2020-00022

/ 16
PDF herunterladen
FRONTEX Your ref: CMP-2020-00022 Warsaw, 30 November 2020 Dear M r . - On 19 November 2020 Frontex received your complaint which was registered under the reference number CMP-2020-00022. In reference to it, the Frontex Fundamental Rights Officer (FRO) would like to inform you that based on Article 111 (4) of the Regulation 2019 / 1896 on European Border and Coast Guard 1 the FRO has reviewed the complaint. According to Article 8 of the Agency's Rules on the Complaints Mechanism 2 the complaint cannot be considered as admissible due to the following reason: -The actions alleged are not performed by staff involved in a Frontex activity. We kindly inform you that irrespective of this inadmissibility decision in relation to the European Border and Coast Guard Agency's involvement in your claim , you may wish to contact the following national institution and address your complaint to them: Federal Police Headquarters ~ Tel:~ We of course remain at your disposal in case of any further needed clarification . Yours sincerely, Fundamental Rights Officer a. i. European Border and Coast Guard Agency 1 Regulation (EU) 201911896 of tile European Parliament and of th e Council of 13 November 2019 011 the European Border and Coast Guard and repealing Regulations (EU) No 1052/2013 and (EU) 2016/1624 (OJ L 295, 11 . 11 .2019, p. 1- 131). 1 ED Decision No R-ED-2016 - 106 on the Comp laints Mechanism of 6 October 2016. Frontex - European Border and Coast Guard Agency www.frontex.europa. eu I Pl. Europejski 6, 00-844 Warsaw, Poland I Tel. +48 22 205 95 00 I Fax +48 22 205 95 01
1


                                            
                                                
                                                2
                                            
                                        

English ~ FRONTEX                          m EUROrEI\N BORDER /\ND COAST GUARD AGENCY COMPLAINT FORM for potential violations of fundamental rights General guidance Who can submit a complaint? 1. You, or a person or party acting on your behalf, may submit a complaint to Frontex, if you believe that you are directly affected by the actions of staff involved in a Frontex activity1, and you consider that one or more of your fundamental rights have been violated due to those actions. For a List offundamental rights as per EU Charter see Appendix I. 2. You can be represented by any party (e.g. another person, lawyer, organisations, family member, legal guardian, etc.). Any of these parties may file a complaint on your behalf. 3. Cases involving multiple complainants can also be submitted. How do l submit a complaint? 4. Your complaint must be submitted in writing. Your complaint will be handled by the Frontex Fundamental Rights Officer (FRO), an independent expert who monitors and promotes fundamental rights within Frontex. Using this complaint form will help the FRO to process your complaint more efficiently, but you can submit a complaint by other written means of your choice. At any stage of the procedure, the FRO may request you to submit additional information, documentation or clarification to your complaint. For this reason, it is important you add your contact details. 5. Complaints may be submitted in any EU language, and also in Arabic, Pashto, Urdu and Tigrinya. Complaint forms are available in these languages. 6. There is no maximum length for your complaint, but it is preferable that all the information is contained in no more than 15 pages. 7. You should submit your complaint within a year from the date on which the alleged violation of your fundamental rights occuned or you were informed or learnt about it or otherwise were able to submit the complaint. 1  Frontex activity means a: (i) Joint operation; (ii) pilot project; (iii) rapid border intervention, (iv) migration management support team deployment; (v) return operation or return intervention . For definitions of these activities please consult the Regulation (EU) 2016/ 1624 of 14 September 2016, on the European and Coast Guard Agency. Frontex - European Border and Coast Guard Agency www.frontex .europa.eu I Pl. Europejski 6, 00·844 Warsaw, Poland I Tel. +48 22 205 95 00 I Fax +48 22 205 95 01 '
3

