WD 9 - 013/22 Zur COVID-19-Schutzimpfung in den Mitgliedstaaten der Europäischen Union. Zahlen zu Impfdosen und gemeldeten Verdachtsfällen

/ 10
PDF herunterladen
Wissenschaftliche Dienste Sachstand Zur COVID-19-Schutzimpfung in den Mitgliedstaaten der Europäischen Union Zahlen zu Impfdosen und gemeldeten Verdachtsfällen © 2022 Deutscher Bundestag                         WD 9 - 3000 - 013/22
1

Wissenschaftliche Dienste                Sachstand                                                              Seite 2 WD 9 - 3000 - 013/22 Zur COVID-19-Schutzimpfung in den Mitgliedstaaten der Europäischen Union Zahlen zu Impfdosen und gemeldeten Verdachtsfällen Aktenzeichen:                      WD 9 - 3000 - 013/22 Abschluss der Arbeit:              24.02.2022 Fachbereich:                       WD 9: Gesundheit, Familie, Senioren, Frauen und Jugend Die Wissenschaftlichen Dienste des Deutschen Bundestages unterstützen die Mitglieder des Deutschen Bundestages bei ihrer mandatsbezogenen Tätigkeit. Ihre Arbeiten geben nicht die Auffassung des Deutschen Bundestages, eines sei- ner Organe oder der Bundestagsverwaltung wieder. Vielmehr liegen sie in der fachlichen Verantwortung der Verfasse- rinnen und Verfasser sowie der Fachbereichsleitung. Arbeiten der Wissenschaftlichen D ienste geben nur den zum Zeit- punkt der Erstellung des Textes aktuellen Stand wieder und stellen eine individuelle Auftragsarbeit für einen Abge- ordneten des Bundestages dar. Die Arbeiten können der Geheimschutzordnung des Bundestages unterliegende, ge- schützte oder andere nicht zur Veröffentlichung geeignete Informationen enthalten. Eine beabsichtigte Weitergabe oder Veröffentlichung ist vorab dem jeweiligen Fachbereich anzuzeigen und nur mit Angabe der Quelle zulässig. Der Fach- bereich berät über die dabei zu berücksichtigenden Fragen.
2

Wissenschaftliche Dienste        Sachstand                          Seite 3 WD 9 - 3000 - 013/22 Inhaltsverzeichnis 1.         Einleitung                                             4 2.         Anzahl der gelieferten und verabreichten Impfdosen in den Mitgliedstaaten der EU                             4 3.         Gemeldete Verdachtsfälle in der Europäischen Datenbank 7
3

Wissenschaftliche Dienste               Sachstand                                                             Seite 4 WD 9 - 3000 - 013/22 1.    Einleitung Aktuell wurden in den Mitgliedstaaten der Europäischen Union (EU) nahezu 850 Millionen 1 Impfdosen gegen das Corona-Virus SARS-CoV-2 verabreicht. Wie alle Arzneimittel können auch Impfstoffe nach der Verabreichung unerwünschte Reaktionen hervorrufen, die überwiegend schnell abklingen. Schwere Nebenwirkungen, Impfkomplikationen oder Impfschäden kommen 2 selten vor. Der vorliegende Sachstand führt die dem Europäischen Zentrum für die Prävention und die Kon- 3 trolle von Krankheiten (European Centre for Disease Prevention and Control - ECDC) vorliegende Anzahl der insgesamt verabreichten COVID-19-Impfstoffdosen je Mitgliedstaat der EU an. Zudem wird die an die einzelnen Mitgliedstaaten der EU gelieferte Anzahl der Impfstoffdosen, aufge- schlüsselt nach Impfstoff, genannt. Im Anschluss wird auf die Europäische Datenbank gemelde- 4 ter Verdachtsfälle von Arzneimittelnebenwirkungen (Eudra-Vigilance) eingegangen und die dort gemeldete Zahl der Verdachtsfälle von Nebenwirkungen im Zusammenhang mit einer COVID-19- Schutzimpfung, differenziert nach Mitgliedsstaat und Impfstoff gezeigt. Hierbei beschränken sich 5 nachfolgende Darstellungen auf die von der EU zugelassenen Impfstoffe. Der neu zugelassene Impfstoff Nuvaxovid (Novavax) konnte noch nicht berücksichtigt werden. 