Transparenz der Vergabe von Geldbußen und -auflagen an Organisationen im Saarland

/ 28
PDF herunterladen
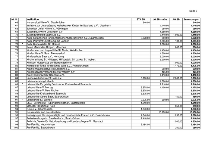
Seite 3 lfd. Nr.   Institution                                                                  STA SB      LG SB + AGe   AG SB     Zuwendungen 66    Hurenselbsthilfe e.V., Saarbrücken                                                246,00                                246,00 67    Initiative zur Unterstützung krebskranker Kinder im Saarland e.V., Überherrn                  7.740,00                7.740,00 68    Johaniter Unfall Hilfe e.V., Völklingen                                                         250,00                  250,00 69    Jugendfeuerwehr Völklingen e.V.                                                               1.850,00                1.850,00 70  * Jugendwerkstatt Saarlouis e.V.                                                                6.410,00  1.000,00      7.410,00 71    Kath. Gefangenen- und Entlassenenfürsorgeverein e.V., Saarbrücken               3.278,00        300,00                3.578,00 72    Kath. Pfarramt Christkönig, St. Johann                                                        4.565,00    100,00      4.665,00 73  * Kath. Kindergarten St. Oranna                                                                 1.300,00                1.300,00 74    Keine Macht den Drogen, München                                                                           800,00        800,00 75    Kinderheim und Jugendhilfe St. Maria, Weiskirchen                                             1.450,00                1.450,00 76    Kinderhilfe e.V. Saar, Fremersdorf                                                            1.500,00                1.500,00 77    Kinderschutz Saar e.V., Homburg                                                               6.000,00                6.000,00 78  * Kirchenstiftung St. Hildegard Hilfsprojekt Sri Lanka, St. Ingbert                             5.200,00                5.200,00 79    Klinikum Mutterhaus der Borromäerinnen                                                                  1.000,00      1.000,00 80    Komitee für Ärzte für die Dritte Welt e.V., Frankfurt/Main                                              1.475,00      1.475,00 81    Krankenhausförderverein Losheim e.V.                                                            280,00                  280,00 82    Kreisfeuerwehrverband Merzig-Wadern e.V.                                                        125,00                  125,00 83    Kreisverkehrswacht Saarlouis e.V.                                                             4.410,00                4.410,00 84    Landesverkehrswacht Saar e.V.                                                   3.260,00                2.000,00      5.260,00 85    Lebensberatung Lebach                                                                         1.300,00                1.300,00 86  * Lebenshilfe für geistig Behinderte, Kreisverband Saarlouis                                    2.210,00                2.210,00 87    Lebenshilfe e.V. Merzig                                                         3.375,00      1.100,00                4.475,00 88    Lebenshilfe e.V. Neunkirchen                                                    3.375,00                              3.375,00 89  * Lebenshilfe Kreisverband Saarlouis                                              3.375,00                              3.375,00 90    Lebenshilfe Obere Saar, Saarbrücken                                                                       150,00        150,00 91  * Lebenshilfe St. Wendel                                                          3.375,00        600,00                3.975,00 92    LSG - Lerchesflur - Sportgemeinschaft, Saarbrücken                              1.310,00                              1.310,00 93    Malteser Hilfsdienst, Köln                                                                                350,00        350,00 94    Nele e.V., Saarbrücken                                                          1.640,00                              1.640,00 95    Neunkircher Zoo, Neunkirchen                                                                 15.100,00               15.100,00 96    Notrufgruppe für vergewaltigte und misshandelte Frauen e.V., Saarbrücken        1.640,00                1.250,00      2.890,00 97    Polizeiseelsorge im Saarland e.V., Saarbrücken                                  2.410,00                              2.410,00 98    Pollichia, Verein für Naturforschung und Landespflege e.V., Neustadt                                    1.500,00      1.500,00 99    Pro Familia, Neunkirchen                                                        2.184,00                              2.184,00 100    Pro Familie, Saarbrücken                                                                                  250,00        250,00
11

Seite 4 lfd. Nr.   Institution                                                                          STA SB      LG SB + AGe     AG SB     Zuwendungen 101    Psychologische Beratungsstelle, Caritas, St. Ingbert                                    1.304,00                                1.304,00 102    Reiten für Kinder mit Behinderung e.V., Merzig                                                         1.200,00                 1.200,00 103    Rettungsstiftung Jürgen Pegler e.V., Heilbronn                                                           210,00     500,00        710,00 104  * Selbsthilfegruppe krebskranker Kinder Amberg-Sulzbach e.V., Ammertal                                     300,00                   300,00 105  * SOMA e.V., München                                                                                     1.200,00                 1.200,00 106    SOS Kinderdorf e.V., München                                                            3.276,00         200,00                 3.476,00 107    Staatskasse                                                                           306.647,00     144.797,85  45.530,00    496.974,85 108    Synagogengemeinde Saar, Saarbrücken                                                                               1.250,00      1.250,00 109    Telefonseelsorge Saarbrücken                                                            1.394,00       4.300,00     800,00      6.494,00 110    Terre des hommes BRD e.V., Osnabrück                                                                   3.830,00                 3.830,00 111  * Tierheim Dillingen                                                                                       350,00                   350,00 112    UNICEF                                                                                                   285,00                   285,00 113    Unsere Kleinen Brüder und Schwestern e.V., Karlsruhe                                                                200,00        200,00 114    Verein der Freunde Körperbehinderter e.V., Neunkirchen                                                 2.160,00                 2.160,00 115  * Verein der Katzenfreunde                                                                                          1.500,00      1.500,00 116    Verein zur Förderung der Bewährungs- u. Jugendgerichtshilfe im Saarland e.V. Saarbr.    6.552,00      30.445,00  81.616,00    118.613,00 117    Verkehrsclub Deutschland VCD                                                                                        300,00        300,00 118    Weißer Ring, Mainz                                                                      1.640,00      13.700,00                15.340,00 119    Welthungerhilfe                                                                                          100,00                   100,00 120    WWF Deutschland                                                                                          400,00                   400,00 387.647,00     351.751,35 162.591,00    901.989,35 * nicht in der Orientierungsliste des Landgerichts Saarbrücken enthalten
