Vergabe von Hochschulgraden

/ 14
PDF herunterladen
STAATSMINISTERIUM                 Freistaat FÜR WISSENSCHAFT                 SACHSEIN KULTUR UND TOURISMUS Der Staatsminister STAATSMINISTERIUM FÜR WISSENSCHAFT, KULTUR UND TOURISMUS                       Aktenzeichen Postfach 10 09 20 I 01079 Dresden                                             (bitte bei Antwort angeben) L-1053/8/5-2020/4993 Präsidenten des Sächsischen Landtages                                          Dresden, Herrn Dr. Matthias Rößler                                                              Februar 2020 Bernhard-von-Lindenau-Platz 1 01067 Dresden Kleine Anfrage des Abgeordneten Dr. Rolf Weigand (AfD) Drs.-Nr.: 7/1499                                                                 iBlfNDUSTHiE, KULTUR. Thema: Vergabe von Hochschulgraden                                                       SACHSEN. Sehr geehrter Herr Präsident, Boom. 500 Jahre den Fragen sind folgende Ausführungen vorangestellt;                             Industriekultur In Sachsen www.boom-5achsen.de „Das Sächsische Hochschulfreiheitsgesetz (SächsHSFG) regelt in §39 und §40 die Voraussetzungen für den Erwerb von Hochschulgraden." Namens und im Auftrag der Sächsischen Staatsregierung beantworte ich die Kleine Anfrage wie folgt: Zertifikat seit 3007 «Mfit berufundfamilie Frage 1: Wie viele Personen mit dem Hochschulgrad „Diplom",„Master" oder „Magister" bzw. mit einem erfolgreich bestandenem „Staatsexa men" wurden in den letzten zehn Jahren zur Promotion (nach §40 Abs. 2 SächsHSFG) an sächsischen Hochschulen zugelassen und haben diese erfolgreich abgeschlossen? (Bitte pro Jahr für jede Hochschule unter Angabe des erworbenen Hochschulgrades aufschlüsseln.)                   Hausanschrift: Staatsministerium für Wissenschaft, Kultur Frage 2: Wie viele Personen mit dem Hochschulgrad „Bachelor" wurden            und Tourismus in den letzten zehn Jahren zur Promotion (nach §40 Abs. 3 SächsHSFG)           Wigardstraße 17 01097 Dresden an sächsischen Hochschulen zugelassen und haben diese erfolgreich              (Straßenbahnlinien 3,6,7, 8,13) abgeschlossen?(Bitte pro Jahr für jede Hochschule aufschlüsseln.) Staatsministerin für Kultur und Tourismus Frage 3:                                                                       Königsbrücker Straße 29 01099 Dresden Wie viele Fachhochschulabsolventen wurden in den letzten zehn Jahren (Straßenbahnlinien 7, 8) im Rahmen eines kooperativen Promotionsverfahrens zur Promotion (nach §40 Abs.4 SächsHSFG)an sächsischen Hochschulen zugelassen                Für Besucher mit Behinderungen stehen Parkplätze am jeweiligen und haben diese erfolgreich abgeschlossen? (Bitte pro Jahr für jede            HIntereIngang zur Verfügung. Hochschule unter Angabe des erworbenen Hochschulgrades aufschlüs www.smwk.sachsen.de seln.) Der Empfang von elektronisch signierten und verschlüsselten Dokumenten ist via DE-Mail möglich: ministerium@smwk-sachsen.de-mail.de
1

STAATSMINISTERIUM              Freistaat FÜR WISSENSCHAFT              SACH SEIN KULTUR UND TOURISMUS Frage 4: Welche zusätzlichen Voraussetzungen (EIgnungsfeststellungsverfahren, zusätzli che Studienleistungen, Rigorosum etc.) müssen Absolventen mit dem Hochschul grad "Bachelor" oder Fachhochschulabsolventen erfüllen, um an den einzelnen sächsischen Hochschulen zur Promotion zugelassen zu werden? (Bitte für jede Hochschule einzeln angeben.) Frage 5: Wie viele Personen ohne abgeschlossenes Hochschulstudium haben in den letz ten zehn Jahren durch eine erfolgreiche Promotion (nach §40 Abs. 7 SächsHSFG) einen berufsqualifizierenden Abschluss und den Hochschulgrad (nach § 39 Abs. 1 Satz 1 SächsHSFG)erlangt?(Bitte pro Jahr für Jede Hochschule unter Angabe des erworbenen Hochschulgrades aufschlüsseln.) Zusammenfassende Antwort auf die Fragen 1 bis 5: Zur Beantwortung der Kleinen Anfrage wurden die Universitäten und Kunsthochschulen gebeten, die Daten zu den vorgenannten Fragen zu übermitteln. Die Beiträge sind als Anlagen 1 bis 8 beigefügt. Die Palucca Hochschule für Tanz Dresden hat mitgeteilt, dass in dem von der Anfrage erfassten Zeitraum kein Promotionsverfahren an der Hochschule durchgeführt wurde. Mit freundlichen Grüßen Sebastian Gemkow 8 Anlagen Seite 2 von 2
2

