Juristische Folgen von Straftaten im Phänomenbereich "Politisch motivierte Kriminalität -links-" im ersten Halbjahr 2019

/ 14
PDF herunterladen
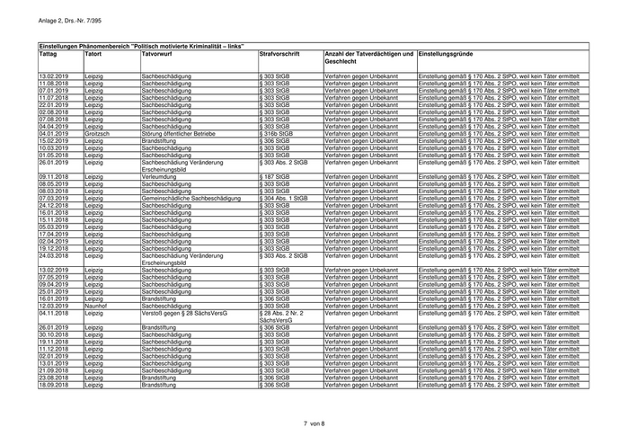
Anlage 2, Drs.-Nr. 7/395 Einstellungen Phänomenbereich "Politisch motivierte Kriminalität – links" Tattag            Tatort         Tatvorwurf                               Strafvorschrift         Anzahl der Tatverdächtigen und Einstellungsgründe Geschlecht 02.05.2019        Bad Düben      Sachbeschädigung                         § 303 StGB              Verfahren gegen Unbekannt      Einstellung gemäß § 170 Abs. 2 StPO, weil kein Täter ermittelt 01.05.2019        Bad Düben      Sachbeschädigung                         § 303 StGB              Verfahren gegen Unbekannt      Einstellung gemäß § 170 Abs. 2 StPO, weil kein Täter ermittelt 02.05.2019        Bad Düben      Sachbeschädigung                         § 303 StGB              Verfahren gegen Unbekannt      Einstellung gemäß § 170 Abs. 2 StPO, weil kein Täter ermittelt 02.05.2019        Bad Düben      Sachbeschädigung                         § 303 StGB              Verfahren gegen Unbekannt      Einstellung gemäß § 170 Abs. 2 StPO, weil kein Täter ermittelt 27.04.2019        Bad Düben      Sachbeschädigung                         § 303 StGB              Verfahren gegen Unbekannt      Einstellung gemäß § 170 Abs. 2 StPO, weil kein Täter ermittelt 03.05.2019        Delitzsch      Sachbeschädigung                         § 303 StGB              Verfahren gegen Unbekannt      Einstellung gemäß § 170 Abs. 2 StPO, weil kein Täter ermittelt 13.05.2019        Zschepplin     Diebstahl                                § 242 StGB              Verfahren gegen Unbekannt      Einstellung gemäß § 170 Abs. 2 StPO, weil kein Täter ermittelt 13.03.2019        Rackwitz       Verwendund von Kennzeichen               § 86a StGB              Verfahren gegen Unbekannt      Einstellung gemäß § 170 Abs. 2 StPO, weil kein Täter ermittelt verfassungswidriger Organisationen 11.08.2018        Leipzig        Sachbeschädigung                         § 303 StGB              Verfahren gegen Unbekannt      Einstellung gemäß § 170 Abs. 2 StPO, weil kein Täter ermittelt 11.08.2018        Leipzig        Sachbeschädigung                         § 303 StGB              Verfahren gegen Unbekannt      Einstellung gemäß § 170 Abs. 2 StPO, weil kein Täter ermittelt 11.08.2018        Leipzig        Sachbeschädigung                         § 303 StGB              Verfahren gegen Unbekannt      Einstellung gemäß § 170 Abs. 2 StPO, weil kein Täter ermittelt 07.12.2018        Brandis        Sachbeschädigung                         § 303 StGB              Verfahren gegen Unbekannt      Einstellung gemäß § 170 Abs. 2 StPO, weil kein Täter ermittelt 26.09.2018        Leipzig        Sachbeschädigung                         § 303 StGB              Verfahren gegen Unbekannt      Einstellung gemäß § 170 Abs. 2 StPO, weil kein Täter ermittelt 15.12.2018        Wermsdorf      Sachbeschädigung                         § 303 StGB              Verfahren gegen Unbekannt      Einstellung gemäß § 170 Abs. 2 StPO, weil kein Täter ermittelt 24.08.2018        Eilenburg      Sachbeschädigung                         § 303 StGB              Verfahren gegen Unbekannt      Einstellung gemäß § 170 Abs. 2 StPO, weil kein Täter ermittelt 31.08.2018        Leipzig        Sachbeschädigung                         § 303 StGB              Verfahren gegen Unbekannt      Einstellung gemäß § 170 Abs. 2 StPO, weil kein Täter ermittelt 05.10.2018        Leipzig        Sachbeschädigung                         § 303 StGB              Verfahren gegen Unbekannt      Einstellung gemäß § 170 Abs. 2 StPO, weil kein Täter ermittelt 08.11.2017        Leipzig        Brandstiftung                            § 306 StGB              Verfahren gegen Unbekannt      Einstellung gemäß § 170 Abs. 2 StPO, weil kein Täter ermittelt 24.05.2018        Leipzig        Gemeinschädliche