Corona Fall-Management in der JVA Waldheim

/ 26
PDF herunterladen
STAATSMINISTERIUM DER JUSTIZ UND FÜR DEI\4OKRATIE EUROPA UND GLEICHSTELLUNG           5          Freistaat SACHSEN Die Staatsministerin SACHSISCHES STAATSMINISTERIUM DER JUSTIZ UND FÜR                                   Durchwahl DEMOKRATIE, EUROPA UND GLEICHSTELLUNG Telefon +49 351 564-1 5000 Hospitalstraße 7 ll01097 Dresden Telefax +49 351 564-15009 staatsministerin@ Präsidenten des Sächsischen Landtages                                              smj.justiz.sachsen.de* Herrn Dr. Matthias Rößler Aktenzeichen Bern hard-von-Li ndena u-Platz 1                                                   (bitte bei Antwort angeben) 01067 Dresden                                                                      1 040E/46/239-KLR Dresden, /]r,traizozo Kleine Anfrage der Abgeordneten Juliane Nagel (DlE LINKE) Drs.-Nr:712142 Thema: Gorona Fall-Management in der JVA Waldheim Sehr geehrter Herr Präsident, den Fragen sind folgende Ausführungen vorangestellt: TOB                  MIT Vorbemerkung:                                                                                               , ,,Am 2.4.20 berichtete die LVZ von einem ersten positiven Gorona-Fall                                          a in der JVA Waldheim, betroffen sei ein Vollzugsbeamter. Noch am WWWJOB-MIT-J.DE gleichen Tag schrieb die GGBO von 7 Verdachtsfällen in der JVA Waldheim, was von seiten des Justizministerium dementiert wurde. Am 3.04 räumte das Justizministerium auf Anfrage der Bild ein, es Hausanschrift: gäbe jetzt doch einen Corona-Verdacht bei einem Gefangenen." der Justiz und für Demokratie, Europa und Gleichstellung Hospitalshaße 7 01097 Dresden Namens und im Auftrag der Sächsischen Staatsregierung beantworte ich www. justiz. sachsen. de/smj die Kleine Anfrage wie folgt: Verkehrsverbindung: Zu erreichen mit Straßenbahnlinien 3,6,7,8,     11 Aufgrund der dynamischen Situation der Corona-Pandemie und im Sinne Parken und behinderten- einer möglichst aktuellen Beantwortung der Fragen wurden alle Fragen bis            gerechter Zugang über Einfahrt Hospitalstraße 7 zum Stichtag 5. Mai 2020 beantwortet.                                               Hinweise zum Datenschue erhalten Sie auf unserer lnternetseite. Auf Wunsch senden wir lhnen diese Hinweise auch zu. tPer E-Mail kein Zugang fUr eleklronisch signierte sowie verschlüsselte elektronische Nachrichten; nähere lnformationen zur elektronischen Kommunikation mit dem Sächsischen Staatsministerium der Justiz und für Demokratie, Europa und Gleichstellung unter httos://M.iustiz.sachsen.de/E- Kommunikation-SMJ Seite 1 von 5
1

STAATSM]NISTER]UM DER JUSTIZ UND FÜR DEMOKRATIE EUROPA UND GLE]CHSTELLUNG      5    Freistaat SACHSEN Frage 1: Wie viele Menschen in den JVA (aufschlüsseln nach Gefangenen, Beamten und sonstigen Mitarbeitern) wurden getestet seit 01.03.20 und wer hat diese Testungen veranlasst. (bitte nach Datum aufschlüsseln) Frage 2: Bei wie vielen "Verdachtsfällen" gab es einen positiven Gorona-Befund und wie viele davon gehören welcher Risikogruppe an und welche Maßnahmen wurden von wem eingeleitet (Bsp. lsolierung auf der Quarantänestation, Einschluss, etc.)? Zusammenfassende Antwort auf die Fragen 1 und 2: Die Beantwortung der Fragen kann der Übersicht in der Anlage entnommen werden. Die Einstufung einer Person in eine Risikogruppe ist mangels abschließend festgelegter medizinischer Kriterien nicht möglich. Frage 3: Wann erfolgten Meldungen an das Gesundheitsamt? Meldungen    an das     Gesundheitsamt erfolgten umgehend         bei jedem     positiven Testergebnis. Darüber hinaus besteht stets eine fortlaufende gegenseitige Abstimmung zwischen Justizvollzugsanstalten und Gesundheitsämtern. Frage 4: Welche präventiven Maßnahmen wurden/werden ergriffen um eine Verbreitung von Corona zu verhindern und ab wann wurden jeweilige Einzelmaßnahmen ergriffen (Bsp. Desinfektionsmittel/Einmalhandschuhe verteilen, Atem- schutzmasken verteilen, regelmäßige Desinfektionsrunden, Hofgänge/ Ausbildung/Arbeit in Kleingruppen aufgeteilt, etc.)? (bitte nach Datum aufschlüsseln) Während des dynamischen Pandemieverlaufs wurden umfassende Maßnahmen zur Verhinderung der Verbreitung des Coronavirus in den Justizvollzugsanstalten ergriffen und fortlaufend   -  auch im Sinne eines abgestimmten Vorgehens der Länder               - Seite 2 von 5
2