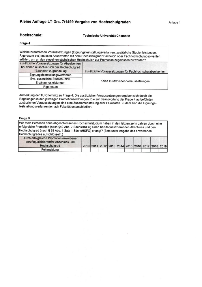
Kleine Anfrage LT-Drs. 7/1499 Vergabe von Hochschulgraden                                                        Anlage 1 Hochschule:                                     Technische Universität Chemnitz Vorbemerkung der TU Chemnitz zu den Fragen 1 bis 3: Promotionsverfahren liegen in der Hand der Fakultäten und richten sich nach den jeweiligen Promotionsordnungen der Fakultäten. Aufgrund der knappen Frist war es leider nicht in allen Fakultäten möglich, die letzten zehn Jahre komplett zu erfassen, da die Unterlagen früherer Jahre teilweise bereits archiviert sind. Die folgenden Zahlen sind daher für die Jahre 2017 bis 2019 als vollständig zu bewerten. Für die davor liegenden Jahre konnten die Zahlen zum Teil nicht erfasst werden, so dass die realen Zahlen ggf. höher sind als angegeben. Frage 1 Wie viele Personen mit dem Hochschulgrad „Diplom", „Master" oder „Magister" bzw. mit einem erfolgreich bestandenem „Staatsexamen" wurden in den letzten zehn Jahren zur Promotion (nach §40 Abs. 2 SächsHSFG) an sächsischen Hochschulen zugelassen und haben diese erfolgreich abgeschlossen? (Bitte pro Jahr unter Angabe des erworbenen Hochschulgrades aufschlüsseln.) Anzahl der erfolgreich abgeschlossenen Promotionen mit folgenden Abschlüssen        2010 2011 2012 2013 2014 2015 2016 2017 2018 2019 Diplom                       56     58    85     79    69    81     70    70     62     44 Master                       14      5    11      7    16    20     33    38     62     61 Magister                              1                         1           7      4      3 Staatsexamen                                                        5     7     3      9      4 Frage 2 Wie viele Personen mit dem Hochschulgrad „Bachelor" wurden in den letzten zehn Jahren zur Promotion (nach §40 Abs. 3 SächsHSFG)an sächsischen Hochschulen zugelassen und haben diese erfolgreich abgeschlossen? (Bitte pro Jahr aufschlüsseln.) Hochschulgrad                   2010 2011 2012 2013 2014 2015 2016 2017 2018 2019 Anzahl der erfolgreich abgeschlossenen Promotionen, denen ausschließlich der Hochschulgrad "Bachelor" zugrunde lag            1                        1                          1 Anmerkung TU Chemnitz zu Frage 2: Es wurden auch ausländische Bachelorabschlüsse berücksichtigt. Frage 3(betrifft nur Universitäten Wie viele Fachhochschulabsolventen wurden in den letzten zehn Jahren im Rahmen eines kooperativen Promotionsverfahrens zur Promotion (nach §40 Abs. 4 SächsHSFG)an sächsischen Hochschulen zugelassen und haben diese erfolgreich abgeschlossen? (Bitte pro Jahr unter Angabe des envorbenen Hochschulgrades aufschlüsseln.) Anzahl der erfolgreich abgeschlossenen kooperativen Promotionsverfahren         2010 2011 2012 2013 2014 2015 2016 2017 2018 2019 Bachelor Diplom (bzw. DIplom-Ing.(FH))                     2     3      5     3      1     3     1      1      1 Master                                                  1      1     2     3      4
3

