anhang-4

Dieses Dokument ist Teil der Anfrage „Prüfberichte der Zentralabteilung/Innenrevision

/ 52
PDF herunterladen

                                            
                                                
                                                38
                                            
                                        


                                            
                                                
                                                39
                                            
                                        


                                            
                                                
                                                40
                                            
                                        

Anlage +

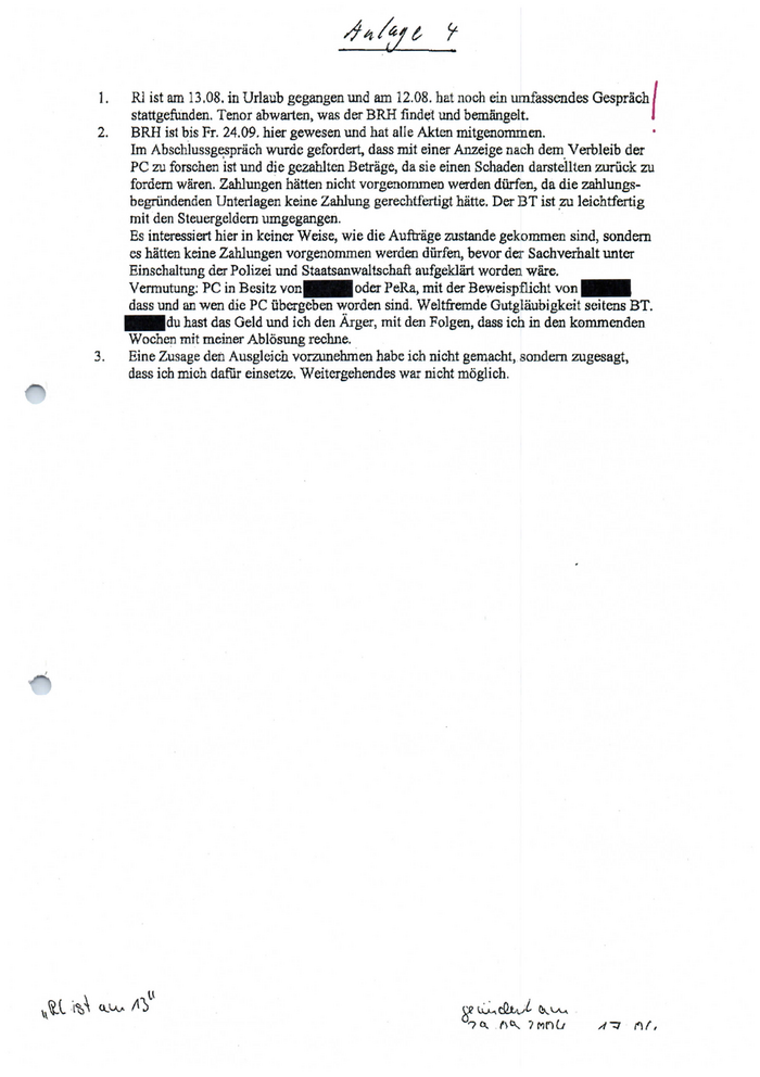
1. Riistam 13,08. in Urlaub gegangen und am 12.08. hat noch ein umfassendes Gespräch |
stattgefunden. Tenor abwarten, was der BRH findet und bemängelt.
2. BRH ist bis Fr. 24.09. hier gewesen und hat alle Akten mitgenommen.
Im Abschlussgespräch wurde gefordert, dass mit einer Anzeige nach dem Verbleib der
PC zu forschen ist und die gezahlten Beträge, da sie einen Schaden darstellten zurück zu
fordern wären. Zahlungen hätten nicht vorgenommen werden dürfen, da die zahlungs-
begründenden Unterlagen keine Zahlung gerechtfertigt hätte, Der BT ist zu leichtfertig
mit den Steuergeldern umgegangen.
Es interessiert hier in keiner Weise, wie die Aufträge zustande gekommen sind, sondern
es hätten keine Zahlungen vorgenommen werden dürfen, bevor der Sachverhalt unter
Einschaltung der Polizei und Staatsanwaltschaft aufgeklärt worden wäre.
Vermutung: PC in Besitz vor] oder PeRa, mit der Beweispflicht vor
dass und an wen die PC übergeben worden sind. Weltfremde Gutgläubigkeit seitens BT.
EEE iu hast das Geld und ich den Ärger, mit den Folgen, dass ich in den kommenden
Wochen mit meiner Ablösung rechne.
3. Eine Zusage den Ausgleich vorzunehmen habe ich nicht gemacht, sondern zugesagt,
dass ich mich dafür einsetze, Weitergehendes war nicht möglich.

v
„el it a A v ge WouL au

7a pa 7/mnl ATI MN,
41

SBaudlur ur

Koodoiua _PIL-A -
i Falyge 19.02.2004  A7:3C

Berlin, 19.02.2004

Ruf: 3 54 62
Fax: 3 65 08

ZV1
im Hause

Mobbing crch vo HE
Schreiben des ox 19.022004

Gegen den VA BERBSEES . ich den Straftatbestand des Mobbing und der
Verleumdung an und beantrage disziplinarische Maßnahmen.