::: FRONTEX • EUROPEAN BORDER /\ND COAS T GUARD AGENCY 8. Your complaint can only refer to facts that occurred or whose effects continued after 6 October 20162, otherwise it will be inadmissible. 9. You do not need to go through national procedures before submitting your complaint. 10. If you submit a complaint to Frontex, this does not prevent you from accessing other forms of complaint, such as national or European courts. 11. You should explain the detailed facts of your complaint, identifying the impact of those actions had on your fundamental rights (see Appendix I), to the extent possible. 12. Filing a complaint is free of charge. What happens after I submit my complaint? 13. Frontex and the FRO will treat all complaints as confidential unless you explicitly waive your right to confidentiality in this form or in any other written manner. 14. If your complaint refers to actions performed by a border guard pa1ticipating or deployed in a Frontex activity, your complaint will be refe1Ted by the FRO to national authorities who handle individual complaints and to national fundamental rights institutions. The FRO will inform you about which authority(ies) have received your complaint and provide you with their contact details. You need to specifically consent in order for the FRO to forward your personal data to the relevant authorities (see Section 5 in the complaint form). 15. If your complaint is declared inadmissible, the FRO will infonn you in writing about the reasons for the inadmissibility and, if possible, provide you with fu1ther options for addressing your concerns. 16. Any change of address, email or other contact details of the complainant should be notified as soon as possible to the FRO. Further information on the rules of the Frontex complaint mechanism can be found in the Agency's webpage: www.frontex.europa.cu/complaints 1. Information on the complainant(s) You are submitting the complaint as: (please select appropriate) Party Representing Affected Person(s) Representative: 2 TJatP. nf thP. P.ntrv into.force of the Regulatio (EU) 2016/1624 on the European Border and Coast Guard. z
4

~ FRONTEX• EUROPEAN BORDER /\ND COA ST GUARD AGENCY DIRECTLY AFFECTED PERSON(S): Last name(s): !==-1;;;;;;;;;;;;;;;;;=================================: First name(s): Age over 18 years old:        Yes     V Nationality(ies) (if known):                           .---'---_-_-_-_-_-_-_-_-_-_-_-_-_-_-_-_-_-_-__,--' If stateless, please specify the last lace o res1 ence: Address for corres ondence: Tel (please indicate country and area code): Fax:....__ _ _ _ _ _ _ _ _~ Other relevant infonnation: For cases that involve more than one complainant, please add personal data for each individual. ANY PARTY REPRESENTATIVE: Last name(s): First name(s): ';::::=========================::::::: Relationship to the complainant: Name of the Organisation, where.._a_p_p--;1-:--ic-a-;--b-;--le-:-;::::::================: Address for correspondence: Postcode: City:   ----===================================================: Country: E-mail: .-============================::::::::: Tel (please indicate country and area code): Fax: ...._ _____________________________                                                             ____, Other relevant infonnation: Note: The affected person must sign at the end of the complaint form to demonstrate her/his consent to being represented. If the complainant is unable to sign the complaint form due to justified reasons (e.g., deceased, missing, detention incommunicado, health reasons, illiteracy, etc.) or there are other compelling reasons for the complainant not to give a written authorization for your representation, please explain the reasons:                                                                                                3
5

