bericht-integritat-in-der-bundeswerwaltung

Dieses Dokument ist Teil der Anfrage „Integritätsbericht 2020

/ 278
PDF herunterladen
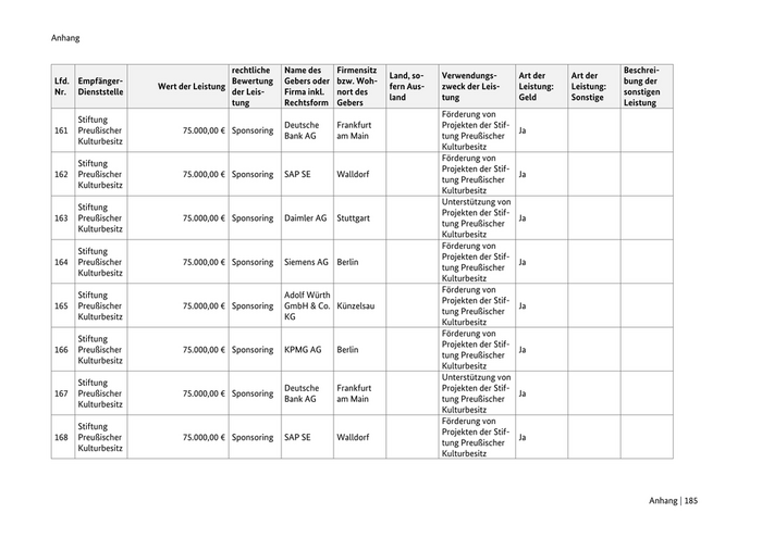
Anhang rechtliche Name des    Firmensitz                                                   Beschrei- Land, so- Verwendungs-        Art der   Art der Lfd. Empfänger-                     Bewertung  Gebers oder bzw. Woh-                                                    bung der Wert der Leistung                                   fern Aus- zweck der Leis-     Leistung: Leistung: Nr. Dienststelle                    der Leis-  Firma inkl. nort des                                                     sonstigen land      tung                Geld      Sonstige tung       Rechtsform  Gebers                                                       Leistung Förderung von Stiftung Deutsche    Frankfurt            Projekten der Stif- 161  Preußischer        75.000,00 € Sponsoring                                                      Ja Bank AG     am Main              tung Preußischer Kulturbesitz Kulturbesitz Förderung von Stiftung Projekten der Stif- 162  Preußischer        75.000,00 € Sponsoring SAP SE      Walldorf                                 Ja tung Preußischer Kulturbesitz Kulturbesitz Unterstützung von Stiftung Projekten der Stif- 163  Preußischer        75.000,00 € Sponsoring Daimler AG  Stuttgart                                Ja tung Preußischer Kulturbesitz Kulturbesitz Förderung von Stiftung Projekten der Stif- 164  Preußischer        75.000,00 € Sponsoring Siemens AG Berlin                                    Ja tung Preußischer Kulturbesitz Kulturbesitz Förderung von Stiftung                                  Adolf Würth Projekten der Stif- 165  Preußischer        75.000,00 € Sponsoring GmbH & Co. Künzelsau                                 Ja tung Preußischer Kulturbesitz                              KG Kulturbesitz Förderung von Stiftung Projekten der Stif- 166  Preußischer        75.000,00 € Sponsoring KPMG AG     Berlin                                   Ja tung Preußischer Kulturbesitz Kulturbesitz Unterstützung von Stiftung Deutsche    Frankfurt            Projekten der Stif- 167  Preußischer        75.000,00 € Sponsoring                                                      Ja Bank AG     am Main              tung Preußischer Kulturbesitz Kulturbesitz Förderung von Stiftung Projekten der Stif- 168  Preußischer        75.000,00 € Sponsoring SAP SE      Walldorf                                 Ja tung Preußischer Kulturbesitz Kulturbesitz Anhang | 185
186

