Microsoft Word - 72. Sitzung_2019-12-12_endg_öff.docx

/ 237
PDF herunterladen
Vorläufiges Stenografisches Protokoll 19/72 1. Untersuchungsausschuss Nur zur dienstlichen Verwendung Dr. Volker Ullrich (CDU/CSU): Aber was haben                  die hinter der Gefährdungsbewertung standen - - Sie sich gedacht, dass der Herr M. nach der Be-              kamen immer wieder deutlich zum Ausdruck. sprechung Ihnen Erwägungen über die Glaub- würdigkeit einer VP mitteilt, obwohl diese Erwä-             Dr. Volker Ullrich (CDU/CSU): Hat denn Herr M. gungen eigentlich in die Sitzung gehört hätten?               in diesem Gespräch mit Ihnen auch das Bundes- innenministerium oder den Bundesinnenminis- Zeuge Dieter Killmer: Ich kann Ihnen nicht mehr              ter erwähnt? sagen, was ich gedacht habe. Ich kann Ihnen eben noch sagen, KHK M. war zum einen in diesem                   Zeuge Dieter Killmer: Daran habe ich überhaupt Zwiespalt, er hat es in einem Vieraugen-                      gar keine Erinnerungen. Auch da habe ich in den gespräch - das hat er auch ganz ausdrücklich                  letzten Wochen natürlich intensiv versucht, mich gesagt - - er hat es eben in einem Vieraugen-                 daran zu erinnern. Da kommt keine Erinnerung. gespräch von EKHK - - Dr. Volker Ullrich (CDU/CSU): Aber ich sage mal Dr. Volker Ullrich (CDU/CSU): Also, darf ich                  so: Wenn er gesagt hätte, das BKA sei auf Anwei- kurz einhaken?                                                sung des Bundesinnenministers oder des -innen- ministeriums angewiesen worden, dann wäre das Zeuge Dieter Killmer: Bitte.                                  doch - das müssen Sie bitte auch zugeben - ein erstaunlicher, außergewöhnlicher Sachverhalt. Dr. Volker Ullrich (CDU/CSU): Er hat Ihnen ganz               Also, ist es dann nicht so, dass die fehlende Erin- bewusst gesagt bei dem Gespräch, Herr M.: Also,               nerung vielleicht auch ein Stück weit darauf hin- Herr Kollege Killmer, das ist jetzt explizit ein              deutet, dass dem nicht so wäre? Vieraugengespräch. - Also, das können Sie sich erinnern?                                                     Zeuge Dieter Killmer: Da sind jetzt drei Aspekte drin. Das eine ist: Das ist ja eine Bewertung, die Zeuge Dieter Killmer: Nein, nein, nein, nicht das             Sie im Ergebnis vornehmen müssen, die mir gar mit mir, sondern er habe die Information in dem               nicht zusteht. Sie merken ja selbst - und darauf Vieraugengespräch - -                                         bin ich nicht stolz, darüber bin ich nicht glück- lich -, dass meine Erinnerung tatsächlich einfach Dr. Volker Ullrich (CDU/CSU): Ja, klar. Und                   relativ oberflächlich ist. Ich habe versucht inner- er hat Ihnen davon berichtet, auch unter vier                 halb der letzten Wochen, mich sehr intensiv da- Augen.                                                        