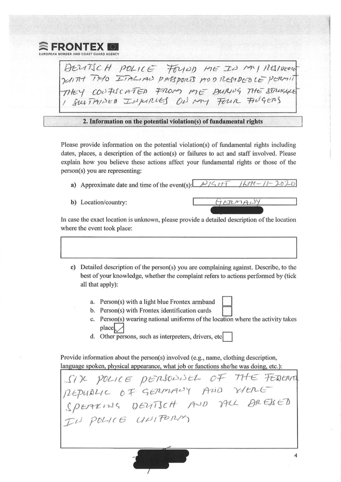
~     FRONTEX II EUROPEAN BORDER /\ND COAST GUARD AGENCY 91::-,1--1 I:[ C //         j?t)f_. / C f:::_._     ~LJD           ? 7€        :Z:.d fr!\/ Jl l1 I JJL'-Vtc',- )dl ·n··f' 'TJ3/0         :Z:.'ll't'L114v /J f't--f;f/NJt'U"J r,-v       O )le:Pf /)(:;-() lt:::-- JJcll/'? lr,_ •-,-;,-k:---1 COtJ ,1,.r c 1+-"l6J..>            :;==:ao/V'? 1.,;,1 E' lJU/ll o 'i nft;;. .svi :1<,,t,Lt=. - I     it4 1 tt/;) 1::' 0       7-,::,-1 J/f fl.,-l,£-j   O.J   M'-f         rc;u /L ·11iJ C,e::ft ~ 2. Information on the potential violation(s) of fundamental rights Please provide information on the potential violation(s) of fundamental rights including dates, places, a description of the action(s) or failures to act and staff involved. Please explain how you believe these actions affect your fundamental rights or those of the person( s) you are representing: a) Approximate date and time of the event(s):l~__             µ_·_;c~i~'~t'~--·_+-/~/,~/1~1_--_-~/~t_-_)-_0_"2::~D ~I b) Location/country: In case the exact location is unknown, please provide a detailed description of the location where the event took place: c) Detailed description of the person( s) you are complaining against. Describe, to the best of your knowledge, whether the complaint refers to actions perfonned by (tick all that apply): a. Person(s) with a light blue Frontex armband                D b. Person(s) with Frontex identification cards                D c. Person(s) wearing national uniforms of the location where the activity takes placeb2j d. Other persons, such as interpreters, drivers, etcO Provide infonnation about the person(s) involved (e.g. , name, clothing description, earance, what 'oh or functions she/he was <loin etc. : 4
6

~ FRONTEX• EURO PEAN BORDER AND COAS T GUARD A GE NCY d) Detailed description of the event, in a chronological order if possible (attach additional pages if necessary). If the potential violation is still ongoing, please specify: / l, e11 (} € ~    Cc - A-£.fAu L           ·r                             (+-- en/VJ~ L         I      lo       frt    L  1 /f-A-:rLM {;0;,.J :.fif (_        ;?) '/ /0 {/) e) Detailed description of how the event described above has affected you and how you consider that it violates your fundamental rights (for a list of.fundamental rights see Aooendix 1): /2,c:f:1 lJ,E; J ·-f - ·  y:Jt;-'}L.0~    /    J1, v ;) l/t1LJ f::-D ·.1--1-3.f47---t GJ     C1, _,   MI          -'J:-1 _t,-1 c, (:;:· J7_ _\ 3. Submission of your complaint to other authorities Note: You do not need to complete national procedures of any kind before submitting your complaint to Frontex. 1) Have you already submitted your complaint to any comt (e.g., national, European , etc.)? Please specify which court, the current status and the outcome of the procedure, if known: 2) Have you submitted your complaint to any other institution ( e.g., a national ombudsman, a national human rights institution, etc.)? Please specify which institution the current status and the outcome of the rocedure if known: ;Jo
7

~ FRONTEX• EU ROrE A N BORDER AND CO/\ ST GUARD AGENCY 4. Copies of supporting documents 1) Please provide copies of all available supporting documents related to your complaint. Examples of these documents could be: •    a copy of your ID, passport or other form of identification; •    copies of any documentation, pictures, videos, rep01is, certificates, witness statements or other supporting documents relevant to your complaint; •    if you have submitted your complaint to other courts or institutions (see Section 3), copies of complaint forms, pleadings, or decisions related to these procedures. 2    If ALL            /~ ' ---/        l}-OC C,(M t:;1--f1I  ·yftJL E  . CJ)/.)  FI j ( 11-Tt_- /J pt,D1•-;7            /:,:,2    b        /"1.J U p ~l'j  'T-,t)i1u10,    )t ~t'/r·-f   ~;. ..' {/ 774 --,c c L>            ( ·.-r-1---,i ~   (Yr Note: Please do not submit originals as they will not be returned to you 5. Confidentiality and personal data By submitting this complaint, you consent to the processing of your personal data by Frontex and FR0 3 . Further information on processing of personal data is defined in the respective privacy statement. Complaints are dealt with confidentially by Frontex and the FRO. If your complaint is declared admissible, it will be refen-ed to national authorities for follow up, including those competent to deal with violations of fundamental rights. Please confirm that you explicitly authorise the FRO to disclose your identity and personal data included in Section l with the relevant national authorities and fundamental rights institutions . If you decide not to share your personal data, the complaint might be rejected by the competent national authorities and human rights institutions. I hereby consent to the sending ofmy personal data to the national authorities, including those competent for fundamental rights in the relevant authorities of the State concerned (please tick) : 3 Within the meaning o_fpoint (d) ofArticle 5 of Regulation (EC) No 45/2001 /6
8