2.    Anzahl der gelieferten und verabreichten Impfdosen in den Mitgliedstaaten der EU Der von dem ECDC betriebenen COVID-19 Vaccine Tracker ist ein interaktives Dashboard, das einen jeweils aktuellen Überblick über die Fortschritte bei den COVID-19-Impfungen in den EU-/EWR-Ländern bietet. Die Daten im Vaccine Tracker stammen direkt von den zuständigen 6 EU/EWR-Gesundheitsbehörden. 1     European Centre for Disease Prevention and Control (ECDC), COVID-19 Vaccine Tracker, COVID-19 Dashboard, Vaccine Uptake, Stand: 18. Februar 2022, abrufbar unter https://qap.ecdc.europa.eu/public/extensions/COVID- 19/vaccine-tracker.html#uptake-tab. Dieser sowie alle weiteren Links zuletzt abgerufen am 18. Februar 2022. Die Zahlen beziehen sich auf die Gesamtbevölkerung einschließlich Personen unter 18 Jahren. 2     Bundesministerium für Gesundheit, Zusammen gegen Corona, Corona-Schutzimpfung, Impfreaktionen und Ne- benwirkungen nach einer Corona-Schutzimpfung, abrufbar unter https://www.zusammengegencorona.de/imp- fen/logistik-und-recht/impfkomplikation-das-koennen-sie-tun/. 3     Das ECDC ist eine Agentur der Europäischen Union mit der Aufgabe, die Verhütung und Kontrolle übertragba- rer Krankheiten in der Europäischen Union zu verbessern. 4     EudraVigilance steht für European Union Drug Regulating Authorities Pharmacovigilance. 5     Zu den zugelassenen Impfstoffen und dem Zulassungsverfahren vgl. Paul -Ehrlich-Institut (PEI), FAQ, Entwick- lung, Zulassung, Chargenprüfung, Stand: 20. Dezember 2021, abrufbar unter https://www.pei.de/DE/ser- vice/faq/coronavirus/faq-coronavirus-node.html;jsessionid=D8A4B0E0B6F05DE9CE8F6D832AFD250D.intra- net242. 6     ECDC, COVID-19 Vaccine Tracker, Notes on the data, General information, abrufbar unter https://vac- cinetracker.ecdc.europa.eu/public/extensions/COVID-19/vaccine-tracker.html#notes-tab.
4

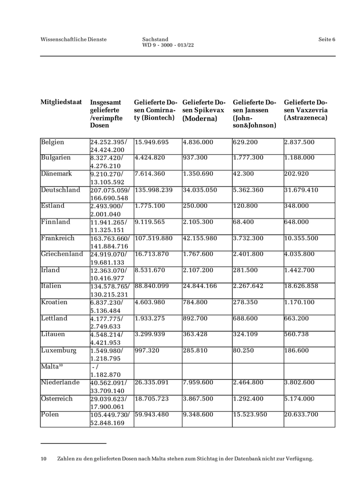
Wissenschaftliche Dienste                  Sachstand                                                            Seite 5 WD 9 - 3000 - 013/22 Innerhalb der Mitgliedstaaten der EU ist zu differenzieren zwischen den an diese ausgelieferten Dosen und den tatsächlich verimpften Dosen. So hat Dänemark mehr Dosen verimpft als es über die EU bezogen hat, da das Land zusätzlich auf eigenem Wege – ohne die EU – Impfstoffe gekauft 7 hat. Demgegenüber werden in vielen Ländern nicht alle gelieferten Dosen auch tatsächlich ver- abreicht, u. a. weil Länder im Rahmen der COVAX-Initiative Impfstoffe aus ihrem Kontingent an 8 ärmere Länder abgeben. Das ECDC verweist darauf, dass alle aufgeführten Zahlen mit Vorsicht und dem Wissen um die Limitierungen der Datenerhebung zu bewerten seien, da die Datenbank auf das Meldesystem und die gemeldeten Zahlen der einzelnen Staaten angewiesen ist. Zudem ergäben sich zeitliche Ver- zögerungen zwischen der Meldung der Zahlen und ihrer Verarbeitung. Anhand der Datenbank ergab sich folgende Aufteilung mit Stand vom 15. Februar 2022, der Da- 9 ten einschließlich der sechsten Kalenderwoche umfasste: 7     Beschaffung von Impfstoff: Europa hat ein Vertrauensproblem, Süddeutsche Zeitung online, 2. März 2021, ab- rufbar unter https://www.sueddeutsche.de/politik/corona-europa-impfallianz-kleine-laender-1.5222929 . 