12

Aufteilung der Zuwendungen im Jahr 2010 auf einzelne Behörden (berichtige Liste) lfd. Nr.    Institution                                                                             STA SB    LG SB + AGe  AG SB     Zuwendungen 1   Aids-Hilfe Saar e.V.                                                                                    300,00                 300,00 2   Ärzte für die Dritte Welt, Frankfurt                                                                    800,00                 800,00 3 * Arbeiterwohlfahrt e.V., Homburg                                                                       7.750,00  2.150,00     9.900,00 4 * AZ Aphasiker-Zentrum St. Wendel e.V.                                                                              600,00       600,00 5 * B.A.D.S. Bund gegen Alkohol und Drogen am Steuer                                                        100,00                 100,00 6   BAG Selbsthilfe, Düsseldorf                                                                             350,00                 350,00 7   Balance, Verein für pädagogisches Reiten, Merzig                                                        950,00                 950,00 8   Blieskasteler Freunde und Helfer Schutzengel                                                          1.400,00               1.400,00 9 * Brot für die Welt                                                                                               1.700,00     1.700,00 10    Bund gegen Alkohol u.Drogen im Straßenverkehr e.V.Landessektion Saar, Riegelsberg        4.995,00     4.230,00               9.225,00 11  * BUND Saar                                                                                                       1.000,00     1.000,00 12  * Caritasverband für Saarbrücken und Umgebung e.V., Völklingen                                            600,00                 600,00 13    Caritasverband Saar-Hochwald Saarlouis e.V.                                                             450,00                 450,00 14    CEB Christliche Erwachsenenbildung, Hilbringen                                                           50,00                  50,00 15    Chance Jugendarbeit e.V., Saarbrücken                                                    3.358,00       300,00  4.300,00     7.958,00 16    Christliche Bürgerhilfe Beckingen e.V.                                                                  700,00                 700,00 17    Deutsche Kriegsgräberfürsorge, Landesverband Saar                                        1.199,00                            1.199,00 18  * Deutsche Tibethilfe, Hamburg                                                                                    2.350,00     2.350,00 19  * Deutsche Verkehrswacht Kreis- und Ortsverkehrswacht Völklingen e.V.                                     500,00                 500,00 20    Deutsche Verkehrswacht, Neunkirchen                                                                     200,00                 200,00 21    Deutsche Welthungerhilfe, Bonn                                                                      13.950,00               13.950,00 22    Deutscher Kinderschutzbund Untere Saar e.V.                                              1.699,00                            1.699,00 23    Deutsches Kinderhilfswerk e.V., Berlin                                                                  560,00                 560,00 24    Diakonisches Werk, Stuttgart                                                                             50,00                  50,00 25    Diakonisches Werk an der Saar, "Tat und Rat", Neunkirchen                                             1.100,00               1.100,00 26    Direkthilfe Neunkirchen, Gemeinn. Verein zur Überwindung sozialer Notlagen                                        500,00       500,00 27    Donum vitae, Saarbrücken                                                                                500,00                 500,00 28    Drogenberatung e.V., Saarbrücken                                                         3.330,00                            3.330,00 29  * Drogenhilfe Saar                                                                                                  900,00       900,00 30  * Elterninitiative für das seelisch erkrankte u. verhaltensauffällige Kind Thüringen e.V.                           500,00       500,00
13

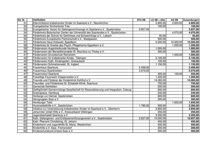
lfd. Nr.   Institution                                                                       STA SB    LG SB + AGe  AG SB     Zuwendungen 31   Elterninitiative krebskranker Kinder im Saarland e.V., Neunkirchen                              2.800,00  2.000,00     4.800,00 32   Evangelischer Kirchenkreis Trier                                                                  100,00                 100,00 33   Evangelischer Verein für Gefangenenfürsorge im Saarland e.V., Saarbrücken          2.657,00                            2.657,00 34   Förderkreis Botanischer Garten der Universitõt des Saarlandes e.V., Saarbrücken                           4.070,00     4.070,00 35   Förderkreis der Schule für Gehörlose und Schwerhörige e.V., Lebach                                 50,00                  50,00 36   Förderkreis Europäische Partnerschaft e.V., Wadgassen                                             500,00                 500,00 37   Förderkreis Haus Hubwald, Eppelborn                                                             5.500,00 10.000,00    15.500,00 38   Förderkreis für Kranke des Psych.-Pflegeheims Eppelborn e.V.                                              1.200,00     1.200,00 39 * Förderverein Augenheilkunde Homburg                                                             1.000,00               1.000,00 40   Förderverein der Benediktinerabtei St. Mauritius zu Tholey e.V.                                   300,00                 300,00 41 * Förderverein Grundschule Reinsheim                                                                        1.000,00     1.000,00 42 * Förderverein für krebskranke Kinder, Tübingen                                                   2.100,00               2.100,00 43 * Förderverein Kath. Kindergarten, Gresaubach                                                       100,00                 100,00 44   Förderverein Schmelzerwald, St. Ingbert                                                         1.150,00               1.150,00 45   Frauenhaus Saarlouis                                                               2.499,00                            2.499,00 46 * Frauenhaus Saarbrücken                                                             3.570,00                            3.570,00 47 * Frauennotruf Saarland                                                                             400,00    150,00       550,00 48   Freiwillige Feuerwehr Düppenweiler e.V.                                                         1.200,00               1.200,00 49   Freunde und Förderer der Kinderklinik Kohlhof e.V.                                            14.060,00               14.060,00 50   Freundes- und Förderkreis St. Elisabeth-Klinik, Saarlouis                                         750,00                 750,00 51   Gemeinde Nohfelden                                                                                200,00                 200,00 52   GeRigGmbH Gemeinnützige Gesellschaft für Resozialisierung und Integration, Coburg                 600,00                 600,00 53   Greenpeace, Hamburg                                                                               240,00                 240,00 54   Herberge zur Heimat, Saarbrücken                                                                  600,00                 600,00 55   Herzgruppen Saar