ran zu erinnern. Mehr Erinnerung habe ich nicht. Und der ganze Vorfall an sich ist ja erstaunlich, Zeuge Dieter Killmer: Genau, er hat mir davon                 erstaunlich genug, dass man jedenfalls im Nach- berichtet, genau. Wie gesagt, wir arbeiten seit vie-          hinein betrachtet angesichts der Geschehnisse, len Jahren jetzt auch wirklich sehr vertrauensvoll            die geschehen sind, so oder so Anlass hätte, sich zusammen. Deswegen hatte er auch den Ein-                     daran zu erinnern, unabhängig davon, ob jetzt je- druck - - sich da an diesem Punkt mir anvertraut              mand aus dem BMI darauf noch Einfluss genom- und hat mir das geschildert. Und er war auch                  men hätte oder nicht. aufgebracht darüber - - Wir haben auch später noch - da kann ich Ihnen aber auch keine ge-                 Dr. Volker Ullrich (CDU/CSU): Haben Sie denn nauen Umstände geben, bei welchen Gelegen-                   nach dieser kurzen Unterredung mit Herrn M. heiten - - sind wir auch noch mal auf die Bewer-             irgendwas veranlasst, einen Aktenvermerk oder tung der VP01 durch das BKA und die aus seiner                eine Gedächtnisstütze? Sicht dahinterstehenden, ich sage mal, die wah- ren Gründe aus seiner Sicht, die hinter der Ge-              Zeuge Dieter Killmer: Nein. fährdungsbewertung stehen, zu sprechen ge- kommen. Auch da schwang immer wieder der                     Dr. Volker Ullrich (CDU/CSU): Sie sagen, Sie Zorn, ist vielleicht falsch gesagt, aber die Ver-            sind dann nach dieser kurzen Besprechung am wunderung über eben die sachwidrigen Aspekte,                gleichen Abend in Karlsruhe - 19. Wahlperiode                     Deutscher Bundestag - Stenografischer Dienst                    Seite 17 von 226
231

Vorläufiges Stenografisches Protokoll 19/72 1. Untersuchungsausschuss Nur zur diewillichen \,/,_ .rweriitiung - wir sind also jetzt schon einen Tag weiter -                   Zeuge Dieter Killmer: Was für sich genommen ja auch verständlich wäre durchaus; das muss man dann hat das seitens NRW - offen                       sagen. und intern gesagt - auch nichts mehr mit divergierenden Bewer-                         Dr. Fritz Felgentreu (SPD): Ja. tungen zu tun, sondern grenzt an Lügen. Und der Text verbunden mit den fragmentarischen Halb-                         Zeuge Dieter Killmer: Aber es scheint so zurs-a- infos, die spärlich fließen und mit                    g.exi. Müssen Sie ihn fragen. Wie gesagt, wäre aus hanebüchenen Bewertungsversu-                          meiner Sicht nicht ungewöhnlich. Natürlich ist chen verbunden werden, würde                           Gefährdungsbewertung - das sagte ich ja einge- ich als Berlin den Typ hier auch                       hend - eine gefahrengeneigte Sache. Liegt auf der nicht rumspringen lassen.                              Hand. Aber ich kann Ihnen dazu nicht mehr sagen; es tut mir leid. Wahrnehmung habe ich Ich verstehe „den Typ" hier als bezogen auf die                  nicht. VP01. - Können Sie das nachvollziehen oder - - Ich glaube nicht, dass hier Amri gemeint ist, son-              Dr. Fritz Felgentreu (SPD): Ja, ist insgesamt abso- dern die VP01.                                                   lut nachvollziehbar. Ansonsten haben Sie alle Fragen, auf die ich mich vorbereitet habe, zu die- Zeuge Dieter Kühner: Es klingt so; aber ich habe                sem Thema eigentlich schon in den vorgegange- keine weiteren Wahrnehmungen als Sie dazu,                       nen Besprechungen und Fragerunden beantwor- weil ich ja in den Schriftverkehr nicht eingebun-                tet. den war. Vielleicht doch noch mal eine eher allgemeine Dr. Fritz Felgentreu (SPD): Wir können ja den                    Nachfrage: Sie sagten ja, Sie waren mit dem Verfasser der E-Mail auch noch mal fragen.                       