8     COVAX ist die Abkürzung für COVID-19 Vaccines Global Access, einer Initiative, die einen weltweit gleichmä- ßigen und gerechten Zugang zu COVID-19-Impfstoffen gewährleisten will. Zur COVAX-Initiative siehe UNICEF, COVAX und UNICEF: Corona-Impfstoff für die ärmsten Länder, abrufbar unter https://www.unicef.de/informie- ren/projekte/unicef-ziele-110800/hygiene-111244/coronavirus-impfstoffe-fuer-die-aermsten-laender/235762. 9     European Centre for Disease prevention a nd Control, COVID-19 Vaccine Tracker, Doses by Product und Country Profiles, fortlaufend aktualisierter Stand, abrufbar unter https://qap.ecdc.europa.eu/public/extensions/COVID- 19/vaccine-tracker.html#summary-tab.
5

Wissenschaftliche Dienste              Sachstand                                                           Seite 6 WD 9 - 3000 - 013/22 Mitgliedstaat      Insgesamt        Gelieferte Do- Gelieferte Do-          Gelieferte Do-      Gelieferte Do- gelieferte       sen Comirna- sen Spikevax              sen Janssen         sen Vaxzevria /verimpfte       ty (Biontech) (Moderna)                (John-              (Astrazeneca) Dosen                                                   son&Johnson) Belgien            24.252.395/      15.949.695         4.836.000           629.200             2.837.500 24.424.200 Bulgarien          8.327.420/       4.424.820          937.300             1.777.300           1.188.000 4.276.210 Dänemark           9.210.270/       7.614.360          1.350.690           42.300              202.920 13.105.592 Deutschland        207.075.059/     135.998.239        34.035.050          5.362.360           31.679.410 166.690.548 Estland            2.493.900/       1.775.100          250.000             120.800             348.000 2.001.040 Finnland           11.941.265/      9.119.565          2.105.300           68.400              648.000 11.325.151 Frankreich         163.763.660/     107.519.880        42.155.980          3.732.300           10.355.500 141.884.716 Griechenland       24.919.070/      16.713.870         1.767.600           2.401.800           4.035.800 19.681.133 Irland             12.363.070/      8.531.670          2.107.200           281.500             1.442.700 10.416.977 Italien            134.578.765/     88.840.099         24.844.166          2.267.642           18.626.858 130.215.231 Kroatien           6.837.230/       4.603.980          784.800             278.350             1.170.100 5.136.484 Lettland           4.177.775/       1.933.275          892.700             688.600             663.200 2.749.633 Litauen            4.548.214/       3.299.939          363.428             324.109             560.738 4.421.953 Luxemburg          1.549.980/       997.320            285.810             80.250              186.600 1.218.795 10 Malta               -/ 1.182.870 Niederlande        40.562.091/      26.335.091         7.959.600           2.464.800           3.802.600 33.709.140 Österreich         29.039.623/      18.705.723         3.867.500           1.292.400           5.174.000 17.900.061 Polen              105.449.730/     59.943.480         9.348.600           15.523.950          20.633.700 52.848.169 10    Zahlen zu den gelieferten Dosen nach Malta stehen zum Stichtag in der Datenbank nicht zur Verfügung.
