2.Bescheid.Anlage14_VB_CureVac

Dieses Dokument ist Teil der Anfrage „Vereinbarungen mit den Firmen BioNTech SE, CureVac AG und IDT Biologika GmbH in Bezug auf Impfstoffe gegen SARS-CoV-2

/ 71
PDF herunterladen
7. Financing of the project, cost estimates Own contribution, BMBF contribution, third-party financing General description of the Project Funding Due to the highly urgent need to develop a vaccine for COVID-19, the whole development process which would, under normal circumstances, extend over 10 years, is now condensed to a 12 – 18 months period. Therefore work packages, clinical phases, etc. have to overlap to gain the necessary speed. The clinical Phase I is currently ongoing. Parallel to Phase I, preparations for Phase II and Phase III are ongoing. While draft designs are available, these studies are still under discussion with experts and regulators. Therefore, the clinical development plan might change, based on these discussions, regulatory expectations and requirements, Phase I results, and the evolution of the overall pandemic situation. The overall costs depends on this framework including assumptions on the number of subjects in the different proposed clinical studies e.g. taking into account considerations on special populations to be studied such as children, populations with co-morbidities, pregnant women etc. Recruitment of special populations such as immunocompromised individuals or children is more challenging than recruitment of healthy volunteers, which will be reflected in the study costs. Other important factors are the selected countries and sites, and the final clinical study designs: e.g. for early phase studies with very regular visits at the sites for the subjects, and an extensive laboratory work-out, the cost per subject will be clearly higher than studies in which subjects are mainly followed up by phone calls. Therefore, dependent on the final framework cost might change. As part of the preparation of the Phase II and III clinical studies, the clinical trial material is being manufactured on an ongoing base. As the mRNA material produced within one batch is sufficient for a large number of vaccine doses, single production batches are sufficient to be used for several clinical studies. Therefore, there are overlaps in the allocating of batches over different studies and clinical phases. The clinical phases are also partly running parallel to each other so that costs between different milestones contain several work packages. Further below please see the structure of the R&D development. We have defined the following milestones: 49
56

Table 8: Main milestones with timelines

Main milestones with timelines

 

The volumes per milestones split up as follows:

Table 9: Milestone volumes

Table 10: Total costs per category

Table 11: Total costs per work package

 

 

 

CureVac Contribution / Financing

 
 

50
57

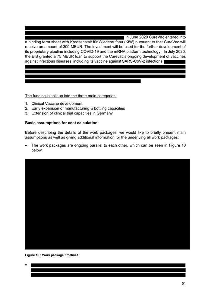
In June 2020 CureVac entered into a binding term sheet with Kreditanstalt für Wiederaufbau (KfW) pursuant to that CureVac will receive an amount of 300 MEUR. The investment will be used for the further development of its proprietary pipeline including COVID-19 and the mRNA platform technology. In July 2020, the EIB granted a 75 MEUR loan to support the Curevac’s ongoing development of vaccines against infectious diseases, including its vaccine against SARS-CoV-2 infections. The funding is split up into the three main categories: 1. Clinical Vaccine development 2. Early expansion of manufacturing & bottling capacities 3. Extension of clinical trial capacities in Germany Basic assumptions for cost calculation: Before describing the details of the work packages, we would like to briefly present main assumptions as well as giving additional information for the underlying all work packages:     The work packages are ongoing parallel to each other, which can be seen in Figure 10 below. Figure 10 : Work package timelines  51
58