Formelkompromiss, der am Ende erreicht wurde, eigentlich zufrieden. Waren Sie das deswegen, Zeuge Dieter Killmer: Ja, das müssten Sie dann                   weil Sie selber auch überzeugt waren von der tun. Das ist für mich - - Das fällt mir genauso - -              Glaubwürdigkeit der VP01 und ein Interesse da- Oder ich habe dieselbe Perspektive wie Sie und                   ran hatten, die zu schützen? keine größere. Zeuge Dieter Killmer: Ich war deshalb damit zu- Dr. Fritz Felgentreu (SPD): Und jetzt noch mal                   frieden, aus zweierlei Aspekten. Das eine ist: Ich der zeitliche Kontext, den ich spannend finde.                   war nach den Ausführungen der VP-Führer, die Das PIAS-Protokoll wurde verschickt um                           ich so noch nicht erlebt habe - ich habe es ja auch 12.22 Uhr am 23. Februar. Der Gruppenleiter                      eingangs gesagt -, was mich auch sehr beein- Kurenbach springt um 14.21 Uhr darauf an und                     druckt hat - - so ruhig und besonnen dort aufge- fragt dann über Kurzhals bei R              und K                treten sind und so eingehend, ruhig und beson- nach. Deswegen meine Frage: Hat zu dem Zeit-                     nen geschildert haben, wie sie mit der VP01 die punkt, als Kurenbach da nachfasst, das Gespräch                  Jahre über zusammengearbeitet haben, dass die bei Ihnen, beim GBA, schon stattgefunden?                        VP01 durch verschiedene VP-Führer-Hände ge- gangen ist, wie sehr die VP eingebunden ist in Zeuge Dieter Killmer: Das kann ich Ihnen leider                  die Szene durch diese Fürsprache zweier in nicht sagen; das tut mir leid.                                   islamistischen Kreisen Führender - - von Füh- rungspersonen eingebunden sei. Und ich muss Dr. Fritz Felgentreu (SPD): Also, es scheint je-                auch sagen: Ich habe auch durch die Ermittlun- denfalls so zu sein, als hätte Herr Kurenbach ein               gen einen großen Respekt, gerade was die VP01 lebhaftes Interesse daran, was bei Ihrem Ge-                    betrifft, dafür bekommen, mit welchem Risiko spräch als handlungsleitendes Ergebnis festge-                  die sich dort auch einsetzt, muss man nicht zu- halten wurde.                                                   letzt sagen, für uns alle einsetzt, um dort Infor- mationen zu erlangen - - dass es mir schon auch 19. Wahlperiode                        Deutscher Bundestag - Stenografischer Dienst                    Seite 29 von 226
232

Vorläufiges Stenografisches Protokoll 19/72 1. Untersuchungsausschuss uc   Lui' dienstlichen Verwendung jetzt nicht zwingend erschlossen, dass die Gefahr           Zeuge Dieter Killmer: Ist richtig. erneut bestünde. Thomas Seitz (AfD): - und das ist hier nur ein Es ist ja auch so: Dass überhaupfdiese Gefähr-               Ausnahmefall. Und er berichtet Ihnen jetzt im dungsbewertungen für das Ermittlungsverfahren               Anschluss, er habe jetzt gerade gehört, da spielt eine solche Relevanz entfaltet haben, auch das              zumindest auch eine sachfremde Motivation eine war singulär. Das habe ich weder davor noch