SKM_C45819050615430

Dieses Dokument ist Teil der Anfrage „Kommunikation Interministerielle Arbeitsgruppe Anpassung

/ 86
PDF herunterladen
IV-EW-09 Zuverlässigkeit der Energieversorgung
erkehr, Verkehrsinfrastruktur

1.4; 1.8; 5.14; 9.15;
5.47; 6.8; 7.22, 7.23

III-VE-01

itze- und Frostschäden an ‚Straßen,

II-VE-02 Schienen, Startbahnen ALIEARST LIE

 

 

1.18; 1.19; 1.20;
1.21; 1.22; 1.23;
1.24; 1.25; 1.26;
I, 1.27; 1.28; 1.29;
ransportkapazität re 1.30;.1.31; 1.32;
III-VE-03 Binnenschifffahrt Er 5 5,41

) berschwemmung und Unterspülung
II-VE-04 on Straßen und Schienen

1.7; 1.9; 1.16

 

Das Handlungsfeld Bauwesen zeigt in Bezug auf alle dargestellten Klimawirkungen eine hohe
potenzielle Betroffenheit. So geht es zum einen um die Schäden an.der baulichen Infrastruktur durch
Extremereignisse, aber auch um die menschliche Gesundheit und das Wohlbefinden bei Hitzewellen.
Die Maßnahmen/Instrumenten haben überwiegend eine indirekte Wirkung und sind bisher nicht
ausreichend, um mögliche negative Klimawirkungen wirksam zu reduzieren.
Im Handlungsfeld Energie weisen die Klimawirkungen für thermische Kraftwerke und Schäden an
Kraftwerken und Erzeugungsanlagen ein besonderes Handlungserfordernis auf, weichem bisher nicht
mit geeigneten Maßnahmen/Instrumenten begegnet wird.
> In Ergänzung werden daher folgende direkt wirkende Instrumente vorgeschlagen, welche

zur Prüfung Ihrer Potenziale in den APA-Entwurf aufgenommen werden sollten (in Tab.

„Lückenanalyse“ grün markiert):

2.11 Anpassung des Bauordnungsrechts an Klimarisiken

4.8 Integration von Klimaanpassung in das Bund-Länder-Programm Soziale Stadt

2.12 Festschreibung erhöhter Energieeffizienzstandards in der Energieeinsparverordnung

(EnEV)

8.14 Überprüfung von Wärmelastplänen unter veränderten hydrologischen und

Temperaturbedingungen

1.34 Berücksichtigung von Klimarisiken in der Standortplanung von Kraftwerken
79

Lückenanalyse Cluster Land

Klimawirkung

Instrumente/Maßnahmen
Handlungserfordernis (siehe Tabellen I-M)

direkte indirekte

27 Wirkung Wirkung

4.3; 5.1; 5.30;
6.2; 6.5; 7.1; 7.2

5.9; 5.10; 5.42

      
    
    
         
    
      
         
      

 
 
 
  

   
 

Produktionsfunktionen
(Standortstabilität,
Bodenfruchtbarkeit)

Boden-Biodiversität,
mikrobielle Aktivität

   

1-BO-03

  
       

I-BO-04

  
 

1.2; 4.3; 5.1;
5.27; 6,6, 7.5;

 

 
  

|
I ass 1
EI
Biotope und Habitate

Landwirtschaft

I-LW-01 Agrophänologische Phasen
und Wachstumsperiode

I-LW-03 Trocken- und Frostschäden a
Schädlinge und

ob Pflanzengesundheit En

I-LW-05

 
 
  

  

Schäden durch Extreme
80

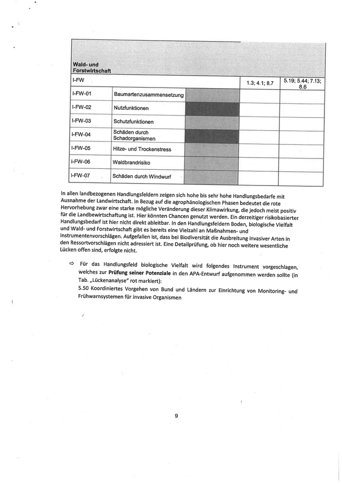
Wald- und
Forstwirtschaft

   
    