6

Wissenschaftliche Dienste                Sachstand                                                          Seite 7 WD 9 - 3000 - 013/22 Portugal             29.205.160/      17.895.560         4.601.500         1.621.600           5.086.500 23.090.925 Rumänien             26.042.875/      17.618.875         2.604.100         2.820.300           2.999.600 15.725.768 11 Schweden             23.616.895/      16.932.195         5.071.000                  -          1.613.700 19.284.531 12 Slowakei             9.283.869/       6.127.680          868.800           475.200             1.612.189 6.972.823 Slowenien            5.017.260/       3.050.460          612.600           230.400             1.123.800 2.947.779 Spanien              135.370.759/     70.686.709         26.575.400        12.341.450          25.767.200 95.833.373 Tschechien           23.523.874/      17.578.880         2.725.700         1.341.000           1.878.294 17.219.551 13 Ungarn               30.624.816/      11.256.360         1.728.000         3.939.600           6.513.800 15.880.255 Zypern               2.325.658/       1.602.058          154.000           137.300             432.300 1.698.343 3.     Gemeldete Verdachtsfälle in der Europäischen Datenbank 14 Die von der Europäischen Arzneimittelagentur (European Medicines Agency - EMA) betriebene Europäische Datenbank EudraVigilance wurde im Jahr 2012 geschaffen, um der Öffentlichkeit 15 Zugang zu Verdachtsfällen sogenannter unerwünschter Arzneimittelwirkungen zu gewäh- 16 ren. Rechtsgrundlage für die EudraVigilance-Datenbank sind Art. 24 Abs. 2 und Art. 57 Abs. 1 11     Schweden verwendete den Impfstoff Janssen nicht. 12     Die Slowakei verwendet zusätzlich den Impfstoff Sputnik V. 13     Ungarn verwendet zusätzlich die Impfstoffe Beijing CBNG und Sputnik V. 14     Die EMA ist eine Agentur der Europäischen Union, die für die wissenschaftliche Evaluierung, Überwachung und Sicherheitsüberprüfung von Human- und Tierarzneimitteln in der EU zuständig ist. 15     Verdachtsfälle sind medizinische Ereignisse, die im Rahmen der Anwendung eines Arzneimittels beobachtet wurden, die aber nicht notwendigerweise mit dem Arzneimittel in Zusammenhang stehen oder von ihm verur- sacht wurden, vgl.: Europäische Datenbank gemeldeter Verdachtsfälle von Arzneimittelnebenwirkungen, Glossar, Stichwort Nebenwirkungen, abrufbar unter https://www.adrreports.eu/de/glossary.html 16     Europäische Datenbank gemeldeter Verdachtsfälle von Arzneimittelnebenwirkungen, Hintergrund, abrufbar un- ter https://www.adrreports.eu/de/background.html. Für nähere Informationen zum Meldeverfahren in Deutsch- land vgl. Wissenschaftliche Dienste des Deutschen Bundestages, Zu unerwünschten Arzneimittelwirkungen: Meldeverfahren und Zahlen, WD 9 – 3000 – 094/20, Sachstand vom 17. November 2020, abrufbar unter https://www.bundestag.de/resource/blob/808474/772decd8c74534b81a77f4798d4c0ed8/WD -9-094-20-pdf- data.pdf?fbclid=IwAR3ZozQZ6Qq11KSj8TGleAWdnW3kbl1BmRVHXjcB5sgxi-RB2I66szCZS7o.
