Copy of Copy of 20201215_Themis_2015_PAD_UPDATE

/ 2
PDF herunterladen
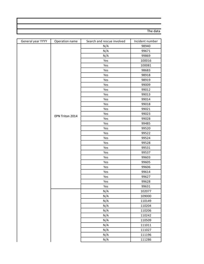
The data General year YYYY Operation name  Search and rescue involved Incident number N/A                  98940 N/A                  99671 N/A                  99869 Yes                  100016 Yes                  100081 Yes                  98683 Yes                  98918 Yes                  98919 Yes                  99009 Yes                  99012 Yes                  99013 Yes                  99014 Yes                  99018 Yes                  99021 Yes                  99023 EPN Triton 2014 Yes                  99028 Yes                  99485 Yes                  99520 Yes                  99522 Yes                  99524 Yes                  99528 Yes                  99531 Yes                  99537 Yes                  99603 Yes                  99605 Yes                  99606 Yes                  99614 Yes                  99627 Yes                  99628 Yes                  99631 N/A                  102077 N/A                  109000 N/A                  110149 N/A                  110204 N/A                  110206 N/A                  110242 N/A                  110509 N/A                  111011 N/A                  111027 N/A                  111196 N/A                  111286
1

N/A 113561 N/A 113963 N/A 113968 N/A 119802 N/A 120468 N/A 128035 N/A 133819 N/A 140611 N/A 143322 No  102019 No  102260 No  102281 No  103681 No  104491 No  105948 No  106924 No  106925 No  107854 No  107896 No  107902 No  108150 No  108440 No  109003 No  109006 No  110208 No  111548 No  111731 No  111782 No  111903 No  113022 No  113098 No  113425 No  113501 No  114329 No  115525 No  115869 No  116255 No  116463 No  116470 No  116756 No  116832 No  117496 No  118000 No  118853 No  119270 No  119368 No  120419
2