Anlagenband CDU_CSU_4.qxd

/ 980
PDF herunterladen
Dokument CDU/CSU 106 Zur Beachtung! Dieses Manuskript ist urheberrechtlich ge- schützt. Der vorliegende Abdruck ist nur zum privaten Gebrauch des Empfängers hergestellt. Jede andere Verwertung außerhalb der engen Grenzen des Urheberrechtgesetzes ist ohne Zu- stimmung des Urheberberechtigten unzulässig und strafbar. Insbesondere darf er weder ver- vielfältigt, verarbeitet oder zu öffentlichen Wie- dergaben benutzt..werden. Die in den Beit-rägen dargestellten Sachverhalte entsprechen dem Stand des jeweiligen Sendetermins. Beitrag:          Die Strohmann-Spenden der SPD Bericht:          Sascha Adamek, Volker Happe, Thomas Nachtigall Datum:            25.04.2002 Sonia Mikich: "Das nächste Thema führt uns nach Wuppertal. Intelligent, ein scharfer Analy- tiker. Und in seiner Stadt populär. Der SPD-Oberbürgermeister Hans Kremendahl. Er trat einst an, um den berüchtigten Wuppertaler Sumpf trockenzulegen und stellte sogar als einer der ersten Kommunalpolitiker einen Korruptionsbeauftragten ein. Aber ausgerech- net diesen Kremendahl will die SPD nun am liebsten loswerden. Denn die Wuppertaler Staatsanwaltschaft ermittelt wegen des Verdachtes der Begünstigung. Was bekannt ist: Ein Bauunternehmer hatte den Wahlkampf Kremendahls kräftig unter- stützt, mit 500.000 Mark. Was herauszufinden ist: Was hatte der Spender davon? Und: Was wußte die SPD? Ein Be- richt von Sascha Adamek und Volker Happe." Wuppertal im Bergischen Land. Der Chef im Rathaus steht unter Verdacht. Gegen den SPD- Oberbürgermeister Hans Kremendahlermittelt die Staatsanwaltschaft wegen Vorteilsnahme im Amt. Vorwurf: Der millionenschwere Bauunternehmer Uwe Clees, hier mit Kremendahl bei einer Turnhalleneinweihung, habe Kremendahls Wahlkampf 1999 mit 500.000 Mark gesponsert, um sich nach der Wahl den OB günstig zu stimmen. 1797
831

MONITOR vom 25.04.2002 - Strohmann-Spenden der SPD                                          2/5 Alfons Grevener, Staatsanwaltschaft Wuppertal: "Der sich konkret gegen den Oberbür- germeister richtende Verdacht ist das Faktum oäer ist unsere Vermutung, dass er bzw. ein dritter, nämlich die SPD, eine großzügige Spende erhalten hat. Und dass durch diese Spen- de sein Amtsverhalten beeinflußt worden ist." Sogar die Bundes-SPD bekam bereits Ende des Jahres 2000 Zweifel an den Großspenden .. So schickte sie einen Revisor in die Wuppertaler SPD-Zentrale, so jedenfalls steht es in ei- nem internen SPO-Revisionsbericht aus dem Jahr 2000. Der Revisor stellte fest, es habe Zi- tat, "im Verfahren handwerkliche Mängel gegeben". Doch die waren offenbar so harmlos, dass kaum weiter nachgeforscht wurde. Stattdessen Iisteta man sauber die angeblichen Großspender der Wuppertaler SPD auf: Die Clees Firma C und W Bauträger mit 250.000 Mark, den Privatmann Eberhard Klatt mit 50.000 Mark sowie einen gewissen Fred Noatnick mit satten 200.000 Mark. Die SPD sah offenbar keinen Anlass die Noatnick Spende weiter zu überprüfen. Dabei ist die Firma des angeblichen Großspenders in Brandenburg längst pleite und war wohl auch da- mals kaum fähig zu so einer Spende. Noatnick erklärt, er habe nie eine müde Mark an die SPD gespendet. 1999 arbeitete seine Baufirma damals fast ausschließlich in Clees Auftrag. Noatnick erzählt MONITOR, wie er zum Strohmann wurde- durch einen Telefonanruf aus der Clees-Zentrale im fernen Wülfrath. Fred Noatnick, Bauunternehmer: "Das war Mai oder Juni 99. Da kam, als ich in Brieske war im Büro, ein Anruf aus Wülfrath von einem Mitarbeiter - ich weiß jetzt nicht mehr, wer das war - und stellte mir halt die Frage: 'Herr Noatnick, Sie arbeiten doch schon in Köln. Sie kriegen doch den großen Auftrag und der Clees, der will spenden. Und möchte aber nicht al- les auf seine Kappe nehmen, weil er eine etwas größere Spende geben will. Geben Sie Ih- ren Namen dafür?' Ohne zu überlegen, habe ich mir jetzt nichts dabei gedacht, kann man nichts falsch machen da." Wir fragen SPD-Generalsekretär Müntefering nach der Strohmann-Spende des Brandenbur- ger Bauunternehmers: Reporter: "Wie ist für Sie erklärlich, dass diese Spende nie nachkontrolliert wurde von der Partei?" Franz Müntefering, SPD Generalsekretär: "Das ist falsch. Da haben Sie schlecht recher- chiert~  Das kommt aber in diesen Tagen schon mal vor. Sie ist kontrolliert worden, und zwar 1798
832