7

Wissenschaftliche Dienste                Sachstand                                                              Seite 8 WD 9 - 3000 - 013/22 17 Buchst. d der Verordnung (EG) Nr. 726/2004 , wonach die EMA die Sammlung und Verbreitung von Informationen über die vermuteten Nebenwirkungen der in der EU genehmigten Arznei- mittel mittels einer jederzeit zugänglichen Datenbank gewährleistet sowie in Zusammenarbeit mit den Mitgliedstaaten und der Kommission die funktionsbezogenen Spezifikationen der Daten- bank sowie einen Zeitplan für die Einführung erstellt. 18 In Artikel 1 Nr. 11 der Richtlinie 2001/83/EG ist eine Arzneimittelnebenwirkung, auch bezeich- net als unerwünschte Arzneimittelwirkung (UAW), definiert als „eine Reaktion auf das Arznei- mittel, die schädlich und unbeabsichtigt ist.“ Dieser Begriff schließt sowohl Nebenwirkungen 19 aufgrund von bestimmungsgemäßem als auch von nicht bestimmungsgemäßem Gebrauch ein. Eine Nebenwirkung wird als schwerwiegend eingestuft, wenn sie tödlich oder lebensbedrohend ist, eine stationäre Behandlung oder Verlängerung einer stationären Behandlung erforderlich macht, zu bleibender oder schwer wiegender Behinderung oder Invalidität führt oder eine konge- nitale Anomalie bzw. ein Geburtsfehler ist (Art. 1 Nr. 12 der Richtlinie 2001/83/EG). Eine Mel- dung kann sich auf schwerwiegende oder nicht schwerwiegende Nebenwirkungen beziehen. Zum besseren Verständnis der fortlaufend aktualisierten Datenbank erklärt die EMA ausdrück- lich: „Die Informationen auf dieser Website sind nicht als Bestätigung zu verstehen, dass zwischen dem jeweiligen Arzneimittel und der/den beobachteten Reaktion/en ein Zusammenhang besteht. Die Informationen auf dieser Website betreffen vermutete Zusammenhänge und spiegeln die Be- obachtungen und Ansichten des Melders wider. Teil der kontinuierlichen Überwachung des Nut- zens und der Risiken eines Arzneimittels ist die wissenschaftliche Untersuchung einer möglichen Ursache-Wirkungsbeziehung zwischen einem Arzneimittel und einer beobachteten Reaktion. Bei dieser Untersuchung werden noch verschiedene andere Faktoren berücksichtigt, wie z. B. der Ge- sundheitszustand und die Krankengeschichte des Patienten. Die Informationen können auch be- kannte Nebenwirkungen, die bereits in der Zusammenfassung der Merkmale des Arzneimitt els (Summary of Product Characteristics, SmPC) und der Packungsbeilage aufgelistet sind, enthal- ten. Aus der Anzahl der in EudraVigilance erfassten vermuteten Nebenwirkungen sollten keine Rückschlüsse auf die Wahrscheinlichkeit, mit der eine Nebenwirkung auftritt, gezogen werden. Der Grund dafür ist, dass die Zahlen im Zusammenhang mit anderen Faktoren, z. B. der Anzahl 17     Verordnung (EG) Nr. 726/2004 des Europäischen Parlaments und des Rates vom 31. März 2004 zur Festlegung von Gemeinschaftsverfahren für die Genehmigung und Überwachung von Human - und Tierarzneimitteln und zur Errichtung einer Europäischen Arzneimittel-Agentur, ABl. (EU) L 136 vom 30. April 2004, zuletzt geändert durch Art. 1 ÄndVO (EU) 2019/5 vom 11. Dezember 2018 (ABl. 2019 L 4 S. 24). 18     Richtlinie 2001/83/EG des Europäischen Parlaments und des Rates vom 6. November 2001 zur Schaffung eines Gemeinschaftskodexes für Humanarzneimittel, (ABl. L 311 S. 67, ber. 2003 L 302 S. 40, 2014 L 239 S. 81), zu- letzt geändert durch Art. 1 VO (EU) 2019/1243 vom 20. Juni 2019 (ABl. L 198 S. 241). 19     Europäische Datenbank gemeldeter Verdachtsfälle von Arzneimittelnebenwirkungen, Häufig gestellte Fragen, Stichwort Nebenwirkungen, abrufbar unter https://www.adrreports.eu/de/faqs.html .