e.V.                                                                             300,00                 300,00 56   Homburger Tafel                                                                                           1.650,00     1.650,00 57   Hurenselbsthilfe e.V., Saarbrücken                                                 1.785,00       500,00               2.285,00 58   Initiative zur Unterstützung krebskranker Kinder im Saarland e.V., Überherrn                    3.850,00               3.850,00 59   Johanniter Unfall Hilfe e.V., Kreisverband Völklingen                                             250,00                 250,00 60 * Jugendwerkstatt Saarlouis e.V.                                                                  3.350,00               3.350,00 61   Kath. Gefangenen- und Entlassenenfürsorgeverein e.V., Saarbrücken                  2.657,00   10.000,00               12.657,00 62   Kath. Pfarramt Christkönig, St. Johann                                                            450,00                 450,00 63   Kinderheim und Jugendhilfe St. Maria, Weiskirchen                                                 500,00                 500,00 64   Kinderhilfe e.V. Saar, Fremersdorf                                                                200,00                 200,00 65   Kinderschutzbund Untere Saar e.V.                                                                 300,00                 300,00
14

lfd. Nr.   Institution                                                               STA SB    LG SB + AGe  AG SB     Zuwendungen 66   Kinderschutz Saar e.V., Homburg                                                                  11.600,00    11.600,00 67   Kirchenstiftung St. Pirmina und St. Michel, St. Ingbert                                   500,00                 500,00 68 * Kirchenstiftung St. Hildegard Hilfsprojekt Sri Lanka, St. Ingbert                       5.000,00               5.000,00 69   Kreisfeuerwehrverband Merzig-Wadern e.V.                                                  625,00                 625,00 70   Kreisverkehrswacht Saarlouis e.V.                                                         290,00                 290,00 71   Landesverkehrswacht Saar e.V.                                              3.596,00               1.500,00     5.096,00 72   Lebensberatung St. Wendel                                                               1.875,00               1.875,00 73   Lebensberatung Lebach                                                                     800,00                 800,00 74 * Lebenshilfe GmbH Kreisvereinigung Saarlouis                                               150,00                 150,00 75 * Lebenshilfe St. Wendel                                                                    650,00                 650,00 76   Lobby für Kinder e.V., Saarbrücken                                                                  150,00       150,00 77   Malteser Hilfsdienst, Köln                                                                550,00  6.750,00     7.300,00 78   Misereor                                                                                  225,00                 225,00 79   Nele e.V., Saarbrücken                                                     6.069,00                            6.069,00 80   Neunkircher Zoo, Neunkirchen                                                              200,00                 200,00 81   Notrufgruppe für vergewaltigte und misshandelte Frauen e.V., Saarbrücken   6.069,00                            6.069,00 82   Polizeiseelsorge im Saarland e.V., Saarbrücken                             6.069,00                            6.069,00 83   Pollichia, Verein für Naturforschung und Landespflege e.V., Neustadt                              8.000,00     8.000,00 84   Psychologische Beratungsstelle, Caritas, St. Ingbert                       1.199,00                            1.199,00 85   Reiten für Kinder mit Behinderung e.V., Merzig                                             60,00                  60,00 86   Rettungsstiftung Jürgen Pegler e.V., Heilbronn                                            460,00                 460,00 87   Rumänisch-Orthodoxe Kirchengemeinde Saarbrücken                                         1.300,00               1.300,00 88   Saarländische Jugendfeuerwehr Völklingen e.V.                                           1.150,00               1.150,00 89   Saarländische Krebsliga e.V., Saarbrücken                                                         3.000,00     3.000,00 90 * SOMA e.V., München                                                                        500,00                 500,00 91   SOS Kinderdorf e.V., München                                               1.648,00       600,00    100,00     2.348,00 92   Staatskasse                                                              381.688,00  541.236,94  67.600,00   990.524,94 93   Stiftung zur Vermeidung von Verkehrsopfern, Frankfurt                                     500,00                 500,00 94   Suchthilfe Fleckenbühl e.V., Cölbe                                                        500,00                 500,00 95   Synagogengemeinde Saar, Saarbrücken                                                               2.800,00     2.800,00 96   Telefonseelsorge Saarbrücken                                               3.570,00     1.300,00               4.870,00 97   Terre des hommes BRD e.V., Osnabrück                                                    1.040,00               1.040,00 98 * THW Ortsverband Saarlouis                                                               1.000,00               1.000,00 99   UNICEF                                                                                    400,00                 400,00 100   Unsere Kleinen Brüder und Schwestern e.V., Karlsruhe                                              5.000,00     5.000,00
15

lfd. Nr.   Institution                                                                              STA SB    LG SB + AGe   AG SB     Zuwendungen 101 * Verein der Freunde Körperbehinderter e.V., Neunkirchen                                                    50,00                   50,00 102 * Verein Helfer und Förderer THW e.V., St. Ingbert                                                       1.000,00                1.000,00 103   Verein zur Förderung der Bewährungs- u. Jugendgerichtshilfe im Saarland e.V. Saarbr.      5.314,00   37.925,00   48.227,00    91.466,00 104 * Verein zur Förderung von Beschäftigung u. berufl. Bildung im Landkreis Merzig-Wadern e.V                 200,00                  200,00 105 * WAL Verein für integratives Wohnen, Arbeiten und Leben im Saarland                        1.648,00   11.000,00                12.648,00 106   Weißer Ring, Mainz                                                                        6.069,00     9.480,00               15.549,00 107   WWF Deutschland                                                                                          200,00                  200,00 450.688,00 706.956,94    188.797,00 1.346.441,94
16