Sachbeschädigung        § 304 Abs. 1 StGB       Verfahren gegen Unbekannt      Einstellung gemäß § 170 Abs. 2 StPO, weil kein Täter ermittelt 12.12.2015        Leipzig        Besonders schwerer Fall des              § 125a StGB             Verfahren gegen Unbekannt      Einstellung gemäß § 170 Abs. 2 StPO, weil kein Täter ermittelt Landfriedensbruchs 16.08.2018        Leipzig        Sachbeschädigung                         § 303 StGB              Verfahren gegen Unbekannt      Einstellung gemäß § 170 Abs. 2 StPO, weil kein Täter ermittelt 16.08.2018        Leipzig        Sachbeschädigung                         § 303 StGB              Verfahren gegen Unbekannt      Einstellung gemäß § 170 Abs. 2 StPO, weil kein Täter ermittelt 08.11.2018        Leipzig        Sachbeschädigung                         § 303 StGB              Verfahren gegen Unbekannt      Einstellung gemäß § 170 Abs. 2 StPO, weil kein Täter ermittelt 09.11.2018        Leipzig        Sachbeschädigung                         § 303 StGB              Verfahren gegen Unbekannt      Einstellung gemäß § 170 Abs. 2 StPO, weil kein Täter ermittelt 24.01.2019        Wurzen         Sachbeschädigung                         § 303 StGB              Verfahren gegen Unbekannt      Einstellung gemäß § 170 Abs. 2 StPO, weil kein Täter ermittelt 29.01.2019        Leipzig        Beleidigung                              § 185 StGB              1 (m)                          Einstellung gemäß § 170 Abs. 2 StPO, Verfahrenshindernis 28.04.2019        Naunhof        Verleumdung                              § 187 StGB              1 (m)                          Einstellung gemäß § 170 Abs. 2 StPO, angezeigtes Verhalten erfüllt keinen Straftatbestand 19.04.2017        Leipzig        Sachbeschädigung                         § 303 StGB              1 (m)                          Einstellung nach §§ 47 JGG i.V.m. 45 Abs. 3 JGG - Maßnahme in HVT angeordnet 25.01.2019        Leipzig        Sachbeschädigung                         § 303 StGB              Verfahren gegen Unbekannt      Einstellung gemäß § 170 Abs. 2 StPO, weil kein Täter ermittelt 31.12.2018        Leipzig        Sachbeschädigung                         § 303 StGB              Verfahren gegen Unbekannt      Einstellung gemäß § 170 Abs. 2 StPO, weil kein Täter ermittelt 23.03.2019        Leipzig        Sachbeschädigung                         § 303 Abs. 1 StGB       Verfahren gegen Unbekannt      Einstellung gemäß § 170 Abs. 2 StPO, weil kein Täter ermittelt 12.02.2019        Borna          Sachbeschädigung                         § 303 StGB              Verfahren gegen Unbekannt      Einstellung gemäß § 170 Abs. 2 StPO, weil kein Täter ermittelt 17.08.2018        Borna          Sachbeschädigung                         § 303 Abs. 1 StGB       Verfahren gegen Unbekannt      Einstellung gemäß § 170 Abs. 2 StPO, weil kein Täter ermittelt 18.08.2018        Borna          Sachbeschädigung                         § 303 Abs. 1 StGB       Verfahren gegen Unbekannt      Einstellung gemäß § 170 Abs. 2 StPO, weil kein Täter ermittelt 05.10.2018        Leipzig        Sachbeschädigung                         § 303 StGB              Verfahren gegen Unbekannt      Einstellung gemäß § 170 Abs. 2 StPO, weil kein Täter ermittelt 03.03.2019        Leipzig        Sachbeschädigung                         § 303 StGB              Verfahren gegen Unbekannt      Einstellung gemäß § 170 Abs. 2 StPO, weil kein Täter ermittelt 23.06.2018        Leipzig        Gemeinschädliche Sachbeschädigung        § 304 Abs. 1 StGB       Verfahren gegen Unbekannt      Einstellung gemäß § 170 Abs. 2 StPO, weil kein Täter ermittelt 16.03.2019        Leipzig        Sachbeschädigung                         § 303 StGB              Verfahren gegen Unbekannt      Einstellung gemäß § 170 Abs. 2 StPO, weil kein Täter ermittelt 10.02.2019        Leipzig        Sachbeschädigung                         § 303 StGB              Verfahren gegen Unbekannt      Einstellung gemäß § 170 Abs. 2 StPO, weil kein Täter ermittelt 10.03.2019        Leipzig        Sachbeschädigung                         § 303 StGB              Verfahren gegen Unbekannt      Einstellung gemäß § 170 Abs. 2 StPO, weil kein Täter ermittelt 31.12.2018        Leipzig        Sachbeschädigung                         § 303 StGB              Verfahren gegen Unbekannt      Einstellung gemäß § 170 Abs. 2 StPO, weil kein Täter ermittelt 5 von 8