Das in der Anlage befindliche Schreiben ging mir unverschlossen über die Hauspost zu. Darin
sehe ich einen diffamierenden Angriff auf meine Person, Die vorgebrachten Anschuldigungen
weise ich mit Entschiedenheit zurück.

In dem Schreiben werden annähernd alle Mitarbeiter des Referates PI 1 der Inkompetenz und
Nichtberücksichtigung vergabe- und haushaltsrechtlicher Vorschriften bezichtigt, da ich als
Adressat nicht die gesamten Aufgaben des Referates Öffentlichkeitsarbeit erledige und erle-
digen kann. Insoweit werden auch die fachlich und sachlich zuständigen Referatsangehörigen

diffamiert.

Es wird mir persönlich Fehlverhalten vorgeworfen, dass aufgrund des Geschäftsverteilungs-
planes den Vergabeaussschuss, das Justitiariat, das Haushaltsreferat tangiert. Diese Vorwürfe
sind nur darauf gerichtet meinen Ruf im Hause zu schädigen.

Eine Kopie des Schreibens des EN von 19.022004 hat RL P1 1 erhalten.
42

Buud ZUol

Deutscher Bundestag .
Referat Öffentlichkeitsarbeit
zu Hdn.Herrn

Platz der Republik 1

D-11011 Berlin

Angebot 84/2002 CD ROM Konfektionierung

Datum: 40.1.2008 AT7RR

Anlage e_

Bankverbindung:

Konto-Nr.
BLZ

Konto-Nr.

 

USt.-Id.-Nr.

 

Eingetragen beim
Amtsgericht

 

Brühl,10.01.2002

Datenhandbuch zur Geschichte des Deutschen Bundestages

|

ich bedanke mich für Ihre Anfrage und biete
zu den nachfolgenden Bedingungen an:

Angebotsbindefrist;
Fertigstellung:

Lieferbedingungen:

Preisangaben:

Zahlungsbedingungen:

Garantiebedingungen:
Reparaturbedingungen

winword/work/angebote/bund3402.doc

23 Januar 2002

10,- 14 Tage nach Erhalt aller Unterlagen u. Auftragserteilung
genauer Termin wird nach Auftragserteilung mitgeteilt

frei Haus bei Anlieferung Deutscher Bundestag in Berlin
abweichende Adressen bitte gesondert erfragen

alle nachfolgend gen. Preise verstehen sich netto zzgl. der am
Tage der Rechnungsstellung gültigen gesetzl. Mehrwertsteuer
Preisnachlässe aufgrund einer veränderten Marktsituation
können im Nachhinein nicht gewährt werden.

14 Tage rein netto ohne Abzug.

Die angegebenen Preise sind nicht skontierfähig.

entsprechend den Herstellerbedingungen

kostenloser Ersatz kann nur gewährt werden,

wenn uns berechtigte Mängel binnen 7 Tage nach Erhalt

der Ware angezeigt werden

alle vorhergehenden Angebote mit der nachfolgenden:
Ausstattung verlieren hiermit ihre Gültigkeit
43

I Bud Lu ol o

CD ROM Konfektionierung

Titel: - Datenhandbuch zur Geschichte des Deutschen Bundestages
Leistung: Konfektionierung
Auftragsumfang: einlegen der CD ROMs in Jewelcase

einlegen von Booklet und Inlay

Cellophanierung der konfektionierten CD ROM
sonstiges: entfällt
alle angaben in Euro und netto Preis per Preis per Preis per.

1 Stck 10.000 Stck 20.000 Stck

Jewelcase klarsicht 0,311 Euro 3.110,00 Euro 6.220,00 Euro

inc]. einlegen der CD u. cellophaniert

Der Preis per Stck. basierd auf der Kalkulation einer Mindestabnahmemenge von 10Tsd Stck.
Ich hoffe, daß Ihnen mein Angebot zusagt und sichere eine schnelle und korrekte Auftragsabwicklung zu.
Mit Interesse erwarte ich Ihren Auftrag und verbleibe

mit freundlichen Grüßen
44

buud 8307

Sutr

Datum :

AO. A-TOOL
AU:UF

Bankverbindung:

Deutscher Bundestag Konto-Nr.
Referat Öffentlichkeitsarbeit

zu Hdn.Herrm

Platz der Republik 1 IS:

D-11011] Berlin

Angebot 83/2002 CD ROM Vervielfältigung

 

USL-Id.-Nr.