MONITOR vom 25.04.2002- Strohmann-Spenden der SPD                                         3/5 ausdrücklich und zwar sehr intensiv, und die Schatzmeisterin hat anschließend festgestellt: Diese Spende ist ordentlich verbucht." Strohmann-Spender Noatnick jedenfalls mußte nicht einmal seine Unterschrift geben, um als offizieller Spender verbucht zu werden. Fred Noatnick, Bauunternehmer: "Im Telefonat wurde mir gesagt, ich brauch' nichts ande- res tun. Ich brauch' nur meinen Namen geben, und wenn ich die Spendenquittung zuge- schickt bekomme, darf ich die nicht abrechnen. Sag' ich, darf ich ja sowieso nicht! Wenn ich nichts gegeben habe. Und die habe ich weggelegt, ohne was zu tun." Reporter: "Wo ist die heute?" Fred Noatnick, Bauunternehmer: "Die liegt bei der Staatsanwaltschaft in Wuppertal." Zurück nach Wuppertal. Der politische Nutznießer der Clees-Spende, OB Kremendahl, will von Details der Spendensammlung für seinen Wahlkampf nichts gewußt haben. Und die lief laut Zeugenaussagen so ab: Bauunternehmer Clees lud im Herbst '98 eine intime SPD-Runde zum Abendessen auf sein Anwesen. Darunter verdiente lokale SPD-Größen wie Helmut Schmidt und Harald Steup. Seide Gründer des Freundeskreises Johannes Rau - und SPD-Spendensammler. Mit von der Partie.auch der für Baufragen zuständige SPD-Ratsherr Specht, sowie OB Kremendahl persönlich. Kremendahl sagt heute, ·er habe sich schon früh aus der wundersamen Runde verabschie- det. Hans Kremendahl, Oberbürgermeister Wuppertal: "Das war ein Treffen, zudem ich einge- laden worden bin. Telefonisch. An dem ich nur eine knappe Stunde teilgenommen habe. Und bewußt dann auch dieses Treffen verlassen habe, um mich nicht an Beratungen über Spen- den, Spendenhöhen, Spender, Spenden-Einwerbar zu beteiligen." Doch ein ehemaliger Mitarbeiter von Clees erinnert sich anders. ln einer eidesstattlichen Versicherung erklärt er gegenüber MONITOR: "Herr Kremendahl ist an jenem Abend als Letzter zu der Runde gestoßen. ln seiner Anwesenheit unterbreitete Herr Clees das Angebot, die Wiederwahl von Herrn Kre- 1799
833