Aufteilung der Zuwendungen im Jahr 2011 auf einzelne Behörden lfd. Nr.   Institution                                                                           STA SB     LG SB    AG SB     AG HOM    AG LEB    AG MZG    AG NK     AG OTW    AG SLS    AG IBG    AG WND    AG VK     Zuwendungen 1    Aids-Hilfe Saar e.V.                                                                                       1.250,00                                                                300,00                         1.550,00 2    Aktion Arbeit des Bistums Trier                                                         2.384,00                                                                                                                  2.384,00 3    Aktion Deutschland hilft, Bonn                                                                               200,00                                                      790,00                                     990,00 4    Aktionsbündnis Amoklauf Winnenden, e.V.                                                                                                                                  200,00                                     200,00 5    Ärzte für die Dritte Welt, Frankfurt                                                                       1.500,00                                                                                               1.500,00 6  * ARGE St. Ingbert                                                                                                                                                                   180,00                           180,00 7  * AWO Homburg                                                                                                  900,00  2.000,00                                                                                     2.900,00 8  * AWO-Vespe St. Ingbert                                                                                                                                                            7.590,00                         7.590,00 9    Balance, Verein für pädagogisches Reiten, Merzig                                                                                                             4.450,00                                             4.450,00 10    Blieskasteler Freunde und Helfer Schutzengel                                                                           600,00                                                                                       600,00 11    Brandschutz Förderverein FFW Losheim                                                                                             750,00                                                                             750,00 12    Brot für die Welt                                                                                          1.200,00                                                                                               1.200,00 13  * Bund Freunde der Erde                                                                              205,00                                                                                                           205,00 14    Bund gegen Alkohol u.Drogen im Straßenverkehr e.V.Landessektion Saar, Riegelsberg       6.534,00             250,00  2.900,00    150,00            4.975,00            1.420,00                        600,00    16.829,00 15  * BUND Saar                                                                                                    500,00                                                                                                 500,00 16    Bundesarbeitsgemeinschaft Selbsthilfe von Menschen mit Behinderung                                                                                                        60,00                                      60,00 17  * Caritaseinrichtung Landesaufnahmestelle Lebach                                          3.268,00                                           400,00                                                                 3.668,00 18  * Caritasverband St. Wendeler Tafel                                                                                                                                                          1.200,00               1.200,00 19  * Caritas Zentrum Saarpflaz-Suchtberatung                                                                                300,00                                                                                       300,00 20    CEB Christliche Erwachsenenbildung, Hilbringen                                                                                           1.900,00                                                                 1.900,00 21    Chance Jugendarbeit e.V., Saarbrücken                                                   3.973,00   500,00  2.600,00                                                                                  1.850,00     8.923,00 22  * CDJ Homburg GmbH                                                                        3.267,00                                                                                                                  3.267,00 23    Christliche Bürgerhilfe Beckingen e.V.                                                                                                     500,00                                                                   500,00 24    Christoffel Blindenmission, Bensheim                                                                         780,00                                                      300,00                                   1.080,00 25    Deutsche Kinderkrebshilfe, Bonn                                                                              500,00                                                                                                 500,00 26    Deutsche Kriegsgräberfürsorge, LV Saar                                                  2.384,00                                                                                                                  2.384,00 27    Deutsche Multiple Sklerose Gesellschaft                                                                      550,00                                                                                                 550,00 28    Deutsche Schlaganfall-Hilfe Stiftung, Gütersloh                                                                      1.000,00                                                                                     1.000,00 29  * Deutsche Tibethilfe, Hamburg                                                                               3.000,00                                                                                               3.000,00 30  * Deutsche Verkehrswacht Kreis- und Ortsverkehrswacht Völklingen e.V.                                                                                                                                    300,00       300,00 31    Deutsche Verkehrswacht, Neunkirchen                                                                                                                  400,00                                                         400,00 32    Deutsche Welthungerhilfe, Bonn                                                                                                                                                               400,00                 400,00 33    Deutscher Ausländischer Jugendclub DAJC                                                                      400,00                                                                                                 400,00 34    Deutscher Kinderschutzbund, Saarbrücken                                                 3.973,00                                                                                                                  3.973,00 35    Deutsches Rotes Kreuz Kreisverband St. Ingbert                                                                                                                                     500,00                           500,00 36  * Diakonisches Werk Pfalz - Fachstelle Sucht -, Zweibrücken                                                                                            200,00                                                         200,00 37    Diakonisches Werk, Stuttgart                                                                                                                                             100,00                                     100,00 38    Diakonisches Werk an der Saar, "Tat und Rat", Neunkirchen                                                                                          1.850,00                                                       