Kleine Anfrage LT-Drs. 7/1499 Vergabe von Hochschulgraden                                                 Anlage 1 Hochschule:                                     Technische Universität Chemnitz Frage 4 Welche zusätzlichen Voraussetzungen (Eignungsfeststellungsverfahren, zusätzliche Studienleistungen, Rigorosum etc.) müssen Absolventen mit dem Hochschuigrad "Bachelor" oder Fachhochschulabsolventen erfüllen, um an den einzelnen sächsischen Hochschulen zur Promotion zugelassen zu werden? Zusätzliche Voraussetzungen für Absolventen, bei denen ausschließlich der Hochschulgrad "Bachelor"zugrunde lag               Zusätzliche Voraussetzungen für Fachhochschulabsolventen Eignungsfeststellungsverfahren Evtl. zusätzliche Studien- bzw. Keine zusätzlichen Voraussetzungen Ergänzungsleistungen Rigorosum Anmerkung der TU Chemnitz zu Frage 4: Die zusätzlichen Voraussetzungen ergeben sich durch die Regelungen in den jeweiligen Promotionsordnungen. Die zur Beantwortung der Frage 4 aufgeführten zusätzlichen Voraussetzungen sind eine Zusammenstellung aller Fakultäten. Zudem sind die Eignungs- feststellungsverfahren je nach Fakultät unterschiedlich. Frage 5 Wie viele Personen ohne abgeschlossenes Hochschulstudium haben in den letzten zehn Jahren durch eine erfolgreiche Promotion (nach §40 Abs. 7 SächsHSFG)einen berufsqualifizierenden Abschluss und den Hochschulgrad (nach § 39 Abs. 1 Satz 1 SächsHSFG)erlangt? (Bitte unter Angabe des erworbenen Hochschulgrades aufschlüsseln.) Durch erfolgreiche Promotion erworbener berufsqualifizierender Abschluss und Hochschulgrad                 2010 2011 2012 2013 2014 2015 2016 2017 2018 2019 Fehlmeldung
4

Kleine Anfrage LT-Drs. 7/1499 Vergabe von Hochschulgraden                                                    Anlage 2 Hochschule:                                    Technische Universität Dresden Frage 1 Wie viele Personen mit dem Hochschulgrad „Diplom", „Master" oder „Magister" bzw. mit einem erfolgreich bestandenem „Staatsexamen" wurden in den letzten zehn Jahren zur Promotion (nach §40 Abs. 2 SächsHSFG) an sächsischen Hochschulen zugelassen und haben diese erfolgreich abgeschlossen? (Bitte pro Jahr unter Anzahl der erfolgreich abgeschlossenen Promotionen mit folgenden Abschlüssen       2010 2011 2012 2013 2014 2015 2016 2017 2018 2019 Diplom                                                                      242    205 Master                                                                      251    258 Magister                                                                      21     10 Staatsexamen (abgeschlossen)           678    687    651  680    700   775    762   761    12     14 Staatsexamen (zum Zeitpunkt des Promotionsabschlusses noch laufend)                                                          133    143 Weitere Abschlüsse (z. B. internationale)                                                       83     72 Anmerkung TU Dresden zu Frage 1: Die geforderten Zahlen, aufgeschlüsselt nach den Hochschulgraden, liegen für die Jahre 2010 - 2017 nicht vor. Es liegen nur die Gesamtzahlen der Promotionsabschlüsse vor. Erst nach der Einführung der Promovierendenstatistik wurden die hier erforderlichen Merkmale zum Studium vor der Promotion zusätzlich erhoben, sodass erst ab diesem Zeitpunkt diese Daten statistisch auswertbar sind. Frage 2 Wie viele Personen mit dem Hochschulgrad „Bachelor" wurden in den letzten zehri Jahren zur Promotion (nach §40 Abs. 3 SächsHSFG)an sächsischen Hochschulen zugelassen und haben diese erfolgreich abgeschlossen? (Bitte pro Jahr aufschlüsseln.) Hochschulgrad                 2010 2011 2012 2013 2014 2015 2016 2017 2018 2019 Anzahl der erfolgreich abgeschlossenen Promotionen, denen ausschließlich der Sind in den Zahlen unter Frage 1 berücksichtigt (siehe auch Anmerkung zu Frage 1) Hochschulgrad "Bachelor" zugrunde lag                                                                   5 Wie viele Fachhochschulabsolventen wurden in den letzten zehn Jahren im Rahmen eines kooperativen Promotionsverfahrens zur Promotion (nach §40 Abs. 4 SächsHSFG)an sächsischen Hochschulen zugelassen und haben diese erfolgreich abgeschlossen? (Bitte pro Jahr unter Angabe des erworbenen Hochschulgrades aufschlüsseln.) Anzahl der erfolgreich abgeschlossenen kooperativen Promotionsverfahren        2010 2011 2012 2013 2014 2015 2016 2017 2018 2019 Bachelor Diplom                     14    22     17   21     24    24     24    11      8      8 Master                                                                         5     11 Anmerkung TU Dresden zur Frage 3: Darüber hinaus werden FH-Absolventen auch im Rahmen von regulären Promotionsverfahren angenommen (Abschlüsse 2018: 18, 2019: 20)- Bezogen auf die Jahre 2010-2017 gilt auch hier die Anmerkung zu Frage 1
5