 

. , 5.19; 5.44; 7.13;

 
 
 

 

 

 
 
 

Nutzfunktionen

 

 

Schutzfunktionen

Schäden durch
Schadorganismen

 
  
 

 

 

  
 

 

   
  
 

   
  
  

Hitze- und Trockenstress

I-FW-06 Waldbrandrisiko 13
I-FW-07 . Schäden durch Windwurf :

In allen landbezogenen Handlungsfeldern zeigen sich hohe bis sehr hohe Handlungsbedarfe mit
Ausnahme der Landwirtschaft. In Bezug auf die agrophänologischen Phasen bedeutet die rote
Hervorhebung zwar eine starke mögliche Veränderung dieser Klimawirkung, die jedoch meist positiv
für die Landbewirtschaftung ist. Hier könnten Chancen genutzt werden. Ein derzeitiger risikobasierter
Handlungsbedarf ist hier nicht direkt ableitbar. In den Handlungsfeldern Boden, biologische Vielfalt
und Wald- und Forstwirtschaft gibt es bereits eine Vielzahl an Maßnahmen- und
Instrumentenvorschlägen. Aufgefallen ist, dass bei Biodiversität die Ausbreitung invasiver Arten in
den Ressortvorschlägen nicht adressiert ist. Eine Detailprüfung, ob hier noch weitere wesentliche
Lücken offen sind, erfolgte nicht.

”» Für das Handlungsfeld biologische Vielfalt wird folgendes Instrument vorgeschlagen,
welches zur Prüfung seiner Potenziale in den APA-Entwurf aufgenommen werden sollte (in
Tab. „Lückenanalyse” rot markiert):

5.50 Koordiniertes Vorgehen von Bund und Ländern zur Einrichtung von Monitoring- und
Frühwarnsystemen für invasive Organismen
81

Lückenanalyse Cluster Gesundheit

Klimawirkung
Instrumente/Maßnahmen

Handlungserfordernis (siehe Tabellen I-M)

direkte EN ö
hoch een indirekte Wirkung

Menschliche Gesundheit

3.2; 5.2; 5.16;
5.21; 5.25; 5.49;

V-GE 6.7; 7.19

V-GE-01 | Hitzestress

| Atembeschwerden durch

V-GE-02 | bodennahes Ozon

arena) Überträger von 5.13; 5.17; 5.18;

V-GE-03 | Krankheitserregern 5.33; 5,37; 7.4
Belastung der
Rettungsdienste,

V-GE-04 | Krankenhäuser und Ärzte

Bevölkerungsschutz
3.1; 6.3

 

Menschliche Gesundheit zählt zu den zentralen Handlungsfeldern, weil im Rahmen des
Vulnerabilitätsnetzwerkes die Klimawirkung Hitze gerade in Bezug auf Ballungsräume (räumlich)
sowie in Bezug auf vulnerable Gruppen (sozial) als besonders wichtig hervorgehoben wurde. Die
bisherigen Ressortvorschläge decken dieses Thema kaum ab und fokussieren verstärkt auf
Überträger von Krankheitserregern. Hier ist eine eklatante Lücke offensichtlich.