1.850,00 39    Die Lobby, Kinderschutzbund Ortsverband Saarbrücken                                                          250,00                                                                                                 250,00 40  * Die Tür Suchtberatung Trier                                                                                                                500,00                                                                   500,00 41    Donum vitae                                                                             1.324,00                                                                                                                  1.324,00 42    Drogenberatung e.V., Saarbrücken                                                        3.267,00                                                                                                                  3.267,00 43    Elterninitiative krebskranker Kinder im Saarland e.V., Neunkirchen                                         3.000,00    500,00  4.760,00            2.350,00              950,00                                  11.560,00 44  * Evangelische Pfarrgemeinde Burbach                                                                 300,00                                                                                                           300,00 45    Evangelischer Verein für Gefangenenfürsorge                                             4.503,00                                                                                                                  4.503,00 46    Fechtsportclub e.V. St. Ingbert                                                                                                                                                    200,00                           200,00 47  * Fechtsportverein St. Ingbert                                                                                                                                                       500,00                           500,00 48    Förderkreis Botanischer Garten der Universität des Saarlandes e.V., Saarbrücken                            4.550,00                                                                                               4.550,00 49    Förderkreis der Schule für Gehörlose und Schwerhörige e.V., Lebach                                                               650,00                                                                             650,00 50    Förderkreis Haus Hubwald, Eppelborn                                                                        3.000,00                                          2.610,00                                             5.610,00 51    Förderkreis St. Jakobus, Weiskirchen                                                    1.590,00                                                                                                                  1.590,00 52  * Förderverein Gesamtschule Bellevue                                                                         3.500,00                                                                                               3.500,00 53    Förderverein Grundschule Reinheim                                                                          2.000,00                                                                                               2.000,00 54  * Förderverein Kath. Kindergarten, Gresaubach                                                                                                950,00                                                                   950,00 55  * Förderverein Kath. Kindergarten, Klarenthal                                                                  500,00                                                                                                 500,00 56  * Förderverein Kindergarten St. Josef, Bildstock                                                             2.000,00                                                                                               2.000,00 57    Förderverein Kunst und Kultur im Saarländischen Strafvollzug                            1.590,00                                                                                                                  1.590,00
17

lfd. Nr.   Institution                                                             STA SB    LG SB     AG SB     AG HOM    AG LEB    AG MZG    AG NK     AG OTW    AG SLS    AG IBG    AG WND AG VK    Zuwendungen 58  * Förderverein Museum Pachten e.V.                                                                                                                         1.900,50                               1.900,50 59  * Förderverein Partnerschaft Dillingen - Sutera e.V.                                                                                                          50,00                                  50,00 60    Förderverein Schmelzerwald, St. Ingbert                                                                                                                              800,00                       800,00 61    Förderverein St. Jakobus Hospiz e.V., Saarbrücken                        3.267,00              900,00                                                                                           4.167,00 62  * Frauenhaus Elisabeth-Zillken-Haus, Saarbrücken                           3.870,00                                                                                                               3.870,00 63    Frauenhaus Saarlouis                                                     3.870,00                                                                                                               3.870,00 64    Frauennotruf Saarland                                                              5.000,00    750,00                                            300,00                                         6.050,00 65    Freiwillige Feuerwehr Düppenweiler e.V.                                                                                      700,00                                                               700,00 66    Freiwillige Feuerwehr Losheim e.V.                                                                                         1.400,00                                                             1.400,00 67    Freunde und Förderer der Kinderklinik Kohlhof e.V.                                 5.000,00              900,00                      1.500,00                      1.200,00                     8.600,00 68    Greenpeace, Hamburg                                                                                                                                        320,00                                 320,00 69    Haus Sonne Walsheim e.V.                                                                    14.500,00                                                                                          14.500,00 70    Herberge zur Heimat                                                      2.384,00                                                                                                               2.384,00 71    Hilfe für das autistische Kind, Wadgassen                                                      100,00                                                                                             100,00 72    Hilfe zur Selbsthilfe Suchtkranker und Suchtgefährdeter                                                                                                    950,00                                 950,00 73    Homburger Tafel                                                                              6.500,00                                                                                           6.500,00 74    Hurenselbsthilfe e.V., Saarbrücken                                       1.959,70                      5.000,00                                                                                 