11

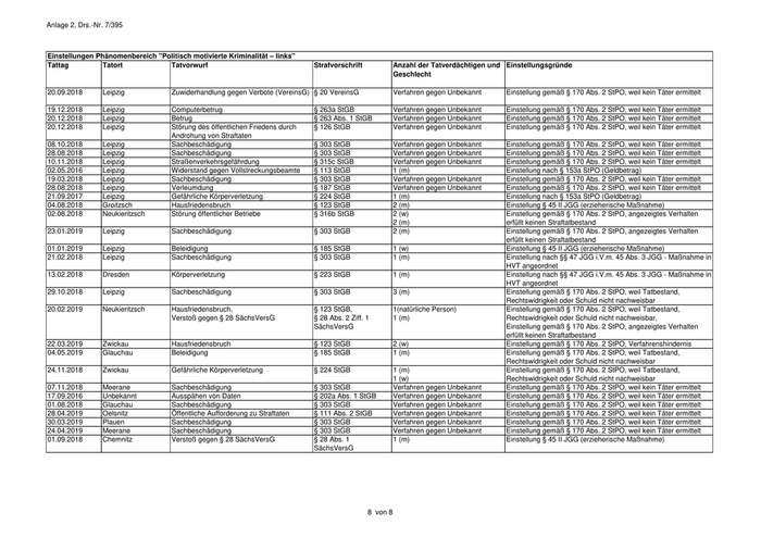
Anlage 2, Drs.-Nr. 7/395 Einstellungen Phänomenbereich "Politisch motivierte Kriminalität – links" Tattag            Tatort         Tatvorwurf                               Strafvorschrift         Anzahl der Tatverdächtigen und Einstellungsgründe Geschlecht 25.03.2019        Leipzig        Sachbeschädigung                         § 303 StGB              Verfahren gegen Unbekannt      Einstellung gemäß § 170 Abs. 2 StPO, weil kein Täter ermittelt 09.03.2019        Leipzig        Sachbeschädigung                         § 303 StGB              Verfahren gegen Unbekannt      Einstellung gemäß § 170 Abs. 2 StPO, weil kein Täter ermittelt 11.03.2019        Leipzig        Sachbeschädigung                         § 303 StGB              Verfahren gegen Unbekannt      Einstellung gemäß § 170 Abs. 2 StPO, weil kein Täter ermittelt 13.09.2018        Leipzig        Sachbeschädigung                         § 303 StGB              Verfahren gegen Unbekannt      Einstellung gemäß § 170 Abs. 2 StPO, weil kein Täter ermittelt 08.03.2019        Leipzig        Gemeinschädliche Sachbeschädigung        § 304 Abs. 1 StGB       Verfahren gegen Unbekannt      Einstellung gemäß § 170 Abs. 2 StPO, weil kein Täter ermittelt 11.04.2019        Leipzig        Körperverletzung                         § 223 StGB              Verfahren gegen Unbekannt      Einstellung gemäß § 170 Abs. 2 StPO, weil kein Täter ermittelt 01.01.2019        Leipzig        Sachbeschädigung                         § 303 StGB              Verfahren gegen Unbekannt      Einstellung gemäß § 170 Abs. 2 StPO, weil kein Täter ermittelt 14.01.2019        Leipzig        Sachbeschädigung                         § 303 StGB              Verfahren gegen Unbekannt      Einstellung gemäß § 170 Abs. 2 StPO, weil kein Täter ermittelt 30.03.2019        Leipzig        Sachbeschädigung                         § 303 StGB              Verfahren gegen Unbekannt      Einstellung gemäß § 170 Abs. 2 StPO, weil kein Täter ermittelt 17.11.2018        Leipzig        Brandstiftung                            § 306 StGB              Verfahren gegen Unbekannt      Einstellung gemäß § 170 Abs. 2 StPO, weil kein Täter ermittelt 08.02.2019        Leipzig        Sachbeschädigung                         § 303 StGB              Verfahren gegen Unbekannt      Einstellung gemäß § 170 Abs. 2 StPO, weil kein Täter ermittelt 25.02.2019        Leipzig        Sachbeschädigung                         § 303 StGB              Verfahren gegen Unbekannt      Einstellung gemäß § 170 Abs. 2 StPO, weil kein Täter ermittelt 12.04.2019        Leipzig        Sachbeschädigung                         § 303 StGB              Verfahren gegen Unbekannt      Einstellung gemäß § 170 Abs. 2 StPO, weil kein Täter ermittelt 03.03.2019        Leipzig        Sachbeschädigung                         § 303 StGB              Verfahren gegen Unbekannt      Einstellung gemäß § 170 Abs. 2 StPO, weil kein Täter ermittelt 27.02.2019        Leipzig        Sachbeschädigung                         § 303 StGB              Verfahren gegen Unbekannt      Einstellung gemäß § 170 Abs. 2 StPO, weil kein Täter ermittelt 12.02.2019        Leipzig        Sachbeschädigung                         § 303 StGB              Verfahren gegen Unbekannt      Einstellung gemäß § 170 Abs. 2 StPO, weil kein Täter ermittelt 29.01.2019        Leipzig        Sachbeschädigung                         § 303 StGB              Verfahren gegen Unbekannt      Einstellung gemäß § 170 Abs. 2 