> In Ergänzung werden daher folgende Instrumente vorgeschlagen, welche zur Prüfung ihrer
Potenziale in den APA-Entwurf aufgenommen werden sollten (in Tab. „Lückenanalyse“ rot
markiert): .
5,49 Durchführung eines Forschungsprojektes zur Evaluierung der Integration des Aspektes
Klimaresilienz von Heimstätten in den entsprechenden Ländergesetzen/-verordnungen
2,10 Integration von Klimaanpassung in die Technischen Regeln für Arbeitsstätten ASR A3.5
8.15 Erarbeitung eines Hitzeaktionsplans auf Ebene des Bundes oder der Länder
2.9 Integration von Klimawandel und Klimaanpassung in die Sozialgesetzbücher V und Xl
4.8 Integration von Klimaanpassung in das Bund-Länder-Programm Soziale Stadt (bereits bei

Cluster Infrastrukturen aufgeführt)

10
82

Lückenanalyse Cluster Wirtschaft

Klimawirkung

Instrumente/Maßnahmen
Handlungserfordernis (siehe Tabellen 1-M)

{eg 100}
Wirkung

  

indirekte Wirkung

  
 
   

 
 

Gefahr einer möglichen
Freisetzung von gefährlichen
Stoffen

Industrie und Gewerbe
Schäden’ an gewerblicher und

IV-IG-01
industrieller Infrastruktur durch

IV-IG-02 Extremereignisse 4

Beeinträchtigung des
IV-IG-03 landgestützten Warenverkehrs ee

Fr
Beeinträchtigung von N
Produktionsprozessen und
IV-1G-04 Logistik

Beeinträchtigung der
Produktion auf Grund von
IV-IG-05 Wasserknappheit

IV-IG-06 Energieverbrauch für Kühlung
IV-IG-07 Verfügbarkeit von Energie

Klimawirkungen auf
IV-IG-08

Absätzmärkte
IV-IG-09
V-TOU-01_ | Betriebsunterbrechungen

|
Klimabedingte Anforderungen

IV-TOU-02_ | an touristische Infrastruktur
Saisonale und regionale

IV-TOU-03_ | Nachfrageverschiebung

Finanzwirtschaft
Klimawandels auf die

Versicherungswirtschaft
Auswirkungen des
nn | Klimawandels auf die
IV-FiW-02 | Bankenwirtschaft

Im Cluster Wirtschaft zeigen sich Handlungserfordernisse vor allem im Handlungsfeld Industrie und
Gewerbe. Bisher.nicht adressiert wird die Gefahr einer möglichen Freisetzung von gefährlichen

  
    

    
 
 
 
 
    
 

 
           
 

   

  

Planungsprozesse für
Betriebsabläufe

  
  
  
   
 
  
 

   
  
   

 
  

Auswirkungen des

 
 
    
 

11
83

‚Stoffen, Klimawirkungen mit Bezug zu Logistik und Warenverkehr werden primär mit Maßnahmen
aus den Bereichen Schifffahrts- und Schienenverkehr begegnet. Offen bleibt, ob auch im Bereich der
Bundesautobahnen Handlungsbedarf besteht. Eine vertiefte Analyse, ob im Cluster Wirtschaft
weiterer Handlungsbedarf des Bundes besteht, kann mit dieser kurzen Lückenanalyse nicht erfolgen.

Lückenanalyse Cluster Raumordnung

Für dieses Cluster wurden im Netzwerk Vulnerabilität keine Klimawirkungen zugeordnet. Es fällt
jedoch auf, dass das Thema „Climate proofing“ nicht erwähnt wird, welches bereits im APA I
thematisiert wurde. Es ist ein zentrales Prüfelement für Planungen und Vorhaben im Rahmen der
Aufstellungs- bzw. Genehmigungsverfahren und kann damit eine hohe Breitenwirkung für
klimaangepasste Infrastrukturen sowie die Raum- und Fachplanungen entfalten.