6.959,70 75    Johanniter Unfall Hilfe e.V., Kreisverband Völklingen                                                                                                                                300,00       300,00 76  * Jugend forscht                                                                               1.000,00                                                                                           1.000,00 77  * Jugendwerkstatt Saarlouis e.V.                                                                 400,00                                                    1.350,00                               1.750,00 78    Kath. Gefangenen- und Entlassenenfürsorgeverein e.V., Saarbrücken        4.503,00                                                      100,00                                                   4.603,00 79  * Kath. Kindergarten Landsweiler                                                                                     950,00                                                                         950,00 80    Kath. Pfarramt Christkönig, St. Johann                                                                                                                      70,00                                  70,00 81    Kinderheim und Jugendhilfe St. Maria Weiskirchen                                                                           1.550,00                                                             1.550,00 82  * Kinderhospizdienst Saar, Neunkirchen                                                                                                                                 150,00                       150,00 83  * Kirchenstiftung St. Hildegard Hilfsprojekt Sri Lanka, St. Ingbert                                                                                                    700,00                       700,00 84    Kreisfeuerwehrverband Merzig-Wadern e.V.                                                                                     400,00                                                               400,00 85    Kreuzbund Neunkirchen e.V. (Suchtkranke)                                                                                                                   500,00                                 500,00 86    Landesverkehrswacht Saar e.V.                                            5.563,00                                                                                                               5.563,00 87  * Landkreis Saarlouis - Unterhaltsvorschusskasse                                                                                                           2.248,00                               2.248,00 88    Lebensberatung St. Wendel                                                                                                                                  600,00                                 600,00 89    Lebensberatung Lebach                                                                                              200,00                                                                         200,00 90    Lebenshilfe Kreisverband Saarlouis                                       3.267,00                                                                                                               3.267,00 91  * Lebenshile Merzig                                                        3.267,00                                                                                                               3.267,00 92    Lebenshilfe Neunkirchen                                                  3.267,00                                                                                                               3.267,00 93  * Lebenshilfe Kreisverband St. Wendel                                      3.267,00                                                                                                               3.267,00 94    Lebenshilfe Obere Saar, Saarbrücken                                                            250,00                                                                                             250,00 95    LSG Lerchesflur - Sportgemeinschaft                                      1.590,00                                                                                                               1.590,00 96    Malteser Hilfsdienst, Köln                                                                  29.600,00    600,00                                            170,00                    900,00    31.270,00 97    Misereor                                                                                                                                                   200,00                                 200,00 98    Mukoviszidose e.V., Bonn                                                                                                                                   300,00                                 300,00 99    Nele e.V., Saarbrücken                                                   6.590,00                                                                                                               6.590,00 100    Neunkircher Zoo, Neunkirchen                                                                                                         1.500,00                                                   1.500,00 101    Nestwärme e.V. Deutschland, Saarbrücken                                                                  500,00                                                                                   500,00 102    Notrufgruppe für vergewaltigte und mißhandelte Frauen e.V., Saarbrücken  5.425,00                                                      150,00                                                   5.575,00 103    Pestalozzi Kinder- und Jugenddorf Wahlwies e.V., Stockach                                                                                        125,00                                           125,00 104  * Pfad für Kinder, Stadtbergen                                                                                                                               205,00                                 205,00 105    Polizeiseelsorge im Saarland e.V., Saarbrücken                           6.590,00                                                                                                               6.590,00 106    Pollichia, Verein für Naturforschung und Landespflege e.V., Neustadt                         6.000,00                                                                                           6.000,00 107  * Probare Trierer Verein für Straffälligenhilfe e.V., Trier                                                                                                                            700,00       700,00 108    Pro familia Neunkirchen                                                  1.324,00                                                                                                               1.324,00 109  * Profund Osnabrück (NABU)                                                                                                                                   900,00                                 900,00 110    Psychologische Beratungsstelle, Caritas, St. Ingbert                     3.973,00                                                                                                               3.973,00 111    Reiten für Kinder mit Behinderung e.V., Merzig                                                                               150,00                                                               150,00 112    Rettungsdienststiftung Björn Steiger e.V., Winnenden                                                                         155,00                                                               155,00 113    Rettungsstiftung Jürgen Pegler e.V., Heilbronn                                                                   2.000,00                                                                       2.000,00 114    Rumänisch-Orthodoxe Kirchengemeinde Saarbrücken                                                                              900,00                                                               900,00 115  * SHG med. Controlling                                                                         7.500,00                                                                                           7.500,00 116    Saarbrücker Tafel                                                                              500,00                                                                                             500,00 117    Soldatenhilfswerk der Bundeswehr e.V., Bonn                                                                                                              2.800,00                               2.800,00