STAATSMINISTERIUM DER JUSTIZ UND FÜR DEMOKRATIE EUROPA UND GLEICHSTELLUNG   5    Freistaat SACHSEN angepasst. Die im Sinne der Fragestellung relevantesten Maßnahmen stellen sich im Einzelfall wie folgt dar: a     9.  Kalendenvoche (KW): Prüfung und Aktualisierung         von Notfalleinsatz- und Pandemieplänen sowie Übermittlung von lnformationen zu allgemeinen Vorsorge- und Hygienemaßnahmen, Meldepflichten und weiteren Empfehlungen des Robert- Koch-lnstitutes (RKl) a     10. KW: Beginn eines             kontinuierlichen Austauschs zwischen den Justizvollzugsanstalten und den Gesundheitsämtern a      10. KW: Erfassung der             Unterbringungskapazitäten      in lsolier-   und Quarantänestationen a     ab 11. KW: Abfrage aller Besucherinnen und Besucher hinsichtlich Aufenthaltes     in Risikogebieten a     ab 12. KW: Schaffung von Kapazitäten für lsolier- und Quarantänestationen durch folgende Maßnahmen: - Aussetzung der Ladungen zu Ersatzfreiheitsstrafen, - Aussetzung der Ladungen zum Jugendarrest, - Aufschiebung der Vollstreckung von Freiheitsstrafen und Jugendstrafen von bis zu drei Jahren a     12. KW. Einschränkende Besuchsregelungen (Beschränkung auf Rechtsanwältinnen und Rechtsanwälte sowie enge Angehörige), Verlegungen/Besuchsüberstellungen nur noch bei zwingendem Erfordernis, organisatorische Trennung von offenem und geschlossenem Vollzug, Aussetzung von Lockerungen aus dem geschlossenen Vollzug, Anderungen der Vorgaben zum Aufnahmeverfahren (Fiebermessung, ggf. lsolierung), Aussetzung des länderübergreifenden Gefangenensammeltransports gemäß gemeinsamen Besch uss der Landesj ustizvenivaltu ngen I a     12. KW: Aussetzung des Besuches bis 17. Mai 2020 (ausgenommen                    nur notwendige Besuche von Rechtsanwältinnen und Rechtsanwälte); Begrenzung der Teilnehmendenzahl von Freizeit- und Behandlungsmaßnahmen in geschlossenen Räumen auf max. 12 Personen, Gebot der fortlaufenden und regelmäßigen lnformation der Gefangenenmitverantwortung (GMV); Einrichtung von Videobesuchsplätzen in allen Justizvollzugsanstalten a    ab 16. KW: Grundsätzliche Testung aller neuaufzunehmenden Gefangenen auf Coronavirus Seite 3 von 5
3