StPO, weil kein Täter ermittelt 08.04.2019        Leipzig        Sachbeschädigung                         § 303 StGB              Verfahren gegen Unbekannt      Einstellung gemäß § 170 Abs. 2 StPO, weil kein Täter ermittelt 07.05.2019        Leipzig        Beleidigung                              § 185 StGB              Verfahren gegen Unbekannt      Einstellung gemäß § 170 Abs. 2 StPO, weil kein Täter ermittelt 15.06.2018        Leipzig        Brandstiftung                            § 306 StGB              Verfahren gegen Unbekannt      Einstellung gemäß § 170 Abs. 2 StPO, weil kein Täter ermittelt 09.08.2018        Leipzig        Sachbeschädigung                         § 303 StGB              Verfahren gegen Unbekannt      Einstellung gemäß § 170 Abs. 2 StPO, weil kein Täter ermittelt 29.08.2018        Leipzig        Sachbeschädigung                         § 303 StGB              Verfahren gegen Unbekannt      Einstellung gemäß § 170 Abs. 2 StPO, weil kein Täter ermittelt 11.08.2018        Leipzig        Sachbeschädigung                         § 303 StGB              Verfahren gegen Unbekannt      Einstellung gemäß § 170 Abs. 2 StPO, weil kein Täter ermittelt 09.08.2018        Leipzig        Sachbeschädigung                         § 303 StGB              Verfahren gegen Unbekannt      Einstellung gemäß § 170 Abs. 2 StPO, weil kein Täter ermittelt 25.09.2018        Leipzig        Brandstiftung                            § 306 StGB              Verfahren gegen Unbekannt      Einstellung gemäß § 170 Abs. 2 StPO, weil kein Täter ermittelt 16.12.2018        Leipzig        Raub                                     § 249 Abs. 1 StGB       Verfahren gegen Unbekannt      Einstellung gemäß § 170 Abs. 2 StPO, weil kein Täter ermittelt 30.10.2018        Wurzen         Gefährliche Körperverletzung             § 224 StGB              Verfahren gegen Unbekannt      Einstellung gemäß § 170 Abs. 2 StPO, weil kein Täter ermittelt 27.10.2018        Delitzsch      Diebstahl                                § 242 StGB              Verfahren gegen Unbekannt      Einstellung gemäß § 170 Abs. 2 StPO, weil kein Täter ermittelt 29.09.2018        Leipzig        Hausfriedensbruch                        § 123 StGB              Verfahren gegen Unbekannt      Einstellung gemäß § 170 Abs. 2 StPO, weil kein Täter ermittelt 02.10.2018        Leipzig        Sachbeschädigung                         § 303 StGB              Verfahren gegen Unbekannt      Einstellung gemäß § 170 Abs. 2 StPO, weil kein Täter ermittelt 04.10.2018        Leipzig        Sachbeschädigung                         § 303 StGB              Verfahren gegen Unbekannt      Einstellung gemäß § 170 Abs. 2 StPO, weil kein Täter ermittelt 04.10.2018        Leipzig        Sachbeschädigung                         § 303 StGB              Verfahren gegen Unbekannt      Einstellung gemäß § 170 Abs. 2 StPO, weil kein Täter ermittelt 04.10.2018        Leipzig        Sachbeschädigung                         § 303 StGB              Verfahren gegen Unbekannt      Einstellung gemäß § 170 Abs. 2 StPO, weil kein Täter ermittelt 04.10.2018        Leipzig        Sachbeschädigung                         § 303 StGB              Verfahren gegen Unbekannt      Einstellung gemäß § 170 Abs. 2 StPO, weil kein Täter ermittelt 20.01.2018        Wurzen         Nötigung                                 § 240 StGB              Verfahren gegen Unbekannt      Einstellung gemäß § 170 Abs. 2 StPO, weil kein Täter ermittelt 30.11.2018        Leipzig        Körperverletzung                         § 223 StGB              Verfahren gegen Unbekannt      Einstellung gemäß § 170 Abs. 2 StPO, weil kein Täter ermittelt 08.06.2018        Geithain       Nötigung                                 § 240 StGB              Verfahren gegen Unbekannt      Einstellung gemäß § 170 Abs. 2 StPO, weil kein Täter ermittelt 09.11.2018        Leipzig        Sachbeschädigung                         § 303 StGB              Verfahren gegen