Anhang rechtliche Name des    Firmensitz                                                   Beschrei- Land, so- Verwendungs-        Art der   Art der Lfd. Empfänger-                     Bewertung  Gebers oder bzw. Woh-                                                    bung der Wert der Leistung                                   fern Aus- zweck der Leis-     Leistung: Leistung: Nr. Dienststelle                    der Leis-  Firma inkl. nort des                                                     sonstigen land      tung                Geld      Sonstige tung       Rechtsform  Gebers                                                       Leistung Förderung von Stiftung Projekten der Stif- 169  Preußischer        75.000,00 € Sponsoring Daimler AG  Stuttgart                                Ja tung Preußischer Kulturbesitz Kulturbesitz Förderung von Stiftung                                  Adolf Würth Projekten der Stif- 170  Preußischer        75.000,00 € Sponsoring GmbH & Co. Künzelsau                                 Ja tung Preußischer Kulturbesitz                              KG Kulturbesitz Förderung von Stiftung Projekten der Stif- 171  Preußischer        75.000,00 € Sponsoring Siemens AG Berlin                                    Ja tung Preußischer Kulturbesitz Kulturbesitz Förderung von Stiftung                                  Bertels- Projekten der Stif- 172  Preußischer       100.000,00 € Sponsoring mann SE &   Gütersloh                                Ja tung Preußischer Kulturbesitz                              Co. KGaA Kulturbesitz Förderung von Stiftung                                  Bertels- Projekten der Stif- 173  Preußischer       100.000,00 € Sponsoring mann SE &   Gütersloh                                Ja tung Preußischer Kulturbesitz                              Co.KGaA Kulturbesitz Hinter dem                                                               Haus Bas- Stiftung Sonstige   Gießhaus                                                                 tian (Immo- 174  Preußischer    5.989.881,80 €                         Berlin               Sachspende                    Ja Schenkung  GmbH&Co.                                                                 bilie und Kulturbesitz KG                                                                       Grundstück) Summe         20.710.806,65 € Anhang | 186
187

Anhang BMEL rechtliche Name des     Firmensitz                                                      Beschrei- Land, so- Verwendungs-       Art der   Art der Leis- Lfd. Empfänger-                           Bewertung  Gebers oder  bzw. Woh-                                                       bung der Wert der Leistung                                           fern Aus- zweck der Leis-    Leistung: tung: Sons- Nr. Dienststelle                          der Leis-  Firma inkl.  nort des                                                        sonstigen land      tung               Geld      tige tung       Rechtsform   Gebers                                                          Leistung zweckgebundene Spende Förderge-                         (Portables Ultra- sellschaft                        schallgerät Exapad Sachleis- 1    MRI                      17.900,00 € Spende     für Fleisch- Kulmbach             Mini Scanner zur             Ja tung forschung e.                      Optimierung der V.                                Elektrobetäubung bei Schlacht- schweinen) Summe                    17.900,00 € Anhang | 187
188

Anhang BMFSFJ rechtliche Name des    Firmensitz                                                      Beschrei- Land, so- Verwendungs-                     Art der Lfd. Empfänger-                            Bewertung  Gebers oder bzw. Woh-                               Art der Leis-           bung der Wert der Leistung                                           fern Aus- zweck der Leis-                  Leistung: Nr. Dienststelle                           der Leis-  Firma inkl. nort des                                tung: Geld              sonstigen land      tung                             Sonstige tung       Rechtsform  Gebers                                                          Leistung Unterstützung bei der Bewerbung Ausstrah- des "Hilfetelefons Sonstige   Ad Alliance                                                                 lung von 1    BAFzA                      6.540,00 €                        Köln                 Gewalt gegen                     Ja Schenkung  - VOX Up                                                                    kostenlosen Frauen" durch den Radiospots Fernsehsender "VOX Up" Unterstützung bei der Bewerbung                              Ausstrah- des "Hilfetelefons                         lung von Sonstige   Ad Alliance 2    BAFzA                     23.030,00 €                        Köln                 Gewalt gegen                     Ja        kostenlosen Schenkung  - RTL Plus Frauen" durch den                          Fernseh- Fernsehsender                              spots "RTL Plus" Antenne                          Unterstützung bei Bay-                             der Bewerbung ern/Rock                         des "Hilfetelefons Ausstrah- Antenne -                        Gewalt gegen Sonstige                                                                               lung von 3    BAFzA                     47.127,55 €            Spot Coor-  Ismaning             Frauen" durch den                Ja Schenkung                                                                              kostenlosen dination -                       Radiosender Radiospots SpotCom                          "Antenne Bay- GmbH &                           ern/Rock An- Co.KG                            tenne" Unterstützung bei der Bewerbung                              Ausstrah- des "Hilfetelefons                         lung von Sonstige   Ad Alliance 4    BAFzA                     52.430,00 €                        Köln                 Gewalt gegen                     Ja        kostenlosen Schenkung  - RTL Nitro Frauen" durch den                          Fernseh- Fernsehsender                              spots "RTL-Nitro" Anhang | 188
189