MONITOR vom 25.04.2002 - Strohmann-Spenden der SPD                                          4/5 mendahl'auf Bundesliga-Niveau' zu finanzieren. Er bot zur Überraschung aller Anwe- senden einen Betrag von einer Millionen Mark an. Herr Kremendahl war auch noch anwesend, als über mögliche Verwendungsformen der Gelder gesprochen wurde." Der Sprecher Kremendahls erklärte dazu heute auf Anfrage: Alles, was von Kremendahls Aussage abweiche, sei eine Lüge. Sie lassen sich feiern. Der Investor Clees und der Oberbürgermeister Kremendahl. Seit Jah- ren schon war Wuppertal für Uwe Clees ein gutes Pflaster. Den Auftrag zum Bau der Turn- halle erhielt er im Jahr 2000 trotz Kritik des stadteigenen Rechnungsprüfungsamtes. Das umstrittene Einkaufscenter Wiekühler Park baute er schon vor Jahren gegen Einwände von Einzelhändlern. Und in diesem idyllischen Villenviertel darf Clees jetzt fünf riesige Mehrfami- lienhäuser auf engstem Raum bauen, trotz Bedenken der Denkmalschutzbehörde. Was bewog Uwe Clees bei soviel Erfolg zu einer Großspende. Seit 1998 wollte er auf die- sem Grundstück ein sogenanntes Factory Outlet-Center, ein Fabrikverkaufs-Zentrum, bauen. Doch die CDU war dagegen. Auch hier könnte der SPO-Revisionsbericht Hinweise auf den Grund der Spende bieten. Danach sagt der Geschäftsführer des                ~hemaligen   SPD- Unterbezirks damals aus, Zitat: "Da die CDU bis dahin entschieden gegen ein Factory Outlet-Center aufgetreten sei, läge es im Interesse der Firma, die SPD bei ihren Bemühungen zu unterstützen, auch weiterhin den Oberbürgermeister und möglichst auch die Ratsmehrheit zu stellen." Für die Anwesenden sei danach offenbar wichtig gewesen, Zitat: "dass Hans Kremendahl Oberbürgermeister bleibe." Gut ein Jahr nach den Großspenden stellte Hans Kremendahl das Clees-Projekt Factory Outlet-Center bei der Bezirksregierung vor. Doch einen Zusammenhang mit der Spende be- . streitet er bis heute vehement. Hans Kremendahl, Oberbürgermeister Wuppertal: "Zu den gegen mich laufenden Ermitt- lungen erkläre ich erneut: Ich war und bin nicht käuflich!" Sonia Mikich: "Es geht nicht nur um einzelne politische Schicksale. Es geht darum, ob sie es schaffen, unsere Demokratie zu untergraben: die Korrupten, die Vertuscher, die Inkompe- tenten in den jüngsten Affären. 1800
834

MONITOR vom 25.04.2002- Strohmann~Spenden der SPD                                           5/5 Sie treiben uns die allerletzte Lust aus, an Politiker als Vertreter unserer Willensbildung zu glauben." 1801
835

Dokument CDU/CSU 107 Sozialdemakra.ische Partei Oevtschlcnds Der Parteivorstand REVISION a_ November 2000 - HF/GJ- Bericht über die Prüfung der Großspenden an den Unterbezirk Wuppertal --- anlässlich des Kommunalwahlkampfes 1999 • Wli!y-aronc~-Hc.:nn Td<Jfon !C 3C) 2 59 91-0        ~ail: Wiihelm$IT, 141                                                             SfG 3cni<AG 10963 Berlin Tei.,fcx {0 30) 2 59 91-4 1C    ;::or~eivorsr~nd@spd.de 3er!i:t Tciagramm-Adresse:              lnrer~~r. P~stt::nschr:ft:                                                            SLZ iGC 10 1 1 i So:=cd., Serlin 10911 aerlin                                       nt!p://"""w.<pd.de       Kon:o 1000 435 800 1802
836