Unbekannt      Einstellung gemäß § 170 Abs. 2 StPO, weil kein Täter ermittelt 08.12.2016        Leipzig        Öffentliche Aufforderung zu Straftaten   § 111 Abs. 2 StGB       1 (m)                          Einstellung gemäß § 170 Abs. 2 StPO, angezeigtes Verhalten erfüllt keinen Straftatbestand 15.12.2018        Leipzig        Störung des öffentlichen Friedens durch  § 126 StGB              1 (m)                          Einstellung gemäß § 170 Abs. 2 StPO, weil Tatbestand, Androhung von Straftaten                                                                        Rechtswidrigkeit oder Schuld nicht nachweisbar 04.01.2019        Leipzig        Sachbeschädigung                         § 303 StGB              Verfahren gegen Unbekannt      Einstellung gemäß § 170 Abs. 2 StPO, weil kein Täter ermittelt 13.01.2019        Leipzig        Sachbeschädigung                         § 303 StGB              Verfahren gegen Unbekannt      Einstellung gemäß § 170 Abs. 2 StPO, weil kein Täter ermittelt 20.01.2019        Leipzig        Sachbeschädigung                         § 303 StGB              Verfahren gegen Unbekannt      Einstellung gemäß § 170 Abs. 2 StPO, weil kein Täter ermittelt 6 von 8
12

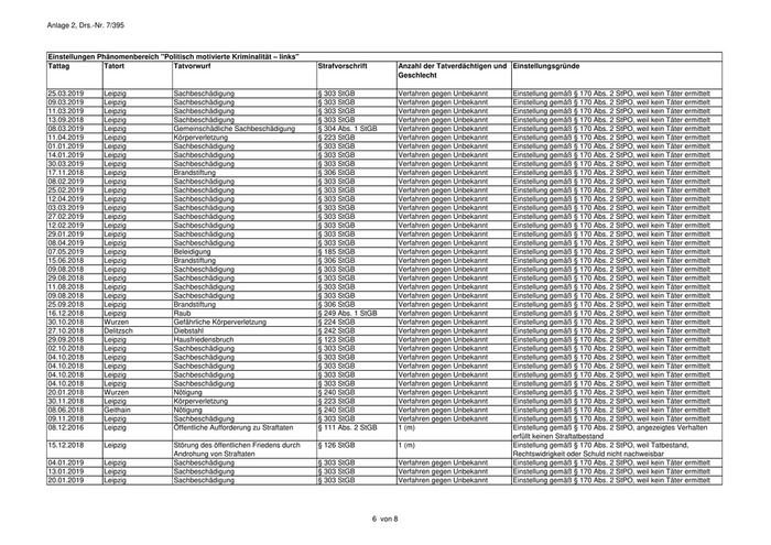
Anlage 2, Drs.-Nr. 7/395 Einstellungen Phänomenbereich "Politisch motivierte Kriminalität – links" Tattag            Tatort         Tatvorwurf                               Strafvorschrift           Anzahl der Tatverdächtigen und Einstellungsgründe Geschlecht 13.02.2019        Leipzig        Sachbeschädigung                         § 303 StGB                Verfahren gegen Unbekannt      Einstellung gemäß § 170 Abs. 2 StPO, weil kein Täter ermittelt 11.08.2018        Leipzig        Sachbeschädigung                         § 303 StGB                Verfahren gegen Unbekannt      Einstellung gemäß § 170 Abs. 2 StPO, weil kein Täter ermittelt 07.01.2019        Leipzig        Sachbeschädigung                         § 303 StGB                Verfahren gegen Unbekannt      Einstellung gemäß § 170 Abs. 2 StPO, weil kein Täter ermittelt 11.07.2018        Leipzig        Sachbeschädigung                         § 303 StGB                Verfahren gegen Unbekannt      Einstellung gemäß § 170 Abs. 2 StPO, weil kein Täter ermittelt 22.01.2019        Leipzig        Sachbeschädigung                         § 303 StGB                Verfahren gegen Unbekannt      Einstellung gemäß § 170 Abs. 2 StPO, weil kein Täter ermittelt 02.08.2018        Leipzig        Sachbeschädigung                         § 303 StGB                Verfahren gegen Unbekannt      Einstellung gemäß § 170 Abs. 2 StPO, weil kein Täter ermittelt 07.08.2018        Leipzig        Sachbeschädigung                         § 303 StGB                Verfahren gegen Unbekannt      Einstellung gemäß § 170 Abs. 2 StPO, weil kein Täter ermittelt 04.04.2019        Leipzig        Sachbeschädigung                         § 303 StGB                Verfahren gegen Unbekannt      Einstellung gemäß § 170 Abs. 2 StPO, weil kein Täter ermittelt 04.01.2019        Groitzsch      Störung öffentlicher Betriebe            § 316b StGB               Verfahren gegen Unbekannt      Einstellung gemäß § 170 Abs. 2 StPO, weil kein Täter ermittelt 15.02.2019        Leipzig        Brandstiftung                            § 306 StGB                Verfahren gegen Unbekannt      Einstellung gemäß § 170 Abs. 2 StPO, weil kein Täter ermittelt 10.03.2019        Leipzig        Sachbeschädigung                         § 303 StGB                Verfahren gegen Unbekannt      Einstellung gemäß § 170 Abs. 2 StPO, weil kein Täter ermittelt 01.05.2018        Leipzig        Sachbeschädigung                         § 303 StGB                Verfahren gegen Unbekannt      Einstellung gemäß § 170 Abs. 2 StPO, weil kein Täter ermittelt 26.01.2019        Leipzig        Sachbeschädiung Veränderung              § 303 Abs. 2 StGB         Verfahren gegen Unbekannt      Einstellung gemäß § 170 Abs. 2 StPO, weil kein Täter ermittelt Erscheinungsbild 09.11.2018        Leipzig        Verleumdung                              § 187 StGB                Verfahren gegen Unbekannt      Einstellung gemäß § 170 Abs. 2 StPO, weil kein Täter ermittelt 08.05.2019        Leipzig        Sachbeschädigung                         § 303 StGB                Verfahren gegen Unbekannt      Einstellung gemäß § 170 Abs. 2 StPO, weil kein Täter ermittelt 08.03.2018        Leipzig        Sachbeschädigung                         § 303 StGB                Verfahren gegen Unbekannt      Einstellung gemäß § 170 Abs. 2 StPO, weil kein Täter ermittelt 07.03.2019        Leipzig        Gemeinschädliche Sachbeschädigung        § 304 Abs. 1 StGB         Verfahren gegen Unbekannt      Einstellung gemäß § 170 Abs. 2 StPO, weil kein Täter ermittelt 24.12.2018        Leipzig        Sachbeschädigung                         § 303 StGB                Verfahren gegen Unbekannt      Einstellung gemäß § 170 Abs. 2 StPO, weil kein Täter ermittelt 16.01.2018        Leipzig        Sachbeschädigung                         § 303 StGB                Verfahren gegen Unbekannt      Einstellung gemäß § 170 Abs. 2 StPO, weil kein Täter ermittelt 15.11.2018        Leipzig        Sachbeschädigung                         § 303 StGB                Verfahren gegen Unbekannt      Einstellung gemäß § 170 Abs. 2 StPO, weil kein Täter ermittelt 05.03.2019        Leipzig        Sachbeschädigung                         § 303 StGB                Verfahren gegen Unbekannt      Einstellung gemäß § 170 Abs. 2 StPO, weil kein Täter ermittelt 17.04.2019        Leipzig        Sachbeschädigung                         § 303 StGB                Verfahren gegen Unbekannt      Einstellung gemäß § 170 Abs. 2 StPO, weil kein Täter ermittelt 02.04.2019        Leipzig        Sachbeschädigung                         § 303 StGB                Verfahren gegen Unbekannt      Einstellung gemäß § 170 Abs. 2 StPO, weil kein Täter ermittelt 19.12.2018        Leipzig        Sachbeschädigung                         § 303 StGB                Verfahren gegen Unbekannt      Einstellung gemäß § 170 Abs. 2 StPO, weil kein Täter ermittelt 24.03.2018        Leipzig        Sachbeschädiung Veränderung              § 303 Abs. 2 StGB         Verfahren gegen Unbekannt      Einstellung gemäß § 170 Abs. 2 StPO, weil kein Täter ermittelt Erscheinungsbild 13.02.2019        Leipzig        Sachbeschädigung                         § 303 StGB                Verfahren gegen Unbekannt      Einstellung gemäß § 170 Abs. 2 StPO, weil kein Täter ermittelt 07.05.2019        Leipzig        Sachbeschädigung                         § 303 StGB                Verfahren gegen Unbekannt      Einstellung gemäß § 170 Abs. 2 StPO, weil kein Täter ermittelt 09.04.2019        Leipzig        Sachbeschädigung                         § 303 StGB                Verfahren gegen Unbekannt      Einstellung gemäß § 170 Abs. 2 StPO, weil kein Täter ermittelt 25.01.2019        Leipzig        Sachbeschädigung                         § 303 StGB                Verfahren gegen Unbekannt      Einstellung gemäß § 170 Abs. 2 StPO, weil kein Täter ermittelt 16.01.2019        Leipzig        Brandstiftung                            § 306 StGB                Verfahren gegen Unbekannt      Einstellung gemäß § 170 Abs. 2 StPO, weil kein Täter ermittelt 12.03.2019        Naunhof        Sachbeschädigung                         § 303 StGB                Verfahren gegen Unbekannt      Einstellung gemäß § 170 Abs. 2 StPO, weil kein Täter ermittelt 04.11.2018        Leipzig        Verstoß gegen § 28 SächsVersG            § 28 Abs. 2 Nr. 2         Verfahren gegen Unbekannt      Einstellung gemäß § 170 Abs. 2 StPO, weil kein Täter ermittelt SächsVersG 26.01.2019        Leipzig        Brandstiftung                            § 306 StGB                Verfahren gegen Unbekannt      Einstellung gemäß § 170 Abs. 2 StPO, weil kein Täter ermittelt 30.10.2018        