da-              Rolle. Und für Sie bedeutet das ja, Ihr Verfahren nach erlebt, also dass eine VP eingesetzt war und            ist damit in Gefahr. Und da hätte ich dann schon sich überhaupt die Frage gestellt hat, dass - -              erwartet, dass Sie da etwas besorgter, vielleicht Oder sagen wir es mal so: Nicht jeder VP-Hin-                auch empörter sind, weil ich da schon sehe - - weis beinhaltet ja einen Gefahrenüberhang. Es                Wenn eine nicht sachbezogene Motivation eine gibt Hinweise, da gibt es neben Ermittlungsver-              Rolle spielt, dann ist die ja nicht aus der Welt, fahren tatsächlich noch Anlass für gefahrenab-               weil man jetzt in dem Moment mal nachgegeben wehrende Maßnahmen, weil es um ein konkretes                 hat. in Aussicht stehendes Anschlagsszenario zum Beispiel geht. Das ist ja auch nicht der Regelfall.          Zeuge Dieter Killmer: Wenn Sie das so unterstel- Regelmäßig hat man ja zurückliegende Tatgesche-              len - - Aber gleichwohl eben eine nicht sachbezo- hen, die man strafrechtlich zu bewerten versucht.            gene, die Gefährdungsbewertung betreffende Mo- Deswegen: Das ist schon singulärer. Und dass                 tivation. Die Gefährdungsbewertung ist nichts, man dann noch eine VP eingesetzt hat, kommt                  was normalerweise meine Ermittlungsverfahren auch dann nicht mehr so oft vor. Dass dann noch              tangiert. Es war eben in diesem Fall tatsächlich Gefährdungsbewertungen der VP und unsere Be-                 die Ausnahme, dass die Gefährdungsbewertung wertung im Zuge des Ermittlungsverfahrens di-                so weit reichte, dass sie die VP als solche - - Und vergieren und so stark divergieren, das habe ich             ich habe ja versucht, deutlich zu machen, dass al- davor oder danach nicht erlebt. Das war tatsäch-             leine schon eine singuläre Situation - Ermitt- lichthier so. Und deswegen jetzt Anlass, zu be-              lungsverfahren plus Gemengelage plus VP plus fürchten, Sorge zu tragen, dass sich das wieder-             Gefährdungsbewertung und dann noch Diver- holt, mehrfach, stetig, hatte ich nicht.                     genz - - die ist schon so singulär, wie ich weder davor noch danach gemacht habe. Ich hatte kei- Thomas Seitz (AfD): Dann muss ich es konkreter               nen Anlass, mir deswegen jetzt grundlegend Sor- formulieren: Die Vorbehalte seitens des BKA, die            gen zu machen. Für mich war ausreichend, dass im Rahmen der Besprechung vorgetragen waren,                 jenseits der Gefährdungsbewertung, die ich nicht waren ja sachlich begründet. Man kann anderer                vornehmen muss und auch nicht vornehmen Auffassung sein; aber das waren ja sachbezogene              möchte, weil das wirklich eine schwierige Prog- Gründe.                                                      noseentscheidung ist, die Möglichkeit bestand, die VP weiterhin auch gegenüber dem Ermitt- Zeuge Dieter Killmer: Ist richtig.                          