Prüfungsan lass: Der Unterbezirk Wuppertal hatte für die zentrale Erfassung aller Spenden unter an- derem eine Spende in Höhe von 100.000 DM angegeben, die er von Herrn Martin Holzschneider aus Mettmann erhalten habe. Bei der routinemässigen Abstimmung ., der Spendenbeträge mit dem jeweils benannten Spender erklärte Herr Holzschnei- der, dass er die Spende nicht geleistet habe. Warum sein Name mit der Spende in Verbindung gebracht wurde, könne der Unterbezirk Wuppertal näher erläutern. Die- ser ungewöhnliche Vorgang, vor allem aber die Höhe der fraglichen Spende führte zu einer Prüfung vor Ort. Prüfungsablauf: Die Prüfung fand am 12. Oktober 2000 in den Räumen der Unterbezirksgeschäfts- stelle statt. Geprüft wurden die Spendeneinnahmen anhand der Buchführung des Un!~Qezirks, der Kontoauszüge der Stadtsparkasse Wuppertal sowie des zuge- höri§en Schriftwechsels und sonstiger Aufzeichnungen. Der L!nterbezirksgeschäfts- führer Jörg Biesterfeld erteilte bereitwillig Auskünfte, die für die Buchhaltung ( \     zuständige Mitarbeiterin Erika Höhle legte alle verlangten Unterlagen vor. Prüfungsergebnisse:                                                                      "#i~·~~,,.::;L~l>ii!. "·~ •                                                                    ß·            "'             ~v. {'            ;~;.n ·~~, - 1. Großspenden-Initiative                                                    -.:.~:;:·} q'" Y~.             ::: 1('.~~o;;r.c.·:'· ·!e~t"., i{l:!r.ft ;r:;,.• ~ :~·.. ~~.' ..?     . ,: ~1·                                          , Nach Aussagen des UB-Geschäftsführers regten im Vorfeld des Kommunalwahl- kam                   ·                            ·                   · · · sc·~e<·;htal ;- W                   ergesellschaft mbH in Wülfrath, ·     ·          : ·. · · · . ··· ·.       Unterbezirk solle eine "bunde~Jlga­ reife" Kampagne zur Kommunalwahl d·u~chführen. El~i~$ij~f'-S . ~·iJ lif'ime~Ji~R~4-tS~rli.ie~~,ti):ßjä.>J=flr eine solche Kampagne seien zunächst Mittel in Höhe von einer.Mia·: DM benannt worden. Diese fOr den Unterbezirk un- gewöhnlich hohen Mittel sollten durch Spenden finanziert werden. Nachdem die Initiatoren von Spendenzusagen in Höhe von 680.000 DM berich- teten und dem Unterbezirk Ober diesen Betrag eine ,.Spendengarantie" mondlieh gegeben hatten, wurde die Kampagne auf dieses Volumen begrenzt;-dMow 560.000 DM als Etat der Werbeagentur und 120.000 DM für Druckkosten und sonstige Kosten. A!~,~§R~-0-~Q.?~~agen wurden !ol~e-~-~e ~pe.nd~f _L_md_ .B~.~ge ben_~.,a,n~                                              ·~ 1 ß~rer~·iek;.~Bti~~-eL{Sacl:isen~:.;. ~ -'·· .: ~ ~~ ;.;200 :000 ßM:; , :· ··· .c:                                    ..- •\ 2. C + W Bauträgerges. mbH, Wülfrath                    l~::.Q't.:iitO.M            ...~: :-.;,:. ·::· -::::.:~:-' :· ·:·:. ,, <,<:, .....··,., 3. Eberhard Klatt, Düsse!dorf                             50.000 DM sowie .. :t4. Martin Holzsc:hn.eide·~-~~7                           100.0'00 DM } 5. Detlef Eckert &·Partner, J:-iannover                    . 50.000 bM _; 6. Weitere Spenden von insgesami                           180.u00 DM ·, .  ?                                                        680.000 DM 1803
837