Anhang rechtliche Name des    Firmensitz                                                        Beschrei- Land, so- Verwendungs-                       Art der Lfd. Empfänger-                            Bewertung  Gebers oder bzw. Woh-                                 Art der Leis-           bung der Wert der Leistung                                           fern Aus- zweck der Leis-                    Leistung: Nr. Dienststelle                           der Leis-  Firma inkl. nort des                                  tung: Geld              sonstigen land      tung                               Sonstige tung       Rechtsform  Gebers                                                            Leistung Unterstützung bei Radio Re- der Bewerbung genbogen                                                                      Ausstrah- des "Hilfetelefons Sonstige   Hörfunk in                                                                    lung von 5    BAFzA                     57.450,00 €                        Mannheim             Gewalt gegen                       Ja Schenkung  Baden                                                                         kostenlosen Frauen" durch den GmbH & Co.                                                                    Radiospots Radiosender Radio KG Regenbogen" Unterstützung bei der Bewerbung Gruner +                                                                      Bereitstel- des "Hilfetelefons Jahr AG &                                                                     lung von Sonstige                                    Gewalt gegen 6    BAFzA                     82.800,00 €            Co KG       Hamburg                                                 Ja        kostenloser Schenkung                                   Frauen" in den Druck- und                                                                    Anzeigen- Zeitschriften "Bri- Verlagshaus                                                                   fläche gitte" und "Brigitte Woman" Unterstützung bei der Bewerbung Ausstrah- des "Hilfetelefons Sonstige   bigFM PPG                                                                     lung von 7    BAFzA                   118.415,90 €                         Mannheim             Gewalt gegen                       Ja Schenkung  S.W. GmbH                                                                     kostenlosen Frauen" durch den Radiospots Radiosender "bigFM" Unterstützung bei der Bewerbung Ausstrah- des "Hilfetelefons Sonstige   Antenne                                                                       lung von 8    BAFzA                   150.384,61 €                         Weimar               Gewalt gegen                       Ja Schenkung  Thüringen                                                                     kostenlosen Frauen" durch den Radiospots Radiosender "An- tenne Thüringen" Anhang | 189
190

Anhang rechtliche Name des    Firmensitz                                                      Beschrei- Land, so- Verwendungs-                     Art der Lfd. Empfänger-                           Bewertung  Gebers oder bzw. Woh-                               Art der Leis-           bung der Wert der Leistung                                          fern Aus- zweck der Leis-                  Leistung: Nr. Dienststelle                          der Leis-  Firma inkl. nort des                                tung: Geld              sonstigen land      tung                             Sonstige tung       Rechtsform  Gebers                                                          Leistung Unterstützung bei der Bewerbung des "Hilfetelefons                         Ausstrah- Antenne Sonstige                                    Gewalt gegen                               lung von 9    BAFzA                   212.477,50 €            Niedersach- Hannover                                              Ja Schenkung                                   Frauen" durch den                          kostenlosen sen Radiosender "An-                           Radiospots tenne Niedersach- sen" Unterstützung bei Ausstrah- der Bewerbung lung von Sonstige   Ad Alliance                      des "Hilfetelefons 10   BAFzA                   226.660,00 €                        Köln                                                  Ja        kostenlosen Schenkung  - NTV                            Gewalt gegen Fernseh- Frauen" durch den spots Fernsehsender ntv Unterstützung bei der Bewerbung                              Ausstrah- des "Hilfetelefons                         lung von Sonstige   Ad Alliance 11   BAFzA                   573.245,00 €                        Köln                 Gewalt gegen                     Ja        kostenlosen Schenkung  - RTL Frauen" durch den                          Fernseh- Fernsehsender                              spots "RTL" Unterstützung bei der Bewerbung                              Ausstrah- des "Hilfetelefons                         lung von Sonstige   Ad Alliance 12   BAFzA                 1.068.225,00 €                        Köln                 Gewalt gegen                     Ja        kostenlosen Schenkung  - VOX Frauen" durch den                          Fernseh- Fernsehsender                              spots "VOX" Summe                 2.618.785,56 € Anhang | 190
191