lungsrichter als aus meiner Sicht belastbar darzu- stellen und damit Ermittlungsmaßnahmen darauf Thomas Seitz (AfD): Und jetzt kommt im An-                  zu stützen. schluss der Herr M., von dem Sie gesagt hatten, das sei eine positive Ausnahmeerscheinung auch              Thomas Seitz (MD): Okay. - Das Gespräch zwi- in Bezug auf Integrität - -                                 schen Ihnen und dem Herrn M.: Sie sagten, wo das stattfand, können Sie nicht mehr erinnern. Zeuge Dieter Killmer: Womit ich nichts gegen                Grober Zeitrahmen? andere sagen möchte, gegen andere Beamte. Zeuge Dieter Killmer: Ich habe ja gesagt: Wenn Thomas Seitz (AfD): Nein, nein. Aber jetzt                  Sie mich so nach der Priorisierung, wer in wel- schon - - Sie haben ja auch gesagt, es ist nicht der        cher Reihenfolge was erfahren hat, dann würde Normalfall, dass Sie sich mit Polizeibeamten du-            ich mal - - zen, - 19. Wahlperiode                    Deutscher Bundestag - Stenografischer Dienst                   Seite 54 von 226
233

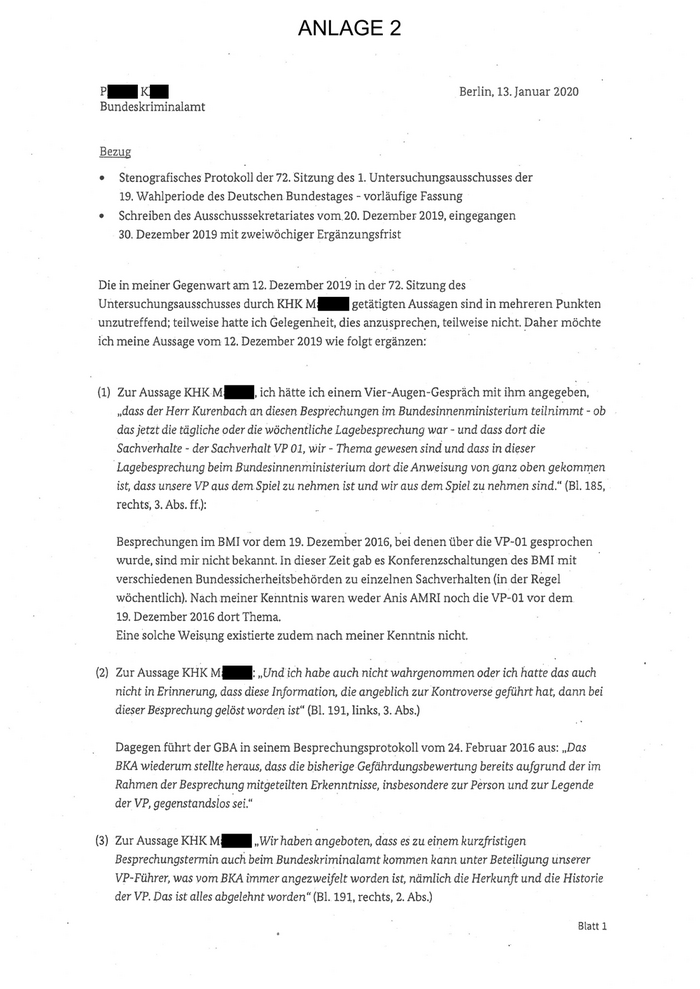
ANLAGE 2 P        K                                                              Berlin, 13. Januar 2020 Bundeskriminalamt Bezug •    Stenografisches Protokoll der 72. Sitzung des 1. Untersuchungsausschusses der 19. Wahlperiode des Deutschen Bundestages - vorläufige Fassung •    Schreiben des Ausschusssekretariates vom 20. Dezember 2019, eingegangen 30. Dezember 2019 mit zweiwöchiger Ergänzungsfrist Die in meiner Gegenwart am 12. Dezember 2019 in der 72. Sitzung des Untersuchungsausschusses durch KHK M                 getätigten Aussagen sind in mehreren Punkten unzutreffend; teilweise hatte ich Gelegenheit, dies anzusprechen, teilweise nicht. Daher möchte ich meine Aussage vom 12. Dezember 2019 wie folgt ergänzen: (1) Zur Aussage KHK M            , ich hätte ich einem Vier-Augen-Gespräch mit ihm angegeben, „dass der Herr Kurenbach an diesen Besprechungen im Bundesinnenministerium teilnimmt - ob das jetzt die tägliche oder die wöchentliche Lagebesprechung war - und dass dort die Sachverhalte - der Sachverhalt VP 01, wir - Thema gewesen sind und dass in dieser Lagebesprechung beim Bundesinnenministerium dort die Anweisung von ganz oben gekommen ist, dass unsere VP aus dem Spiel zu nehmen ist und wir aus dem Spiel zu nehmen sind." (BI. 185, rechts, 3. Abs. ff.): Besprechungen im BMI vor dem 19. Dezember 2016, bei denen über die VP-01 gesprochen wurde, sind mir nicht bekannt. In dieser Zeit gab es Konferenzschaltungen des BMI mit verschiedenen Bundessicherheitsbehörden zu einzelnen Sachverhalten (in der Regel wöchentlich). Nach.meiner Kenntnis waren weder Anis AMRI noch die VP-01 vor dem 19. Dezember 2016 dort Thema. Eine solche Weisung existierte zudem nach meiner Kenntnis nicht. (2) Zur Aussage KHK M             : „Und ich habe auch nicht wahrgenommen oder ich hatte das auch nicht in Erinnerung, dass diese Information, die angeblich zur Kontroverse geführt hat, dann bei dieser Besprechung gelöst worden ist" (B1.191, links, 3. Abs.) Dagegen führt der GBA in seinem Besprechungsprotokoll vom 24. Februar 2016 aus: „Das BKA wiederum stellte heraus, dass die bisherige Gefährdungsbewertung bereits aufgrund der im Rahmen der Besprechung mitgeteilten Erkenntnisse, insbesondere zur Person und zur Legende der VP, gegenstandslos sei." (3) Zur Aussage KHK M              „Wir haben angeboten, dass es zu einem kurzfristigen Besprechungstermin auch beim Bundeskriminalamt kommen kann unter Beteiligung unserer VP-Führer, was vom BKA immer angezweifelt worden ist, nämlich die Herkunft und die Historie der VP. Das ist alles abgelehnt worden" (B1.191, rechts, 2. Abs.) Blatt 1