-2- Die unter 4. bis 6. benannten Betrage konnten nicht realisiert werden. Wegen der abgegebenen ,.Spendengarantie" erhöhte die Firma C + W Bauträgergesellschaft ihre Spende auf 250.000 DM und der Initiator der Aktion, 1~~r:'fi'§.P.~~.I:l,t,.~pendete .:~~'J.j2\&~~~~~h9gQ~PN1 ;~ :.: ,.                           ·-~--· ·=~-_ .._,_, .,_ . · · - -·· ·- ,....... Der Mitinitiator Clees solle nach eigenem Bekunden auch an die CDU gespendet. haben. Genannt wurde eine Größenordnung von 250.000 DM. Durch die Kommunalwahl wurde Hans Kremendahl zwar ats Oberbürgermeister bestätigt, SPD und Grüne verloren aber ihre Ratsmehrheit an CDU und FDP. Knapp ein Jahr nach der Wahl sei mit Zustimmung der CDU ein Prüfauftrag für das FOC erteilt worden. (Ratsbeschluss vom 18.09.00- Anlage 1) •..-. ~ Laut Pressemitteilung der Stadt Wuppertal vom 20.10.00 soll das PrOfverfahren aber nicht weitergeführt werden, weil die Bezirksregierung die Planung als nicht genehmigungsfähig eingeschätzt habe. (Anlagen 2 und 3) ·, . ..,.. . ·- I   ~ 1804
838

~ 3 ~ 2. Zahluno der Spenden Überweisungen der Fa. Wicküler Park GmbH & Co. KG von Konto 3555 402 bei der Stadtsparkasse Wuppertal auf das Konto 443 333 des SPD-Unterbezirks Wuppertal: Datum               VenNendunqszweck             Betrag in DM 18.02.99                  Spende                      36.000,00 05.03.99                  Spende                      34.800,00 06.04.99                  Bekannt                    185.600,00 256.400,00 Scheckeinreichungen auf Konto 443 333 (SPD-UB Wuppertal) bezogen auf S!a9tsparkasse Wuppertal, Konto 3555 402 (WickOler Park GmbH & Co. KG): -     '      •      I Datum                 Schecknummer .              Betrag in DM 07.06.99                  57 33 04                   120.000,00 (               25.06.99                  57 33 05                     65.077,69 23.08.99                  57 3308                      58.522,31 243.600,00 Ge~amtbetdag von Wicküler-Park GmbH & Co. KG                  500.000,00 . Oberweisung von Jürgen Specht, Wuppertal, von Konto von Konto 679 399 bei der Stadtsparkasse Wuppertal auf das Konto '443 333 des SPD-Unterbezirks Wuppertal:          ·    ·                     · Datum              VeMNendungs~eck               Betrag in DM 29.11.99                  Parteispende .            .180.000,00 . 3. Erklärung von Uwe Clees zur Herkunft der Soenden Mit Schreiben vom 13.10.2000 hat Herr Uwe Clees als Geschäftsführer der CLEES Unternehmensgruppe I C + W Bauträgergesellschaft mbH ei!JE!~i'<läiung zur Herkunft und Weiterleitung von Parteispenden an _den SPD-Unterbezirk Wuppertal abgegeben. (Anlage 4) Darin führt er unter anderem aus: "Im Jahre 1999 wurden in meinem Auftrag über ein Konto meiner Firma Wicküler Park GmbH & Co. KG Spenden in Höhe von insgesamt DM 500.000,00 an den SPD-Unterbezirk Wuppertal weitergeleitet. Dieser Betrag wurde von mir teilweise selbst gespendet, teilweise habe ich die Spenden bei Dritten gesammelt und bin für zugesagte Spenden von Dritten in Verleistung getreten." I II I -r 1805
839