Leipzig        Sachbeschädigung                         § 303 StGB                Verfahren gegen Unbekannt      Einstellung gemäß § 170 Abs. 2 StPO, weil kein Täter ermittelt 19.11.2018        Leipzig        Sachbeschädigung                         § 303 StGB                Verfahren gegen Unbekannt      Einstellung gemäß § 170 Abs. 2 StPO, weil kein Täter ermittelt 11.12.2018        Leipzig        Sachbeschädigung                         § 303 StGB                Verfahren gegen Unbekannt      Einstellung gemäß § 170 Abs. 2 StPO, weil kein Täter ermittelt 02.01.2019        Leipzig        Sachbeschädigung                         § 303 StGB                Verfahren gegen Unbekannt      Einstellung gemäß § 170 Abs. 2 StPO, weil kein Täter ermittelt 13.01.2019        Leipzig        Sachbeschädigung                         § 303 StGB                Verfahren gegen Unbekannt      Einstellung gemäß § 170 Abs. 2 StPO, weil kein Täter ermittelt 21.09.2018        Leipzig        Sachbeschädigung                         § 303 StGB                Verfahren gegen Unbekannt      Einstellung gemäß § 170 Abs. 2 StPO, weil kein Täter ermittelt 23.08.2018        Leipzig        Brandstiftung                            § 306 StGB                Verfahren gegen Unbekannt      Einstellung gemäß § 170 Abs. 2 StPO, weil kein Täter ermittelt 18.09.2018        Leipzig        Brandstiftung                            § 306 StGB                Verfahren gegen Unbekannt      Einstellung gemäß § 170 Abs. 2 StPO, weil kein Täter ermittelt 7 von 8
13

Anlage 2, Drs.-Nr. 7/395 Einstellungen Phänomenbereich "Politisch motivierte Kriminalität – links" Tattag            Tatort         Tatvorwurf                               Strafvorschrift            Anzahl der Tatverdächtigen und Einstellungsgründe Geschlecht 20.09.2018        Leipzig        Zuwiderhandlung gegen Verbote (VereinsG) § 20 VereinsG              Verfahren gegen Unbekannt      Einstellung gemäß § 170 Abs. 2 StPO, weil kein Täter ermittelt 19.12.2018        Leipzig        Computerbetrug                           § 263a StGB                Verfahren gegen Unbekannt      Einstellung gemäß § 170 Abs. 2 StPO, weil kein Täter ermittelt 20.12.2018        Leipzig        Betrug                                   § 263 Abs. 1 StGB          Verfahren gegen Unbekannt      Einstellung gemäß § 170 Abs. 2 StPO, weil kein Täter ermittelt 20.12.2018        Leipzig        Störung des öffentlichen Friedens durch  § 126 StGB                 Verfahren gegen Unbekannt      Einstellung gemäß § 170 Abs. 2 StPO, weil kein Täter ermittelt Androhung von Straftaten 08.10.2018        Leipzig        Sachbeschädigung                         § 303 StGB                 Verfahren gegen Unbekannt      Einstellung gemäß § 170 Abs. 2 StPO, weil kein Täter ermittelt 28.08.2018        Leipzig        Sachbeschädigung                         § 303 StGB                 Verfahren gegen Unbekannt      Einstellung gemäß § 170 Abs. 2 StPO, weil kein Täter ermittelt 10.11.2018        Leipzig        Straßenverkehrsgefährdung                § 315c StGB                Verfahren gegen Unbekannt      Einstellung gemäß § 170 Abs. 2 StPO, weil kein Täter ermittelt 02.05.2016        Leipzig        Widerstand gegen Vollstreckungsbeamte    § 113 StGB                 1 (m)                          Einstellung nach § 153a StPO (Geldbetrag) 19.03.2018        Leipzig        Sachbeschädigung                         § 303 StGB                 Verfahren gegen Unbekannt      Einstellung gemäß § 170 Abs. 2 StPO, weil kein Täter ermittelt 28.08.2018        Leipzig        Verleumdung                              § 187 StGB                 Verfahren gegen Unbekannt      Einstellung gemäß § 170 Abs. 2 StPO, weil kein Täter ermittelt 21.09.2017        Leipzig        Gefährliche Körperverletzung             § 224 StGB                 1 (m)                          Einstellung nach § 153a StPO (Geldbetrag) 04.08.2018        Groitzsch      