234

An ein solches Angebot habe ich keine Erinnerung. In den Sitzungen der AG Operativer Informationsaustausch (geheim) zum Thema AMRI bzw. VP-01 hatten die anwesenden bzw. telefonisch zugeschalteten Vertreter des LKA NRW bzw. der EK Ventum mehrfach Gelegenheit, Bewertungen vorzutragen. (4) Zur Aussage KHK M             : „Spätestens nach der Sitzung am 02.02., als es aufgekommen ist, habe ich in vielen, vielen langen Gesprächen mit dem Herrn R            der für den Sachverhalt „Amri" zuständig gewesen ist seinerzeit - - ihm das alles umfangreich geschildert. Das war bekannt." (B1.191, links, 7. Abs.) Die Legendierung der VP-01 als „anschlagsgeneigt" war mir bis zur Besprechung beim GBA am 23. Februar 2016 nicht bekannt. Erst dort wurde dies EKHK R                und mir mitgeteilt, was unsererseits zu einer Änderung der Bewertung der Glaubwürdigkeit der VP-01 führte. Siehe dazu: Unter (2) genannter Auszug des GBA-Protokolls; Schreiben des LKA NRW, KHK M        , vom 24. Februar 2016; Schreiben des BKA vom 2. März 2016 (Aussagen der VP „nicht mehr unglaubhaft"). Darüber hinaus möchte anmerken: (5) Zur Frage des MdB Dr. Felgentreu nach dem Inhalt der VS-Mail des LKA NRW vom 24. Februar 2016, an deren Inhalt sich KHK M             nicht erinnern konnte (B1, 197, links, 6. Abs. ff): Es handelt sich um die von EKHK R             und mir bei der GBA-Besprechung erbetene schriftliche Bestätigung des KHK M             zur Legende der VP-01 als anschlagsgeneigt. Diese Übermittlung zeigt, dass dem BKA diese Information zuvor nicht bekannt war. Sie ist jedoch wesentlich für die Bewertung der Glaubwürdigkeit der VP-01. Siehe dazu u. a. Schreiben des BKA vom 2. März 2016 (Aussagen der VP „nicht mehr unglaubhaft"). Das Unverständnis über die späte Übermittlung zeigt sich u. a. in meiner internen E-Mail vom 24. Februar 2016 („fragmentarische Halbinfos"). (6) Zusammenfassend zur Einschätzung der Glaubwürdigkeit der Person VP -01: Das BKA hat grundsätzlich keine Zuständigkeit für die Bewertung der Glaubwürdigkeit von Vertrauenspersonen, die durch ein Bundesland geführt werden. Aussagen zur Glaubwürdigkeit der VP-01 haben EKHK R                  und ich daher nur vor dem Hintergrund der Bewertung der Eintrittswahrscheinlichkeit von Einzelszenarien getroffen. In diesen Zusammenhängen äußerten wir solange Zweifel an der Glaubwürdigkeit der VP-01, wie dem BKA die Information zur Legende „anschlagsgeneigt" nicht vorlag und die VP-01 zu parallelen Anschlagsszenarien berichtete. Grundsätzliche Zweifel an der Glaubwürdigkeit der VP -01 bestanden hingegen nicht (siehe auch BIM -Chronologie, 23. Februar 2016, „Nach Bewertung des BKA berichtet die VP [...] zutreffend zu relevanten Personengeflechten [...]"). Blatt 2
235

(7) Zusammenfassend zur Einschätzung der Gefährlichkeit von Anis AMRI als Person: Die Zuständigkeit für die Einschätzung der Gefährlichkeit von Anis AMRI lag nicht in der Zuständigkeit des BKA, sondern in der des Bundeslandes, in dessen polizeirechtlicher Zuständigkeit er sich bewegte. Das Instrument RADAR-iTE, das seil Juli 2017 eine Gesamtbetrachtung auf Bundesebene ermöglicht, stand 2016 noch nicht zur Verfügung. Das zuständige Bundesland NRW stellte fest, dass Tatsachen die Annahme rechtfertigen, dass