Kleine Anfrage LT-Drs. 7/1499 Vergabe von Hochschulgraden                                              Anlage 2 Hochschule:                                   Technische Universität Dresden Frage 4 Welche zusätzlichen Voraussetzungen (Eignungsfeststellungsverfahren, zusätzliche Studienleistungen, Rigorosum etc.) müssen Absolventen mit dem Hochschulgrad "Bachelor" oder Fachhochschulabsolventen erfüllen, um an den einzelnen sächsischen Hochschulen zur Promotion zugelassen zu werden? Zusätzliche Voraussetzungen für Absolventen, bei denen ausschließlich der Hochschulgrad "Bachelor"zugrunde lag             Zusätzliche Voraussetzungen für Fachhochschulabsolventen In der Promotionsordnung der jeweiligen Fakultät geregelt                          Keine zusätzlichen Voraussetzungen Wie viele Personen ohne abgeschlossenes Hochschulstudium haben in den letzten zehn Jahren durch eine erfolgreiche Promotion (nach §40 Abs. 7 SächsHSFG)einen berufsqualifizierenden Abschluss und den Hochschulgrad (nach § 39 Abs. 1 Satz 1 SächsHSFG)erlangt? (Bitte unter Angabe des enworbenen Hochschulgrades aufschlüsseln.) Durch erfolgreiche Promotion erworbener berufsqualifizierender Abschluss und Hochschulgrad                2010 2011 2012 2013 2014 2015 2016 2017 2018 2019 Fehlmeldung
6

Kleine Anfrage LT-Drs. 7/1499 Vergabe von Hochschulgraden                                                  Anlage 3 Hochschule:                                   Technische Universität Bergakademie Freiberg Frage 1 Wie viele Personen mit dem Hochschuigrad „Diplom", „Master" oder „Magister" bzw. mit einem erfolgreich bestandenem „Staatsexamen" \wurden in den letzten zehn Jahren zur Promotion (nach §40 Abs. 2 SächsHSFG) an sächsischen Hochschulen zugelassen und haben diese erfolgreich abgeschlossen? (Bitte pro Jahr unter Angabe des envorbenen Hochschulgrades aufschlüsseln.) Anzahl der erfolgreich abgeschlossenen Promotionen mit folgenden Abschlüssen      2010 2011    2012 2013 2014 2015 2016 2017 2018 2019 Diplom                      16    27    42     80    74    69    64    63     48   34 Master                       5     8     17    18    29    28    25    43     46   44 Magister                                                      1                  1   0 Staatsexamen Frage 2 Wie viele Personen mit dem Hochschulgrad „Bachelor" wurden in den letzten zehn Jahren zur Promotion (nach §40 Abs. 3 SächsHSFG)an sächsischen Hochschulen zugelassen und haben diese erfolgreich abgeschlossen? (Bitte pro Jahr aufschlüsseln.) Hochschulgrad                 2010 2011 2012 2013 2014 2015 2016 2017 2018 2019 Anzahl der erfolgreich abgeschlossenen Promotionen, denen ausschließlich der Hochschulgrad "Bachelor" zugrunde lag                                  1 FragefS (betrifft Wie viele Fachhochschulabsolventen wurden in den letzten zehn Jahren im Rahmen eines kooperativen Promotionsverfahrens zur Promotion (nach §40 Abs. 4 SächsHSFG)an sächsischen Hochschulen zugelassen und haben diese erfolgreich abgeschlossen? (Bitte pro Jahr unter Angabe des erworbenen Hochschulgrades aufschlüsseln.) Anzahl der erfolgreich abgeschlossenen kooperativen Promotionsverfahren        2010 2011 2012 2013 2014 2015 2016 2017 2018 2019 Bachelor/Diplom/Master               9     5     7      5     3     10    7     9      6    6 Frage 4 Welche zusätzlichen Voraussetzungen (Eignungsfeststellungsverfahren, zusätzliche Studienleistunqen. Zusätzliche Voraussetzungen für Absolventen, bei denen ausschließlich der Hochschulgrad "Bachelor" zugrunde lag             Zusätzliche Voraussetzungen für Fachhochschulabsolventen Herausragender Studienerfolg und Keine zusätzlichen Voraussetzungen Eignungsfeststellungsverfahren
7