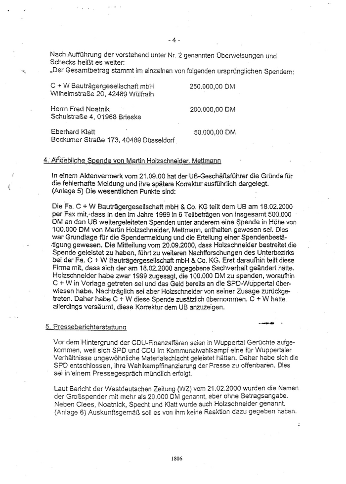
-4- Nach Aufführung der vorstehend unter Nr. 2 genannten Über-Weisungen und Schecks heißt es weiter: ·"'-     ..Der Gesamtbetrag stammt im einzelnen von folgenden ursprünglichen Spendern: C + W Bauträgergesellschaft mbH                  250.000,00 DM Wilhelmstraße 20, 42489 Wülfrath Herm Fred Noatnik                               200.000,00 DM Schulstraße 4, 01968 Brieske Eberhard Klatt Bockumer Straße 173, 40489 Düsseldorf. 4. · Aiiaebliche   Spende ~on Martin Holzschneider. Mettmann ln einem Aktenvermerk vom 21.09.00 hat der OB-Geschäftsführer die Grunde für die fehlerhafte Meldung und ihre spätere Korrektur ausfOhrlich dargelegt. l (Anlage 5) Die wesentlichen Punkte sind:     · Die Fa. C + W Sauträgergesellschaft mbH & Co. KG teilt dem US am 18.02.2000 per Fax mit,• dass in den im Jahre 1999 in 6 Teilbeträgen von insgesamt 500.000 DM an d3n UB weitergeleiteten Spenden unter anderem eine ~pende in Höhe von 10.0.000 DM von Martin Holzschneider, Mettmann, enthalten gewesen sei. Dies war Grundlage fOr die Spendermeldung und die Erteilung einer Spendenbesta- -tigung gewesen. Die Mitteilung vom 20.09.2000, dass Holzschneider bestreitet .die Spende geleistet zu haben, führt zu weiteren Nachtforschungen des Unterbezirks bei der Fa. C + W Bauträgergesellschaft mbH & Co. KG. Erst daraufhin teilt diese Firma mit, dass sich der am 18.02.2000 angegebene Sachverhalt geändert hätte. Holzschneider habe zwar 1999 zugesag~. die 100.000 DM zu spenden, woraufhin C + W in Vorlage getreten sei und das Geld bereits an die SPD-Wüppert.al Ober- wiesen habe. Nachträglich sei aber Holzschneider von seiner Zusage zurückge- treten. Daher habe C + W diese Spende zusätzlich übernommen. C + W hatte allerdings versäumt, diese Korrektur dem UB anzuzeigen. 5. Presseberichterstattung Vor dem Hintergrund der COU-Finanzaffären seien in Wuppertal Gerüchte aufge- kommen, weil sich SPD und CDU im Kommunalwahlkampf eine für Wuppertaler Verhältnisse ungewöhnliche Materialschlacht geleistet hätten. Daher habe sich die SPD entschlossen, ihre Wahlkampffinanzierung der Presse zu offenbaren. Dies sei in ·einem Pressegespräch mündlich erfolgt Laut Bericht der Westdeutschen Zeitung (WZ) vom 21.02.2000 wurden die Namen der Großspender mit mehr als 20.000 Ol'vl genannt, aber ohne Betragsangabe. Neben Clees, Noatnick, Specht und Klatt wurde auch Holzschneider genannt. (Anlage 6) Auskunftsgemäß soll es von ihm keine Reaktion dazu gegeben hacan. = 1806
840

Zur nächsten Seite