STAATSMINISTERIUM DER JUSTIZ UND FÜR DEMOKRATIE EUROPA UND GLEICHSTELLUNG     5      Freistaat SACHSEN a     16. KW: Verlängerung der Aussetzung des Gefangenensammeltransportes                     bis 30. April 2020 gemäß gemeinsamen Beschluss der Landesjustizvenvaltungen O     ab 17. KW: Tragepflicht von Mund-Nasen-Masken für Bedienstete bei Unterschreitung des Mindestabstandes; diese werden durch                die  sächsischen Justizvollzugsanstalten zur Verfügung gestellt. Gefangenen werden Mund-Nasen- Masken ebenfalls zur Verfügung gestellt, die Verwendung ist jedoch           - außer auf sensiblen Stationen, wie etwa dem Krankenhaus der Justizvollzugsanstalt Leipzig           - freiwi  ll ig ; Tragegebot von Mu nd-Nasen-Masken  du  rch externe Personen Darüber hinaus wurden im Rahmen der Dienstbesprechungen der Anstaltsleiterinnen und -leiter am 4. Mär22020,25. Mär22020,3. April 2020 und 22. April2O2O fortlaufend Themen des Pandemiegeschehens diskutiert und Maßnahmen                           im    Einzelfall abgestimmt. Frage 5: Wie viele Gefangenen wurden isoliert und/oder unter Quarantäne gestellt aber nicht getestet und warum wurden diese Gefangenen isoliert, jedoch nicht getestet? Grundsätzlich wurden             im  sächsischen Justizvollzug     im  Abfragezeitraum alle Gefangenen getestet, welche sich aufgrund des Verdachtes auf Covid-19 in lsolation bzw. Quarantäne befanden. Ausgenommen hiervon war ein kurzzeitiger, aus Sicherheitsgründen erfolgter Teil- Einschluss einer Station in der Justizvollzugsanstalt Dresden. Auf dieser befand sich ein Gefangener, der aus einem externen Krankenhaus zurückgekehrt war, in welchem er zu einem mit Corona infizierten Pfleger Kontakt gehabt haben soll. Der betroffene Gefangene wurde aus medizinischen Gründen isoliert. Der Verdacht des Kontaktes zu dem lnfizierten im Krankenhaus bestätigte sich später nicht. Der vorsorglich verfügte Einschluss der Mitgefangenen          - auch derjenigen, mit denen der betroffene Gefangene einen engen Kontakt im Sinne eines mindestens 15-minütigen ,,Face-to-face"-Kontaktes mit weniger als 1,5 Metern Mindestabstand hatte - wurde daraufhin aufgehoben^ Der betroffene Gefangene wurde vorsorglich trotzdem getestet. Nach Vorliegen des negativen Testergebnisses wurde die vorsorgliche lsolierung aus medizinischen Gründen aufgehoben. Die unter Einschluss genommenen Mitgefangenen wurden Seite 4 von 5
4

STAATSM]NISTERIUM DER JUSTIZ UND FÜR DEMOKRATIE EUROPA UND GLEICHSTELLUNG   5    Freistaat SACHSEN entsprechend der Vorgaben des RKI nicht mehr getestet, da kein Kontakt zu einem Corona-l nfektionsfall bestand. Ebenfalls eine Ausnahme stellten zwölf Gefangene der Jugendstrafuollzugsanstalt Regis-Breitingen dar, welche zwischen dem 24. Mär22020 und dem 13. April 2020 trotz lsolierung bzw. Quarantäne nicht getestet wurden. Grundlage für diese Entscheidung war die Einschätzung des medizinischen Dienstes, welche am Anfang des dynamischen Geschehens rund um die Corona-Pandemie Verdachtsfälle auf Grundlage eines zentral vorgegebenen Fragebogens          und der Zugangsuntersuchung identifizierte. Die obligatorische   Testung aller neu aufzunehmenden Gefangenen wurde nach Abstimmung mit den Gesundheitsämtern mit Erlass vom 9. April 2020 angeordnet und ab dem 14. April 2020   - nach dem Osterwochenende - umgesetzt. Ein weiterer Ausnahmefall bezieht sich auf die Rückverlegung eines Gefangenen aus dem Krankenhaus der Justizvollzugsanstalt Leipzig am 19. März 2020 in die Justizvollzugsanstalt Zeithain. Der Gefangene wurde vorsorglich aufgrund des Kontaktes zu einem Verdachtsfall im Vollzugskrankenhaus isoliert. Die vorsorgliche lsolation konnte am 20. März 2O2O aufgehoben werden, nachdem die Mitteilung der Justizvollzugsanstalt Leipzig mit Krankenhaus über das negative Testergebnis des Kontaktes vorlag. Mit freundlichen Grü ßen \                \f d Anlage 1 Übersicht Seite 5 von 5
5