Anhang BMG rechtliche Name des    Firmensitz Land, so- Verwendungs-    Art der   Art der   Beschreibung Lfd. Empfänger-                           Bewertung  Gebers oder bzw. Woh- Wert der Leistung                                          fern Aus- zweck der Leis- Leistung: Leistung: der sonstigen Nr. Dienststelle                          der Leis-  Firma inkl. nort des land      tung            Geld      Sonstige  Leistung tung       Rechtsform  Gebers Ace and                                                              Persönliche Nieder-   Bewältigung der 1    BMG                       5.799,00 € Spende     Tate Hold-  Amsterdam                                      Ja        Schutzausrüs- lande     Corona-Pandemie ing B.V.                                                             tung Gutschein zur Twitter Bewältigung der                     Platzierung 2    BMG                       8.342,15 € Sponsoring Germany     Berlin                                         Ja Corona-Pandemie                     von Informati- GmbH onen Bewältigung der 3    BMG                       8.979,74 € Spende     Bayer AG    Leverkusen                                     Ja        Arzneimittel Corona-Pandemie Gutschein zur LinkedIN Bewältigung der                     Platzierung 4    BMG                      10.010,58 € Sponsoring Germany     München                                        Ja Corona-Pandemie                     von Informati- GmbH onen Covestro               Volksre-                                      Persönliche Bewältigung der 5    BMG                      19.525,93 € Spende     Polymers    Shanghai   publik                              Ja        Schutzausrüs- Corona-Pandemie Co., LTd               China                                         tung Fosun                  Volksre-                                      Persönliche Bewältigung der 6    BMG                      24.570,00 € Spende     Foundation  Shanghai   publik                              Ja        Schutzausrüs- Corona-Pandemie Co. Ltd.               China                                         tung DHL Ex-                                                              Transport zur press Ger-                       Bewältigung der                     Versorgung 7    BMG                      35.000,00 € Spende                 Bonn                                           Ja many                             Corona-Pandemie                     mit Desinfekti- GmbH                                                                 onsmitteln Anhang | 191
192

Anhang rechtliche Name des    Firmensitz Land, so- Verwendungs-    Art der   Art der   Beschreibung Lfd. Empfänger-                           Bewertung  Gebers oder bzw. Woh- Wert der Leistung                                           fern Aus- zweck der Leis- Leistung: Leistung: der sonstigen Nr. Dienststelle                          der Leis-  Firma inkl. nort des land      tung            Geld      Sonstige  Leistung tung       Rechtsform  Gebers Lieferung von Desinfektions- Dow                                                                   mitteln, Ver- Deutsch-                                                              packung von Bewältigung der 8    BMG                      48.000,00 € Spende     land Anla- Stade                                            Ja        Chemikalien Corona-Pandemie gengesell-                                                            zur Versor- schaft mbH                                                            gung mit Des- infektionsmit- teln Blue Cube Chemikalie zur Germany Bewältigung der                     Herstellung 9    BMG                      89.708,00 € Spende     Assets      Stade                                           Ja Corona-Pandemie                     von Desinfek- GmbH & tionsmitteln Co. KG Bewältigung der 10   BMG                     100.000,00 € Spende     Sandoz AG   Holzkirchen                                     Ja        Arzneimittel Corona-Pandemie Novartis                                                              Persönliche Bewältigung der 11   BMG                     117.000,00 € Spende     Pharma      Nürnberg                                        Ja        Schutzausrüs- Corona-Pandemie GmbH                                                                  tung Amazon Persönliche Deutsch-                          Bewältigung der 12   BMG                     117.000,00 € Spende                 München                                         Ja        Schutzausrüs- land Ser-                         Corona-Pandemie tung vices GmbH MSD Sharp                                                             Persönliche Bewältigung der 13   BMG                     120.000,00 € Spende     & Dohme     Haar                                            Ja        Schutzausrüs- Corona-Pandemie GmbH                                                                  tung Astra                                                                 Persönliche Bewältigung der 14   BMG                     351.000,00 € Spende     Zeneca      Wedel                                           Ja        Schutzausrüs- Corona-Pandemie GmbH                                                                  tung Anhang | 192
193

