren gegen Unbekannt      Einstellung gemäß § 170 Abs. 2 StPO, weil kein Täter ermittelt 25.03.2019        Leipzig        Sachbeschädigung                         § 303 StGB              Verfahren gegen Unbekannt      Einstellung gemäß § 170 Abs. 2 StPO, weil kein Täter ermittelt 11.09.2018        Leipzig        Sachbeschädigung                         § 303 StGB              Verfahren gegen Unbekannt      Einstellung gemäß § 170 Abs. 2 StPO, weil kein Täter ermittelt 05.02.2019        Leipzig        Sachbeschädigung                         § 303 StGB              Verfahren gegen Unbekannt      Einstellung gemäß § 170 Abs. 2 StPO, weil kein Täter ermittelt 07.04.2019        Wurzen         Sachbeschädigung                         § 303 StGB              Verfahren gegen Unbekannt      Einstellung gemäß § 170 Abs. 2 StPO, weil kein Täter ermittelt 09.04.2019        Leipzig        Sachbeschädigung                         § 303 StGB              Verfahren gegen Unbekannt      Einstellung gemäß § 170 Abs. 2 StPO, weil kein Täter ermittelt 01.01.2019        Leipzig        Sachbeschädigung                         § 303 StGB              Verfahren gegen Unbekannt      Einstellung gemäß § 170 Abs. 2 StPO, weil kein Täter ermittelt 26.03.2019        Leipzig        Sachbeschädigung                         § 303 StGB              Verfahren gegen Unbekannt      Einstellung gemäß § 170 Abs. 2 StPO, weil kein Täter ermittelt 18.03.2019        Leipzig        Sachbeschädigung                         § 303 StGB              Verfahren gegen Unbekannt      Einstellung gemäß § 170 Abs. 2 StPO, weil kein Täter ermittelt 06.03.2019        Leipzig        Sachbeschädiung Veränderung              § 303 Abs. 2 StGB       Verfahren gegen Unbekannt      Einstellung gemäß § 170 Abs. 2 StPO, weil kein Täter ermittelt Erscheinungsbild 07.01.2019        Leipzig        Sachbeschädigung                         § 303 StGB              Verfahren gegen Unbekannt      Einstellung gemäß § 170 Abs. 2 StPO, weil kein Täter ermittelt 06.03.2019        Leipzig        Sachbeschädigung                         § 303 StGB              Verfahren gegen Unbekannt      Einstellung gemäß § 170 Abs. 2 StPO, weil kein Täter ermittelt 20.02.2018        Leipzig        Bedrohung                                § 241 StGB              Verfahren gegen Unbekannt      Einstellung gemäß § 170 Abs. 2 StPO, weil kein Täter ermittelt 01.10.2018        Eilenburg      Sachbeschädiung Veränderung              § 303 Abs. 2 StGB       Verfahren gegen Unbekannt      Einstellung gemäß § 170 Abs. 2 StPO, weil kein Täter ermittelt Erscheinungsbild 03.09.2018        Torgau         Sachbeschädigung                         § 303 StGB              Verfahren gegen Unbekannt      Einstellung gemäß § 170 Abs. 2 StPO, weil kein Täter ermittelt 11.03.2019        Leipzig        Sachbeschädiung Veränderung              § 303 Abs. 2 StGB       Verfahren gegen Unbekannt      Einstellung gemäß § 170 Abs. 2 StPO, weil kein Täter ermittelt Erscheinungsbild 31.12.2018        Leipzig        Sachbeschädigung                         § 303 StGB              Verfahren gegen Unbekannt      Einstellung gemäß § 170 Abs. 2 StPO, weil kein Täter ermittelt 21.01.2019        Leipzig        Sachbeschädigung                         § 303 StGB              Verfahren gegen Unbekannt      Einstellung gemäß § 170 Abs. 2 StPO, weil kein Täter ermittelt 30.03.2019        Leipzig        Sachbeschädigung                         § 303 StGB              Verfahren gegen Unbekannt      Einstellung gemäß § 170 Abs. 2 StPO, weil kein Täter ermittelt 27.04.2019        Wermsdorf      Sachbeschädigung                         § 303 StGB              Verfahren gegen Unbekannt      Einstellung gemäß § 170 Abs. 2 StPO, weil kein Täter ermittelt 12.05.2019        Leipzig        Sachbeschädigung                         § 303 StGB              Verfahren gegen Unbekannt      Einstellung gemäß § 170 Abs. 2 StPO, weil kein Täter ermittelt 08.02.2019        Leipzig        Sachbeschädigung                         § 303 StGB              Verfahren gegen Unbekannt      Einstellung gemäß § 170 Abs. 2 StPO, weil kein Täter ermittelt 04.03.2019        Leipzig        Sachbeschädigung                         § 303 StGB              Verfahren gegen Unbekannt      Einstellung gemäß § 170 Abs. 2 StPO, weil kein Täter ermittelt 04.03.2019        Leipzig        Sachbeschädigung                         § 303 StGB              Verfahren gegen Unbekannt      Einstellung gemäß § 170 Abs. 2 StPO, weil kein Täter ermittelt 4 von 8
10

Zur nächsten Seite