JVA: Bautzen Zeitpunkt der Testung Einleitung welcher Maßnahmen (z.B. im Zeitraum 1. März                       Positiver                                       Einleitung der Isolierung auf Quarantänestation, 2020 bis 5. Mai 2020  Veranlasst durch Corona-Befund                                       Maßnahmen Einschluss, Trennung von Gefangenen (bitte einzeln                        ja/nein                                            durch anderer Bereiche auf Zugangsstation) aufschlüsseln!) Gefangene Gefangene/r 1             05.03.2020 Gefangene/r 2             14.03.2020            Arzt Gefangene/r 3             20.03.2020 Gefangene/r 4                                                    nein                   Isolierung            Anstaltsleitung 16.04.2020 22.04.2020 Gefangene/r 5                              Anstaltsleitung 20.04.2020 29.04.2020 Gefangene/r 6 21.04.2020 29.04.2020 Bedienstete Bedienstete/r 1           17.03.2020        Bediensteter nein          Arbeitsunfähigkeit attestiert    Hausarzt Bedienstete/r 2           18.03.2020        Bedienstete Sonstige (externe) Mitarbeiter
6

JVA: Chemnitz Zeitpunkt der Testung Einleitung welcher Maßnahmen (z.B. im Zeitraum 1. März                       Positiver                                       Einleitung der Isolierung auf Quarantänestation, 2020 bis 5. Mai 2020  Veranlasst durch Corona-Befund                                       Maßnahmen Einschluss, Trennung von Gefangenen (bitte einzeln                        ja/nein                                            durch anderer Bereiche auf Zugangsstation) aufschlüsseln!) Gefangene Gefangene/r 1        13.03.2020 Gefangene/r 2        16.03.2020 Gefangene/r 3        16.03.2020 Gefangene/r 4        16.03.2020 Gefangene/r 5        16.03.2020 Gefangene/r 6        19.03.2020 Gefangene/r 7        23.03.2020 Gefangene/r 8        25.03.2020 Gefangene/r 9        26.03.2020 Gefangene/r 10       27.03.2020 Gefangene/r 11       02.04.2020 Gefangene/r 12       14.04.2020 Gefangene/r 13       14.04.2020 Arzt             nein Gefangene/r 14       20.04.2020                                       Trennung von Gefangenen anderer Anstaltsleitung Gefangene/r 15       20.04.2020                                          Bereiche auf Zugangsstation Gefangene/r 16       21.04.2020 Gefangene/r 17       21.04.2020 Gefangene/r 18       23.04.2020 Gefangene/r 19       24.04.2020 Gefangene/r 20       24.04.2020 Gefangene/r 21       24.04.2020 Gefangene/r 22       24.04.2020 Gefangene/r 23       24.04.2020 Gefangene/r 24       24.04.2020 Gefangene/r 25       27.04.2020 Gefangene/r 26       27.04.2020
7

Gefangene/r 27     30.04.2020 Arzt   nein Gefangene/r 28     04.05.2020 Bedienstete Bedienstete/r 1    23.03.2020 Bedienstete/r 2    24.03.2020 Vorsorgliche Dienstfreistellung auf Bedienstete/r 3    24.03.2020 Hausarzt nein                                     Anstaltsleitung Anweisung JVA Bedienstete/r 4    24.03.2020 Bedienstete/r 5    27.04.2020 Sonstige (externe) Mitarbeiter
8