AMRI in Zukunft schwere Straftaten begehen wird und stufte ihn im Februar 2016 als ,Gefährden" ein. Die Maßnahmen obliegen damit dem zuständigen Bundesland. Seitens des BKA erfolgte - auf Grund der Einschätzung der Gefährlichkeit von Anis AMRI durch das LKA NRW - die Unterstützung des LKA NRW aus dem Bereich der Gefährdungssachbearbeitung (Amtshilfe Auslesen des Mobiltelefons, Schriftverkehr ITA und TUN, Feststellung der Staatsangehörigkeit, Auswertung Audio-Dateien). (8) Zusammenfassend zur Bewertung der Anschlagsszenarien: Eine Zuständigkeit des BKA als Zentralstelle ist die Bewertung der Eintritts- wahrscheinlichkeit für bestimmte Anschlagszenarien auf einer Skala von 1 bis 8. Das LKA NRW legte dem BKA verschiedene solcher Einzelsachverhalte vor, die u. a. auf den Aussagen der VP-01 beruhten und die durch das BKA jeweils einzeln bewertet wurden. Hinsichtlich eines den AMRI betreffenden Sachverhaltes erfolgte zuletzt eine .Bewertung von 5/8. (9)     Aus meiner Sicht kann festgehalten werden: Weder das LKA NRW noch die EK Ventum erhoben seinerzeit Widerspruch gegen die übermittelten Schriftstücke, die die gemeinsamen Bewertungen enthielten. Das BKA hat das LKA NRW in seiner Funktion als Zentralstelle und als Gefährdungsbewertungsstelle bei den in dortiger Zuständigkeit zu bearbeitenden Vorgängen im Kontext AMRI unterstützt. Das BKA hat die Glaubwürdigkeit der VP-01 nicht in Zweifel gezogen, als alle relevanten Informationen vorlagen. Bei diesen Vorgängen waren EKHK R             und ich die federführenden Beamten, Weisungen hinsichtlich der Bewertungen gab es nicht. Die fachlichen Stellungnahmen zu den Anschlagsszenarien wurden mit der Sachgebiets- und Referatsleitung abgestimmt. Blatt 3
236

ANLAGE 3 Vorläufiges Stenografisches Protokoll 19/72 1. Unte uchungsee seliess bleibe ich auch heute noch dabei und bin ich                 Länderspiel selbst gemacht hat. Nichtsdestotrotz auch damals dabeigeblieben, dass es eine - - Nach            gab es ja damals die Koinzidenz der Ereignisse, Sachvortrag ist das eine exklusive Bewertung                 nämlich das Info-Board am 17,11. bzw. die zwei vom ST 33 gewesen, die denen auch sicherlich                 Info-Boards am 17.11., wo wir zunächst vorgetra- zusteht, weil die wesentlich mehr Expertise dazu             gen haben. Ich meine, ich hatte die Uhrzeit auch haben und nicht nur die Landeslage oder die Ein-             damals angegeben, müsste ich jetzt noch mal zellage, sehen, sondern auch die bundesweite Ge-             nachschauen, wann es genauer gewesen ist. Dort fahrdungslage; auch das hatte ich hier gesagt.               hatten wir unseren Sachverhalt, BAO „15/11", vorgetragen, nämlich die Anschläge „kleiner und Aber dass wir sozusagen nach Vorlage dieses                 grober Bums". Schreibens abgenickt haben, das stimmt nicht. Und ich hatte das auch gesagt in Bezug auf die              Und wie ich nachher erfahren habe, gab es wohl Info-Boards: Auch hier gab es ja unterschiedliche            weitere Erkenntnisse von einer anderen Behörde, Auffassungen. Wenn Sie sich die Protokolle vor               die sich aber auf das Länderspiel bezogen haben. Augen führen, sprechen die immer von einer Ein-              Und als ich in den Flieger eingestiegen bin, war vernahmlichkeit; die ist aber auch nicht gegeben.            