Anhang rechtliche Name des     Firmensitz Land, so-   Verwendungs-    Art der   Art der   Beschreibung Lfd. Empfänger-                           Bewertung  Gebers oder  bzw. Woh- Wert der Leistung                                           fern Aus-   zweck der Leis- Leistung: Leistung: der sonstigen Nr. Dienststelle                          der Leis-  Firma inkl.  nort des land        tung            Geld      Sonstige  Leistung tung       Rechtsform   Gebers Apple Dis- Persönliche tribution                           Bewältigung der 15   BMG                     365.985,61 € Spende                  Cork       Irland                                Ja        Schutzausrüs- Internatio-                         Corona-Pandemie tung nal Apple Dis- Persönliche tribution                           Bewältigung der 16   BMG                     367.263,00 € Spende                  Cork       Irland                                Ja        Schutzausrüs- Internatio-                         Corona-Pandemie tung nal Sanofi- Aventis      Frankfurt              Bewältigung der 17   BMG                     400.000,00 € Spende                                                                   Ja        Arzneimittel Deutsch-     am Main                Corona-Pandemie land GmbH Shell                                                                   Chemikalie zur Deutsch-                            Bewältigung der                     Herstellung 18   BMG                     428.400,00 € Spende                  Hamburg                                          Ja land Oil                            Corona-Pandemie                     von Desinfek- GmbH                                                                    tionsmitteln Alibaba                                                                 Persönliche Bewältigung der 19   BMG                     511.438,03 € Spende     (Germany)    München                                          Ja        Schutzausrüs- Corona-Pandemie GmbH                                                                    tung Persönliche Alibaba Bewältigung der                     Schutzausrüs- 20   BMG                     585.000,00 € Spende     (Germany)    München                                          Ja Corona-Pandemie                     tung und Test- GmbH kits Vietnam Airlines                                                                Kostenüber- (Branch of   Frankfurt              Bewältigung der                     nahme/Durch- 21   BMG                     900.000,00 € Spende                                                                   Ja Vietnam      am Main                Corona-Pandemie                     führung eines Airlines JSC                                                            Frachtflugs in Germany) Lake House                                                              Persönliche Großbritan- Bewältigung der 22   BMG                   1.170.000,00 € Spende     Corporation London                                            Ja        Schutzausrüs- nien        Corona-Pandemie Limited                                                                 tung Anhang | 193
194

Anhang rechtliche Name des    Firmensitz Land, so- Verwendungs-      Art der   Art der   Beschreibung Lfd. Empfänger-                            Bewertung  Gebers oder bzw. Woh- Wert der Leistung                                          fern Aus- zweck der Leis-   Leistung: Leistung: der sonstigen Nr. Dienststelle                           der Leis-  Firma inkl. nort des land      tung              Geld      Sonstige  Leistung tung       Rechtsform  Gebers Gutscheine zur Facebook                         Bewältigung der                       Platzierung 23   BMG                    1.734.647,20 € Sponsoring             Hamburg                                          Ja GmbH                             Corona-Pandemie                       von Informati- onen Gutscheine zur Google Ger- Bewältigung der                       Platzierung 24   BMG                    2.084.412,50 € Sponsoring many        Hamburg                                          Ja Corona-Pandemie                       von Informati- GmbH onen Persönliche Schutzausrüs- Volkswagen                       Bewältigung der 25   BMG                    4.200.000,00 € Spende                 Wolfsburg                                        Ja        tung, Desin- AG                               Corona-Pandemie fektionsmittel, Thermometer Gilead Sci- Martins- Bewältigung der 26   BMG                    5.300.000,00 € Spende     ences       ried/Mün-                                        Ja        Arzneimittel Corona-Pandemie GmbH        chen Ludwigsha-                                                 Persönliche Bewältigung der 27   BMG                   42.500.000,00 € Spende     BASF SE     fen am                                           Ja        Schutzausrüs- Corona-Pandemie Rhein                                                      tung AWI Auto-                        Prävention von Bundeszent- maten-                           Glücksspielsucht rale für ge- Wirt-                            2020; Betrieb und 28   sundheitli-              140.000,00 € Sponsoring             Berlin                                 Ja schaftsver-                      Betreuung der Be- che Aufklä- bände-Info                       ratungs-Hotline rung (BZgA) GmbH                             01801-372700 AWI Auto-                        Prävention von Bundeszent- maten                            Glücksspielsucht rale für ge- Wirt-                            2019; Betrieb und 29   sundheitli-              140.000,00 € Sponsoring             Berlin                                 Ja schaftsver-                      Betreuung der Be- che Aufklä- bände Info                       ratungs-Hotline rung (BZgA) GmbH                             01801-372700 Anhang | 194
195

Zur nächsten Seite