18

lfd. Nr.   Institution                                                                            STA SB    LG SB      AG SB     AG HOM     AG LEB    AG MZG     AG NK     AG OTW    AG SLS    AG IBG    AG WND    AG VK     Zuwendungen 118    SOS Kinderdorf e.V., München                                                            2.651,00                                    200,00                                                              10.000,00    12.851,00 119  * SOS Kinderdorf e.V. Jung hilft Alt, Merzig                                                                                                   1.375,00                                                                 1.375,00 120    Sozialdienst katholischer Frauen e.V., Saarbrücken                                                                                  300,00                                                                              300,00 121    Staatskasse                                                                           418.439,00 11.800,00  31.250,00   7.550,00 11.800,00   9.409,00 33.968,84           17.965,00                      2.194,00   544.375,84 122  * Stiftung Pfennigparade (Rehazentrum für körperbehinderte Menschen)                                           1.200,00                                                                                                 1.200,00 123    Stiftung zur Vermeidung von Verkehrsopfern, Frankfurt                                                                   2.000,00                                                                                      2.000,00 124    Synagogengemeinde Saar, Saarbrücken                                                                          5.000,00                                                                                                 5.000,00 125  * SV 07 Elversberg                                                                                                                                         600,00                                                         600,00 126    Telefonseelsorge Saarbrücken                                                            3.870,00             4.500,00                                                        580,00                        400,00     9.350,00 127    Terre des hommes Deutschland e.V., Osnabrück                                                                                                                                                   2.000,00               2.000,00 128    Tierschutzverein Homburg und Umgebung e.V.                                                                              1.000,00                         500,00                                                       1.500,00 129    UNICEF                                                                                                         650,00                                                                                                   650,00 130    Unsere Kleinen Brüder und Schwestern e.V., Karlsruhe                                                                                                                         100,00                                     100,00 131    Verein der Freunde Körperbehinderter e.V., Neunkirchen                                                                                                   400,00                                                         400,00 132  * Verein Helfer und Förderer THW e.V., St. Ingbert                                                                                                                                       600,00                           600,00 133    Verein zur Förderung der Bewährungs- u. Jugendgerichtshilfe im Saarland e.V. Saarbr.    7.947,00 20.120,00  19.600,00   2.000,00  3.800,00   1.200,00  1.030,00            9.109,00  9.450,00    400,00  7.780,00    82.436,00 134  * Verein zur Förd. von Beschäftigung und beruflicher Bildung im Landkreis Merzig-Wadern                                                        3.400,00                                                                 3.400,00 135  * Villa Winzig, Kindertagesstätte e.V., Neunkirchen                                                                                                      1.950,00                                                       1.950,00 136  * WAL Verein für integratives Wohnen, Arbeiten und Leben im Saarland                      3.973,00                                                                                     6.500,00                        10.473,00 137    Weißer Ring, Mainz                                                                      6.590,00  2.000,00     500,00             1.000,00     200,00  6.700,00                                  600,00    800,00    18.390,00 138    WWF Deutschland                                                                                                                                200,00                        680,00                                     880,00 545.503,70 44.925,00 163.130,00  26.850,00 26.560,00  25.289,00 58.173,84  7.485,00 44.817,50 28.670,00  4.600,00 25.824,00 1.001.828,04
19

Aufteilung der Zuwendungen im Jahr 2012 auf einzelne Behörden Nr.     Institution                                                               STA SB      LG SB     AG SB    AG HOM    AG LEB   AG MZG    AG NK    AG OTW    AG SLS   AG IBG   AG WND AG VK    Zuwendungen 1   Aids-Hilfe Saar e.V.                                                                                        300,00                                                                               300,00 2   Ärzte ohne Grenzen e.V.                                                                           300,00                                                   250,00                                550,00 3   Aktion Arbeit des Bistums Trier                                            3.240,00                                                                                                            3.240,00 4   Amnesty International, Bonn                                                                     2.480,00                                                   900,00                              3.380,00 5   Ärzte für die Dritte Welt, Frankfurt                                                            1.500,00                                                          1.100,00                     2.600,00 6 * AWO Homburg                                                                                               7.750,00                      900,00                                                 8.650,00 7 * AWO Saarland Stiftung Saarbrücken                                                       800,00    750,00                                                    50,00                              1.600,00 8   AWO