  Table 12: Batch Production Costs    52
59

   Table 13: Overview of batch production      Exchange rate assumption Euro : USD = 1 / 1.1 Investigator Fees, CRO costs and Diagnostics Due to the uncertainty of the evolution of the pandemic, and the diverse and changing government implemented measures to contain the pandemic in different countries worldwide, selecting countries and clinical trial sites to perform field efficacy trials is complex. Clinical sites in countries where sufficient COVID-19 cases are still occurring to be able to demonstrate efficacy of a candidate vaccine, are being engaged by companies, and paid ‘reservation fees’ to ensure their participation in efficacy studies even before phase I and II studies are being finalized. Due to the highly competitive landscape in this regard, CureVac is also engaging, including financially, with clinical sites in such countries. In general, investigators fees are spread out over the course of the study, with a small portion paid early as ‘start-up fee’, then an increasing amount is paid after First Subject Vaccinated and peaking around 2 to 3 months into the study. Thereafter this will be slowly decreasing with a last bigger payment after Last Subject Last Visit. Phase IIa starts in August/September 2020 with the clinical trial 002, to confirm the dose level (including in elderly people); with the preparation by the CRO to precede the trial and therewith 53
60

the investigator fees by approximately four weeks. The diagnostics follow the investigator fees with a delay of approximately two weeks. Currently the trial is planned with 691 subjects. Phase IIb/III consists of several studies, including clinical trials in special populations, starting from November 2020 on, (subjects with co-morbidities, pregnant women, immune- compromised subjects such as HIV infected individuals etc.) and a planned total of 2000 subjects. Studies in children will also be performed, as part of an agreed Pediatric Investigational Plan (around 2000 pediatric subjects in total). The main Phase IIb/III study 004 starts in November with a total of 19.000 subjects (23.750 including drop outs). If results of the special populations studies allow, certain populations might be included to the 004, to obtain efficacy data in a population that is as representative as possible of a general population, by including specific risk groups. Health Care Workers of the University of Mainz will be recruited also in the 004 clinical study for efficacy follow-up, or via a parallel study with the exact design as the 004, to allow pooling (the budget is presented separately in the tables hereunder). An observational study performed at the University of Mainz is also part of the plan, as well as a study to investigate concomitant vaccination (e.g. seasonal influenza vaccination). 1. Clinical vaccine development work packages Within the clinical vaccine development section, we show the following nine work packages:    AP 1: CMC Development & Manufacturing    AP 2: Clinical Development – Dose confirmation in Elderly Phase IIa, Study 002    AP 3: Clinical Development – Special populations, Phase II/III: o Co-morbidities: Study 003 o Immune-compromised (HIV) (Study 005) o Pregnant women (Study 006) o Pediatric population (Study 007, 008, 009)    AP 4: Clinical Development – Phase IIb/III studies, Study 004 and 010 o Efficacy Study 004 & University of Mainz Healthcare workers study o Concomitant Vaccination (010)    AP 5: Clinical Development – non interventional study (Mainz study)    AP 6: Regulatory Affairs – interactions with regulatory authorities    AP 7: Manufacturing for Clinical Development – Risk mitigation and stockpiling for Phase IIb/III    AP 8: Preclinical Development: Fulfillment of regulatory requirements for the marketing authorization (MAA marketing authorization application) for the market entry in the EU    AP9: Production at risk Below you will find the costs of those work packages. 54
61

Table 14: AP 1: CMC Development & Manufacturing Table 15: AP 2: Clinical Development – Dose confirmation in Elderly Phase IIa, Study 002 55
62

Table 16: Phase IIa - Elderly study Table 17: AP 3: Clinical Development – Special populations, Phase II/III – AP 3 The investigator fees, CRO costs and diagnostics derive from six studies with 4000 subjects. These studies are more complex than the Phase III efficacy study (recruitment and follow-up of children, pregnant women and subjects with co-morbid conditions). The number of studies may vary as well as the number of subjects included. In addition, the clinical protocols are under development. Table 18: Clinical Studies Special Populations 56
63

Table 19: AP 4: Clinical Development – Efficacy Phase IIb/III, Study 004 and Concomitant Vaccination Study 010 57
64

Overview investigator fees: Table 20: Phase IIb/III Investigator Fees and other costs corresponding costs Table 21: AP 5: Clinical Development – non interventional study Table 22: Additional non-interventional study Table 23: AP 6: Regulatory Affairs – interactions with regulatory authorities 58
65

Zur nächsten Seite