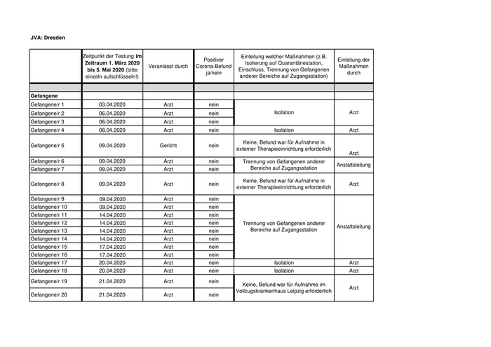
JVA: Dresden Zeitpunkt der Testung im                                  Einleitung welcher Maßnahmen (z.B. Positiver                                            Einleitung der Zeitraum 1. März 2020                                      Isolierung auf Quarantänestation, Veranlasst durch Corona-Befund                                            Maßnahmen bis 5. Mai 2020 (bitte                                 Einschluss, Trennung von Gefangenen ja/nein                                                 durch einzeln aufschlüsseln!)                                 anderer Bereiche auf Zugangsstation) Gefangene Gefangene/r 1         03.04.2020              Arzt             nein Gefangene/r 2         06.04.2020              Arzt             nein                     Isolation                     Arzt Gefangene/r 3         06.04.2020              Arzt             nein Gefangene/r 4         08.04.2020              Arzt             nein                     Isolation                     Arzt Keine, Befund war für Aufnahme in Gefangene/r 5         09.04.2020            Gericht            nein externer Therapieeinrichtung erforderlich Arzt Gefangene/r 6         09.04.2020              Arzt             nein       Trennung von Gefangenen anderer Anstaltsleitung Gefangene/r 7         09.04.2020              Arzt             nein          Bereiche auf Zugangsstation Keine, Befund war für Aufnahme in Gefangene/r 8         09.04.2020              Arzt             nein                                                   Arzt externer Therapieeinrichtung erforderlich Gefangene/r 9         09.04.2020              Arzt             nein Gefangene/r 10        09.04.2020              Arzt             nein Gefangene/r 11        14.04.2020              Arzt             nein Gefangene/r 12        14.04.2020              Arzt             nein       Trennung von Gefangenen anderer Anstaltsleitung Gefangene/r 13        14.04.2020              Arzt             nein          Bereiche auf Zugangsstation Gefangene/r 14        14.04.2020              Arzt             nein Gefangene/r 15        17.04.2020              Arzt             nein Gefangene/r 16        17.04.2020              Arzt             nein Gefangene/r 17        20.04.2020              Arzt             nein                     Isolation                     Arzt Gefangene/r 18        20.04.2020              Arzt             nein                     Isolation                     Arzt Gefangene/r 19        21.04.2020              Arzt             nein Keine, Befund war für Aufnahme im Arzt Vollzugskrankenhaus Leipzig erforderlich Gefangene/r 20        21.04.2020              Arzt             nein
9

Keine, Befund war für Aufnahme im Gefangene/r 21     21.04.2020 Arzt nein                                               Arzt Vollzugskrankenhaus Leipzig erforderlich Gefangene/r 22     21.04.2020 Arzt nein Trennung von Gefangenen anderer Gefangene/r 23     21.04.2020 Arzt nein                                          Anstaltsleitung Bereiche auf Zugangsstation Gefangene/r 24     21.04.2020 Arzt nein Keine, Befund war für Aufnahme im Gefangene/r 25     21.04.2020 Arzt nein                                               Arzt Vollzugskrankenhaus Leipzig erforderlich Trennung von Gefangenen anderer Gefangene/r 26     24.04.2020 Arzt nein                                          Anstaltsleitung Bereiche auf Zugangsstation Keine, Befund war für Aufnahme im Gefangene/r 27     27.04.2020 Arzt nein                                               Arzt Vollzugskrankenhaus Leipzig erforderlich Gefangene/r 28     27.04.2020 Arzt nein Gefangene/r 29     27.04.2020 Arzt nein Gefangene/r 30     27.04.2020 Arzt nein   Trennung von Gefangenen anderer Anstaltsleitung Gefangene/r 31     27.04.2020 Arzt nein       Bereiche auf Zugangsstation Gefangene/r 32     27.04.2020 Arzt nein Gefangene/r 33     28.04.2020 Arzt nein Gefangene/r 34     29.04.2020 Arzt nein Isolation                     Arzt Gefangene/r 35     01.05.2020 Arzt nein Gefangene/r 36     04.05.2020 Arzt nein Gefangene/r 37     04.05.2020 Arzt nein   Trennung von Gefangenen anderer Anstaltsleitung Gefangene/r 38     05.05.2020 Arzt nein       Bereiche auf Zugangsstation Gefangene/r 39     05.05.2020 Arzt nein Trennung von Gefangenen anderer Gefangene/r 40     05.05.2020 Arzt nein                                          Anstaltsleitung Bereiche auf Zugangsstation Bedienstete Sonstige (externe) Mitarbeiter
10

Zur nächsten Seite