Eingetragen beim
Amtsgericht

   

| Brühl,10.01.2002
Datenhandbuch zur Geschichte des Deutschen Bundestages 1949-1999
ersetzt Angebot 792001

Sehr geehrter Herr

ich bedanke mich für Ihre Anfrage und biete
zu den nachfolgenden Bedingungen an:

Angebotsbindefrist: 23 Januar 2002

Fertigstellung: 10.- 14 Tage nach Erhalt aller Unterlagen u. Auftragserteilung
genauer Termin wird nach Auftragserteilung mitgeteilt

Lieferbedingungen: frei Haus bei Anlieferung Deutscher Bundestag in Berlin

Preisangaben:

‘abweichende Adressen bitte gesondert erfragen

alle nachfolgend gen. Preise verstehen sich netto zzgl. der am
Tage der Rechnungsstellung gültigen gesetzl. Mehrwertsteuer
Preisnachlässe aufgrund einer veränderten Marktsituation

können im Nachhinein nicht gewährt werden.
Zahlungsbedingungen: 14 Tage rein netto ohne Abzug.

Die angegebenen Preise sind nicht skontierfähig.
Garantiebedingungen: entsprechend den Herstellerbedingungen
Reparaturbedingungen kostenloser Ersatz kann nur gewährt werden,

winword/work/angebote/bund8302.doc

wenn uns berechtigte Mängel binnen 7 Tage nach Erhalt
der Ware angezeigt werden

alle vorhergehenden Angebote mit der nachfolgenden
Ausstattung verlieren hiermit ihre Gültigkeit

E-Mall:
45

duud 930 url

CD ROM Duplizierung
Titel: Datenhandbuch zur Geschichte des Deutschen Bundestages 1949-1999

Leistung: Nachproduktion (Vervielfältigung vom bestehenden Glasmaster)

sonstiges: Lieferung erfolgt auf Wunsch im Jewelcase fertig konfektioniert und /

cellophaniert, siehe hierzu unser Angebot 84/2002 er
Labeldruck: Siebdruck von vorh.Film
Preise: basierend auf Vertrag PI 1/31-1837-000
alle Angaben in Euro und netto per Stck per 10.000 Sick. per 20.000 Stck

0,31 Euro 3.100,00 Euro 6.200,00 Euro
Der Preis per Stck. basierd auf der Kalkulation einer Mindestabnahmemenge von 10Tsd Stck.
Der kalkulierte Preis ist nur möglich, bei Einhaltung des in den Angebotsbedingungen
aufgeführten Zahlungszieles.
Ich bitte um schriftliche Bestätigung bei Auftragserteilung.
Sollten die von Ihnen angelieferten Filme nicht den Spezifikationen entsprechen, entstehen
zusätzliche Kosten für die Neuerstellung entsprechender Druckvorlagen.
=

Ich hoffe, daß Ihnen mein Angebot zusagt und sichere eine schnelle und korrekte Auftragsabwicklung zu.
Mit Interesse erwarte ich Ihren Auftrag und verbleibe

mit freundlichen Grüßen
46

Anhang 5”

Z/Rev.-1411-10 2/07-S-3
Vie.

Prüfungsvermerk

Prüfungsgegenstand:

     
    
 
   
 

 
 
  

Prüfung von Rückforderungsansprüchen bei IO 2

Überprüfung Laufwerk P -
BAP

‚ Z/Rev. Büro 2.103

 

| Gesprächsteilnehmer (ggf.): =

| Inhalte:
Im Rahmen der o. g. Sonderprüfung wurde nach Bereitstellung des Zugangs durch IT der
| Inhalt des Laufwerkes P mit der Account in sssichet:

|
|
|

Restore: leer

Archive: leer

. Bilder (s. u.)

. Briefe (s. u.)

Cache: nur 1 Datei, die sich nicht öffnen ließ
Desktop_NT: leer

. downloads (s. u.)

| . Eigene Dateien (s. u.)

| „ E-Mailverschlüsselung (s. u.)

| 10. Formulare: 6 dienstliche Formularvordrucke
|

|

Ordnerstruktur:

11. News (s. u.)

12. Späße (s. u.)

13. Steuern: leer

sowie einzeine Dateien, z. B. Foto des Infomobiles in L.andau, teilweise ließen sich diese
| Dateien nicht öffnen

zu: 3. Bilder:

Private Fotos sowie etliche pornographische Darstellungen (Änderungsdatum: 2002 bzw.
2006) und zwei Fotoportraits von Wolfgang Thierse
47

Zur nächsten Seite