Hausfriedensbruch                        § 123 StGB                 2 (m)                          Einstellung § 45 II JGG (erzieherische Maßnahme) 02.08.2018        Neukieritzsch  Störung öffentlicher Betriebe            § 316b StGB                2 (w)                          Einstellung gemäß § 170 Abs. 2 StPO, angezeigtes Verhalten 2 (m)                          erfüllt keinen Straftatbestand 23.01.2019        Leipzig        Sachbeschädigung                         § 303 StGB                 2 (m)                          Einstellung gemäß § 170 Abs. 2 StPO, angezeigtes Verhalten erfüllt keinen Straftatbestand 01.01.2019        Leipzig        Beleidigung                              § 185 StGB                 1 (w)                          Einstellung § 45 II JGG (erzieherische Maßnahme) 21.02.2018        Leipzig        Sachbeschädigung                         § 303 StGB                 1 (m)                          Einstellung nach §§ 47 JGG i.V.m. 45 Abs. 3 JGG - Maßnahme in HVT angeordnet 13.02.2018        Dresden        Körperverletzung                         § 223 StGB                 1 (m)                          Einstellung nach §§ 47 JGG i.V.m. 45 Abs. 3 JGG - Maßnahme in HVT angeordnet 29.10.2018        Leipzig        Sachbeschädigung                         § 303 StGB                 3 (m)                          Einstellung gemäß § 170 Abs. 2 StPO, weil Tatbestand, Rechtswidrigkeit oder Schuld nicht nachweisbar 20.02.2019        Neukieritzsch  Hausfriedensbruch,                       § 123 StGB,                1(natürliche Person)           Einstellung gemäß § 170 Abs. 2 StPO, weil Tatbestand, Verstoß gegen § 28 SächsVersG            § 28 Abs. 2 Ziff. 1        1 (m)                          Rechtswidrigkeit oder Schuld nicht nachweisbar, SächsVersG                                                Einstellung gemäß § 170 Abs. 2 StPO, angezeigtes Verhalten erfüllt keinen Straftatbestand 22.03.2019        Zwickau        Hausfriedensbruch                        § 123 StGB                 2 (w)                          Einstellung gemäß § 170 Abs. 2 StPO, Verfahrenshindernis 04.05.2019        Glauchau       Beleidigung                              § 185 StGB                 1 (m)                          Einstellung gemäß § 170 Abs. 2 StPO, weil Tatbestand, Rechtswidrigkeit oder Schuld nicht nachweisbar 24.11.2018        Zwickau        Gefährliche Körperverletzung             § 224 StGB                 1 (m)                          Einstellung gemäß § 170 Abs. 2 StPO, weil Tatbestand, 1 (w)                          Rechtswidrigkeit oder Schuld nicht nachweisbar 07.11.2018        Meerane        Sachbeschädigung                         § 303 StGB                 Verfahren gegen Unbekannt      Einstellung gemäß § 170 Abs. 2 StPO, weil kein Täter ermittelt 17.09.2016        Unbekannt      Ausspähen von Daten                      § 202a Abs. 1 StGB         Verfahren gegen Unbekannt      Einstellung gemäß § 170 Abs. 2 StPO, weil kein Täter ermittelt 01.08.2018        Glauchau       Sachbeschädigung                         § 303 StGB                 Verfahren gegen Unbekannt      Einstellung gemäß § 170 Abs. 2 StPO, weil kein Täter ermittelt 28.04.2019        Oelsnitz       Öffentliche Aufforderung zu Straftaten   § 111 Abs. 2 StGB          Verfahren gegen Unbekannt      Einstellung gemäß § 170 Abs. 2 StPO, weil kein Täter ermittelt 30.03.2019        Plauen         Sachbeschädigung                         § 303 StGB                 Verfahren gegen Unbekannt      Einstellung gemäß § 170 Abs. 2 StPO, weil kein Täter ermittelt 24.04.2019        Meerane        Sachbeschädigung                         § 303 StGB                 Verfahren gegen Unbekannt      Einstellung gemäß § 170 Abs. 2 StPO, weil kein Täter ermittelt 01.09.2018        Chemnitz       Verstoß gegen § 28 SächsVersG            § 28 Abs. 1                1 (m)                          Einstellung § 45 II JGG (erzieherische Maßnahme) SächsVersG 8 von 8
14