Kleine Anfrage LT-Drs. 7/1499 Vergabe von Hochschulgraden                                            Anlage 3 Hochschule:                                Technische Universität Bergakademie Freiberg Frage 5 Wie viele Personen ohne abgeschlossenes Hochschulstudium haben in den letzten zehn Jahren durch eine Durch erfolgreiche Promotion erworbener berufsqualifizierender Abschluss und Hochschulgrad               2010 2011 2012 2013 2014 2015 2016 2017 2018 2019 Fehlmeldung
8

Kleine Anfrage LT-Drs. 7/1499 Vergabe von Hochschulgraden                                              Anlage 4 Hochschule:                                Universität Leipzig Frage 1 Wie viele Personen mit dem Hochschuigrad „Diplom", „Master" oder „Magister" bzw. mit einem erfolgreich bestandenem „Staatsexamen" wurden in den letzten zehn Jahren zur Promotion (nach §40 Abs. 2 SächsHSFG)an sächsischen Hochschulen zugelassen und haben diese erfolgreich abgeschlossen? (Bitte pro Jahr unter Angabe des erworbenen Hochschuigrades aufschlüsseln.) Anzahl der erfolgreich abgeschlossenen Promotionen mit folgenden Abschlüssen 2010 2011 2012 2013 2014          2015 2016 2017 2018 2019 Diplom                  129   149   143   151   145    140  128   103    88    59 Master                  28     35   42    64    62     119  120   156   181    212 Magister                 60    52     79   59    74     III  72     59    20    26 Staatsexamen                268   306   284   259   279   261   210   251   242    288 Frage 2 Wie viele Personen mit dem Hochschuigrad „Bachelor" wurden in den letzten zehn Jahren zur Promotion (nach §40 Abs. 3 SächsHSFG)än sächsischen Hochschulen zugelassen und haben diese erfolgreich abgeschlossen? (Bitte pro Jahr aufschlüsseln.) Hochschuigrad               2010  2011 2012 2013 2014 2015 2016 2017 2018 2019 Anzahl der erfolgreich abgeschlossenen Promotionen, denen ausschließlich der      1    3     1     3     3      6    2     4            1 Hochschuigrad "Bachelor" zugrunde lag Frage 3(betrifft Wie viele Fachhochschulabsolventen wurden in den letzten zehn Jahren im Rahmen eines kooperativen Promotionsverfahrens zur Promotion (nach §40 Abs. 4 SächsHSFG)an sächsischen Hochschulen zugelässen und haben diese erfolgreich abgeschlossen? (Bitte pro Jahr unter Angabe des erworbenen Hochschulgrades aufschlüsseln.) Anzahl der erfolgreich abgeschlossenen kooperativen Promotionsverfahren      2010 2011 2012 2013 2014 2015 2016 2017 2018 2019 Bachelor Diplom                    3     2     9     4     4      3    3     3     2      8 Master                                           1      2    2     1            2 Frage 4 Welche zusätzlichen Voraussetzungen (EIgnungsfeststellungsverfahren, zusätzliche Studienielstungen, Rigorosum etc.) müssen Absolventen mit dem Hochschuigrad "Bachelor" oder Fachhochschulabsolventen erfüllen, um an den einzelnen sächsischen Hochschulen zur Promotion zugelassen zu werden? Zusätzliche Voraussetzungen für Absolventen, bei denen ausschließlich der Hochschuigrad "Bachelor" zugrunde lag    Zusätzliche Voraussetzungen für Fachhochschulabsolventen EIgnungsfeststellungsverfahren Weitere Studien- oder Prüfungsleistungen              Keine zusätzlichen Voraussetzungen Mindestnote (Bachelor)
9

Kleine Anfrage LT-Drs. 7/1499 Vergabe von Hochschulgraden                                            Anlage 4 Hochschule:                                Universität Leipzig Frage 5 Wie viele Personen ohne abgeschlossenes Hochschulstudium haben in den letzten zehn Jahren durch eine erfolgreiche Promotion (nach §40 Abs. 7 SächsHSFG)einen berufsqualifizierenden Abschluss und den Hochschulgrad (nach § 39 Abs. 1 Satz 1 SächsHSFG)erlangt? (Bitte unter Angabe des erworbenen Hochschulgrades aufschlüsseln.) Durch erfolgreiche Promotion en/vorbener berufsqualifizierender Abschluss und Hochschulgrad               2010 2011 2012 2013 2014 2015 2016 2017 2018 2019 Fehlmeldung
10

Zur nächsten Seite