eigentlich der gemeinsame Nenner gewesen: "Die Das ergibt sich nämlich im Vergleich dazu, zu               beiden Sachen haben nichts miteinander zu tun", unseren, ich sage mal, Gedächtnisprotokollen,               und als ich ausgestiegen bin, ist das Länderspiel die unser Landesvertreter geschrieben hat, wo               abgesagt gewesen. Und man hat offensichtlich sehr deutlich wird, dass wir eine durchaus diffe-           beide Informationen zusammengenommen, zu- renzierte Meinung nicht nur dazu hatten, son-               sammengezogen. dern auch sehr intensiv vorgetragen haben, die aber auch keine Berücksichtigung gefunden hat.              Jetzt war damals das LKA Niedersachsen ja so- Und in diesen Fällen, zu dieser Zeit, muss man              wohl für das Länderspiel zuständig als Gefahren einfach so sagen, standen wir mit unserer Mei-              abwehrende zuständige Behörde als auch für den nung relativ eNsreee da. Und es ist uns niemand             Sachverhalt BAO „15/11". Es ist durchaus denk- gefolgt.                                                    bar und wahrscheinlich, dass auch dort beide In- L   1-4 —e I    G 1‚.                                    formationen, Gefahrensachverhalte zusammenge- Vorsitzender Klaus-Dieter Gröhler: Okay, danke              worfen worden sind, zu Recht auch, wir befinden schön. - Dann gehen wir weiter zur SPD, und                 uns ja wirklich im Nachhinein der Anschläge Herr Dr. Felgentreu fragt.                                  vom 13.11.; das sind vier Tage später. Und aus der Retrospektive, kann man auch nur sagen, ist Dr. Fritz Felgentreu (SPD): Ja, danke, Herr Vor-             da wahrscheinlich auch die richtige Entschei- sitzender. - Ich versuche ja immer, irgendwie mir            dung getroffen worden bei der Gefahrenlage. zu erklären, warum im Sinne Ihrer Erklärung,                Aber unsere VP seihst hatte zu dem Länderspiel Herr KHK M., die Hausleitung bzw. der Gruppen-              nicht berichtet, sondern zu einem anderen Gefah- leiter überhaupt so ein Interesse entwickeln                rensachverhalt. könnte an dem Fall. Nun gab es doch einen Zu- sammenhang zwischen Aussagen der VP01 und                   Dr. Fritz Felgentreu (SPD): Ja, und nun sah ja an der Absage des Länderspiels in Hannover. Kön-               dem Tag der Innenminister nicht so wahnsinnig nen Sie mir da noch mal auf die Sprünge helfen?             gut aus wegen dieses berühmten Satzes mit: Ich kann dazu nichts sagen; meine Antworten könn- Zeuge M.: Das Thema hatten wir ja beim letzten              ten die Öffentlichkeit verunsichern. - Da gab es ja Mal schon.                                                  dann auch eine entsprechende, ja zum Teil spöt- tische Reaktion in der Öffentlichkeit auf diese Dr. Fritz Felgentreu (SPD): Ja.                             Aussage. Auch meine eigene Partei hat das durchaus zum Anlass genommen, sich über den Zeuge M.: Ich halte ja gesagt, eigentlich kann ich          Minister lustig zu machen, wie das im politi- mir da einen Zusammenhang nicht so richtig er-              schen Geschäft so ist. Also, es war nicht nur mit klären, weil unsere VP keine Angaben zu dem 19. Wahlperiode                    Deutscher Bundestag - Stenografischer Dienst                  Seite 195 von 226
237