~ FRONTEX• EUROPEAN BORDER AND COAST GUARD /IGENCY Yesb1                                      No □ 6. Redress If your complaint is substantiated, what in your view could Frontex or other institutions do to address the harm caused? 7. Submission of your complaint You can submit your complaint and the necessary attachments via email ( complaints@frontex.europa.eu); the Frontex website; directly to Frontex staff where the activity takes places; or by post: Frontex Fundamental Rights Officer, Complaints Frontex Plac Europejski 6 00-844 Warsaw Poland In case of submission of this electronic form, kindly write your full name below: Date:     [rC,?lt-/J Ih. . p I I Complainant Date:      .___ _ _ _ _,I      Party Representative 1 7
9

~ FRONTEX • EU ROPEAN BORDER AN D COAS T GUARD AGENC Y Frontex complaints mechanism PRIVACY STATEMENT Your complaint contains personal data such as your name and contact details and may contain copies of supporting documents related to your complaint (for example, photos that document physical injuries, police reports, etc.). The Frontex Fundamental Rights Office r is the data controller for the Frontex complaints mechanism . In the handling of your complaint, your data will be processed . Processing data can include its recording, organisation, storage by the Frontex Fundamental Rights Officer and his/her staff specifically tasked to handle complaints. Where applicable, data processing may also include disclosure to the Frontex Executive Director, the Frontex Data Protection Officer, the Member State(s) authority(ies) in charge of dealing with such compla ints and the national fundamental rights institution s in the relevant Member State(s) . The recipients of your data will vary depending on the persons that you consider have violated your fundamental rights and the rights that may have been violated. Fo r the Fundamental Rights Officer and his/her staff to be able to disclose your personal data to the relevant national authority(ies) in charge of dealing with such complaints and the national fundamental rights institutions, you need to explicitly waive your right to confidentiality in the complaint form or in any other written form. If you do not waive your right to confidential ity, the Fundamental Rights Officer will only send the facts and not your personal data to the relevant national authorities the national fundamental rights institutions. It is important for you to know that if you do not waive your right to confidentiality, your complaint might be rejected by the national authority(ies) in charge of dealing with complaints or the national fundamental rights institutions if they do not accept anonymous complaints. The purpose of processing your personal data is to enable all relevant authorities to assess, handle and investigate your complaint in the most meaningful way, as they will be able to verify facts and be in contact where necessary. You can read about the different stages of the complaints mechanism in Article 72 of Regulation 2016/1624 on the European Border and Coast Guard as well as in the Agency's rules on the Complaints Mechanism adopted by the Decision of the Executive Directo r No. R-ED-2016-106 on th e Complaints Mechanism of 6 October 2016 and published on the Frontex website. Your data will be retained no longer than three (3) years from the acknowledgment of receipt of your complaint by the Fundamental Rights Officer. In this moment, you will be informed about the data retentio n pe riod. After three (3) years, your data will be deleted. The data retention period may be extended for si x (6) months only in justified cases. In this case, the Fundamental Rights Officer will contact you to ask for your permission to extend the data retention period by six (6) months. According to the EU Charter of Fundamental Rights, Regulation 45/2001 and Directive 95/46/EC, you have the right to access your own data, the right to rectification of your data, the right to withdraw your consent to the processing of your data, the right to block the processing of your data, the right to erasure, as well as the right to recourse with the European Data Protection Supervisor (www .edps .euro pa.e u). When handling the complaint, the Fundamental Rights Officer or his/her staff will also process the personal data of witnesses, persons accused, and other third parties that is contained in the complaint. They will be informed of th e processing of th eir personal data wh ere relevant and feasibl e. 8
10

Zur nächsten Seite