Saarlouis                                                                                                                                            1.000,00                              1.000,00 9 * AWO-Vespe St. Ingbert                                                                                                                                             4.200,00                     4.200,00 10    Bärenherz Stiftung für schwerstkranke Kinder                                                                600,00                                                                               600,00 11    Balance, Verein für pädagogisches Reiten, Merzig                                                                                                2.140,00                                       2.140,00 12    Blieskasteler Freunde und Helfer Schutzengel                                                              8.000,00                                                                             8.000,00 13  * Bruderschaft Jesus der Barmherzige e.V.                                                                                                                           1.400,00                     1.400,00 14    Bund gegen Alkohol u.Drogen im Straßenverkehr e.V. Landessektion Saar      5.400,00               250,00    800,00   200,00             700,00           1.090,00                   900,00     9.340,00 15  * BUND Saar                                                                                       1.700,00                                                                                       1.700,00 16  * Caritaseinrichtung Landesaufnahmestelle Lebach                             2.700,00                                            850,00                                                          3.550,00 17    Caritasverband Saar-Hochwald e.V. Saarlouis                                                                                                                840,00                                840,00 18  * Caritas Zentrum Saarpflaz-Suchtberatung                                                                   2.500,00                                                3.600,00                     6.100,00 19    CEB Christliche Erwachsenenbildung, Hilbringen                                                                                 200,00                                                            200,00 20    Chance Jugendarbeit e.V., Saarbrücken                                      6.480,00            11.200,00                                500,00                                    4.615,00    22.795,00 21  * CDJ Homburg GmbH                                                           2.700,00                         500,00                                                                             3.200,00 22    Christliche Bürgerhilfe Beckingen e.V.                                                                                       1.000,00                                                          1.000,00 23    Christoffel Blindenmission, Bensheim                                                            1.300,00                                                   500,00                              1.800,00 24    Deutsche Kinderkrebshilfe, Bonn                                                                 1.760,00                                                                                       1.760,00 25    Deutsche Knochenmarkspenderdatei, DKMS                                                3.000,00                                                                                                 3.000,00 26    Deutsche Kriegsgräberfürsorge, LV Saar                                     3.240,00                                                                                                            3.240,00 27  * Deutsche Tibethilfe, Hamburg                                                                    1.500,00                                                                                       1.500,00 28    Deutsche Verkehrswacht, Neunkirchen                                                                                                     550,00                                                   550,00 29    Deutscher Kinderschutzbund, Saarbrücken                                    4.050,00             1.625,00                                                                                       5.675,00 30    Diakonisches Werk der Evangelischen Kirche in Deutschland                                         200,00                                                                                         200,00 31    Diakonisches Werk, Stuttgart                                                                                                                               155,00                                155,00 32    Diakonisches Werk an der Saar, "Tat und Rat", Neunkirchen                  5.616,00                                                   4.525,00                                                10.141,00 33    Die Lobby, Kinderschutzbund Ortsverband Saarbrücken                                             3.200,00                                                                                       3.200,00 34    Donum vitae                                                                1.620,00                                                                         75,00                              1.695,00 35    Drogenberatung e.V., Saarbrücken                                           2.700,00                                                                                                            2.700,00 36    Elterninitiative krebskranker Kinder im Saarland e.V.                                              80,00  4.800,00 6.660,00             550,00                      600,00                    12.690,00 37    Evangelischer Verein für Gefangenenfürsorge                                6.480,00             7.000,00                                                                                      13.480,00 38    Fechtsportclub e.V. St. Ingbert                                                                                                                                     300,00                       300,00 39    Forensisches Forum Frankfurt                                                                      600,00                                                                                         600,00 40    Fördergemeinschaft Bücherfreunde Beckingen e.V.                                                                                300,00                                                            300,00 41    Förderkreis Botanischer Garten der Universität des Saarlandes e.V.                              7.699,98                                                                                       7.699,98 42    Förderkreis Haus Hubwald, Eppelborn                                                                                                             8.200,00                                       8.200,00 43    Förderkreis St. Jakobus, Weiskirchen                                       2.160,00                                                                                                            2.160,00 44  * Förderverein Augenheilkunde Homburg                                                                         700,00                                                                               700,00 45  * Förderverein Kath. Kindergarten, Gresaubach                                                                          150,00    700,00                                                            850,00 46    Förderverein Kunst und Kultur im Saarländischen Strafvollzug               2.160,00                                                                                                            2.160,00
20

Zur nächsten Seite