8

Wissenschaftliche Dienste                 Sachstand                                                         Seite 9 WD 9 - 3000 - 013/22 der Patienten, die das Arzneimittel anwenden, und dem seit der Zulassung des Arzneimittels ver- 20 strichenen Zeitraum, beurteilt werden müssen.“ Mit Stichtag 12. Februar 2022 war die folgende Anzahl gemeldeter Verdachtsfälle, aufgeschlüs- 21 selt nach Impfstoffen, abrufbar: Mitgliedstaat           UAW Corminaty           UAW Spikevax           UAW Janssen           UAW Vaxzevria (Biontech)              (Moderna)              (Johnson&John-        (Astrazeneca) son) Belgien                 11.519                  3.251                  957                   6.254 Bulgarien               1.008                   398                    160                   2.244 Dänemark                14.035                  6.539                  439                   7.696 Deutschland             132.591                 36.922                 8.206                 48.441 Estland                 2.667                   510                    322                   2.806 Finnland                5.787                   1.246                  4                     1.526 Frankreich              91.016                  21.887                 1.461                 28.954 Griechenland            6.096                   629                    306                   1.836 Irland                  9.008                   1.582                  431                   5.944 Italien                 81.048                  16.059                 1.627                 22.662 Kroatien                3.482                   697                    320                   1.756 20    Europäische Datenbank gemeldeter Verdachtsfälle von Arzneimittelnebenwirkungen, Haftungsausschluss, ab- rufbar unter https://www.adrreports.eu/de/disclaimer.html. In englischer Sprache sind entsprechende speziell auf COVID-19 abgestimmte Informationen der EMA abrufbar unter https://www.adrreports.eu/de/co- vid19_message.html. Zu dieser Thematik siehe auch Deutsche Welle, Impf-Nebenwirkungen: WHO-Zahlen falsch interpretiert, 3. Dezember 2021, abrufbar unter https://www.dw.com/de/impf-nebenwirkungen-who-zah- len-falsch-interpretiert/a-59996755 sowie BR 24, EMA-Datenbank zeigt keine bestätigten Impf-Nebenwirkungen, 9. August 2021, abrufbar unter https://www.br.de/nachrichten/wissen/ema-datenbank-zeigt-keine-bestaetigten- impf-nebenwirkungen,SfD3uRs. 21    Die Meldungen über Verdachtsfälle von Nebenwirkungen differenziert nach Impfstoff sind fortlaufend aktuali- siert abrufbar unter https://www.adrreports.eu/de/search_subst.html#. Zur Vorgehensweise: Buchstsabe C ist anzuklicken und bis COVID-19 herunterzuscrollen, Anschließend kann innerhalb der jeweiligen Statistik „Number of Individual Cases by EEA countries“ angeklickt werden.
9

Wissenschaftliche Dienste     Sachstand                          Seite 10 WD 9 - 3000 - 013/22 Lettland              1.414         560            368    1.127 Litauen               3.418         619            471    2.205 Luxemburg             1.628         194            63     298 Malta                 254           43             20     531 Niederlande           104.114       35.424         14.732 38.080 Österreich            36.318        6.933          5.472  29.246 Polen                 4.209         449            905    5.087 Portugal              11.707        2.857          1.908  6.265 Rumänien              4.529         558            338    1.036 Schweden              17.228        3.888          5      6.648 Slowakei              1.590         109            25     1.170 Slowenien             2.067         70             61     367 Spanien               32.960        11.810         1.652  12.933 Tschechien            10.695        1.260          419    1.752 Ungarn                2.762         259            88     2.066 Zypern                563           270            11     167 ***
10