> Für das Handlungsfeld Raumordnung wird daher folgendes Instrument vorgeschlagen,
welches zur Prüfung seiner Potenziale in den APA-Entwurf aufgenommen werden sollte (rot
markiert):
2.15 Einführung einer verpflichtenden Klimafolgenprüfung („Climate proofing“) für Pläne,
Programme und Vorhaben
84

Tischvorlage zur 20. Sitzung der IMA Anpassungsstrategie am 9.3.2015

Tischvorlage zu TOP 6:
Vorbereitung und Durchführung des Konsultationsprözesses

Begleitend zur Erarbeitung des Fortschrittsberichtes erfolgt ein Konsultationsprozess, der
eine Online-Konsultation und eine Anhörung sowie die Konsultation der Länder umfasst.
Grundlage wird ein Konsultationspapier, das Teile des Entwurfs des Fortschrittsberichtes
enthält.

. Ziele des Konsultationsprozesses

Die Konsultation zielt darauf ab, Rückmeldungen zum Konsultationspapier und damit
zentralen Inhalten des Fortschrittsberichtes, insbesondere zum APA 2, zu erhalten.
Zielgruppe der Konsultation ist die Fachöffentlichkeit. Hierbei sollen insbesondere diejenigen
Akteure adressiert werden, die auf unterschiedlichen Ebenen und in verschiedenen Sektoren
mit der Entwicklung und Umsetzung von Anpassungsstrategien und -maßnahmen befasst
sind.

Vorschlag zum generellen Ablauf des Konsultationsprozesses

Aufbauend auf dem Entwurf des Konsultationspapiers soll im März/April ein Fragebogen für
die Online-Konsultation erarbeitet und im April/Mai zusammen mit dem Konsultationspapier
online gestellt werden. Der Fragebogen umfasst etwa 15 Fragen und dient dazu,
Einschätzungen der Fachöffentlichkeit zum Konsultationspapier zu erhalten (z. B.
Ausrichtung von DAS und Fortschrittsbericht, Nachvoliziehbarkeit der Aussagen zur
Vulnerabilität und der Maßnahmen des APA 2; ggf. Hinweise für weitere Maßnahmen). Die
Einladung zur Beteiligung geht an einen breiten Verteiler (Vertreter/innen aus Behörden,
Wirtschaft, Zivilgesellschaft und Wissenschaft), der in ähnlicher Form bei früheren
Onlinebefragungen des UBA genutzt wurde und weiter ergänzt wird.

Am 22.06. oder 23.6.2015 (KW 26) führt das BMUB eine eintägige Anhörung zum
Konsultationspapier mit etwa 50 Teilnehmenden in Bonn durch. Die Einladung erfolgt durch
das BMUB an einen geschlossenen Verteiler, der Länder- sowie Verbandsvertreter/innen
aus Wirtschaft und Zivilgesellschaft umfasst. Die Online-Konsultation ist der Anhörung
vorgeschaltet, sodass erste Auswertungen dort bereits einfließen und diskutiert werden
können. Um diese Verzahnung zu ermöglichen, sollte die Online-Konsultation spätestens
drei Wochen vor der Anhörung abgeschlossen bzw. sieben Wochen vor der Anhörung online
geschaltet werden.

Zeitlich parallel! übermittelt BMUB den Bundesländern über den AFK das
Konsultationspapier zur detaillierten Kommentierung.
85

Tischvorlage zur 20. Sitzung der IMA Anpassungsstrategie am 9.3.2015

Im Anschluss werden alle Konsultationsschritte ausgewertet und zusammengeführt, um
hieraus Empfehlungen für die weitere Bearbeitung des Fortschrittsberichtes (Finalentwurf in
KW 35) abzuleiten.

Vorteile der Vorgehensweise

Durch die Kombination von Online-Konsultation und Anhörung können verschiedene
Zielgruppen erreicht werden. Die Online-Konsultation ermöglicht die breite Beteiligung aller
Interessierten. Mit der Anhörung werden gezielt besonders relevante Akteure eingebunden.
Während die Online-Konsultation einen breiten Überblick über die Meinung der Stakeholder
gibt und Aussagen zur Akzeptanz des Fortschrittsberichtes ermöglicht, werden in der
Anhörung einzelne Themenbereiche vertieft.
86