Ausmaß und Auswirkungen von Armut im Land Brandenburg

/ 45
PDF herunterladen
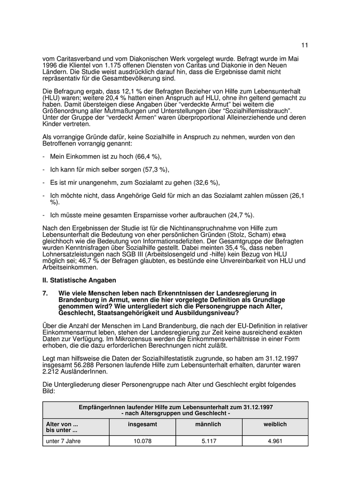
11 vom Caritasverband und vom Diakonischen Werk vorgelegt wurde. Befragt wurde im Mai 1996 die Klientel von 1.175 offenen Diensten von Caritas und Diakonie in den Neuen Ländern. Die Studie weist ausdrücklich darauf hin, dass die Ergebnisse damit nicht repräsentativ für die Gesamtbevölkerung sind. Die Befragung ergab, dass 12,1 % der Befragten Bezieher von Hilfe zum Lebensunterhalt (HLU) waren; weitere 20,4 % hatten einen Anspruch auf HLU, ohne ihn geltend gemacht zu haben. Damit übersteigen diese Angaben über “verdeckte Armut” bei weitem die Größenordnung aller Mutmaßungen und Unterstellungen über “Sozialhilfemissbrauch”. Unter der Gruppe der “verdeckt Armen“ waren überproportional Alleinerziehende und deren Kinder vertreten. Als vorrangige Gründe dafür, keine Sozialhilfe in Anspruch zu nehmen, wurden von den Betroffenen vorrangig genannt: - Mein Einkommen ist zu hoch (66,4 %), - Ich kann für mich selber sorgen (57,3 %), - Es ist mir unangenehm, zum Sozialamt zu gehen (32,6 %), - Ich möchte nicht, dass Angehörige Geld für mich an das Sozialamt zahlen müssen (26,1 %). - Ich müsste meine gesamten Ersparnisse vorher aufbrauchen (24,7 %). Nach den Ergebnissen der Studie ist für die Nichtinanspruchnahme von Hilfe zum Lebensunterhalt die Bedeutung von eher persönlichen Gründen (Stolz, Scham) etwa gleichhoch wie die Bedeutung von Informationsdefiziten. Der Gesamtgruppe der Befragten wurden Kenntnisfragen über Sozialhilfe gestellt. Dabei meinten 35,4 %, dass neben Lohnersatzleistungen nach SGB III (Arbeitslosengeld und -hilfe) kein Bezug von HLU möglich sei; 46,7 % der Befragen glaubten, es bestünde eine Unvereinbarkeit von HLU und Arbeitseinkommen. II. Statistische Angaben 7.     Wie viele Menschen leben nach Erkenntnissen der Landesregierung in Brandenburg in Armut, wenn die hier vorgelegte Definition als Grundlage genommen wird? Wie untergliedert sich die Personengruppe nach Alter, Geschlecht, Staatsangehörigkeit und Ausbildungsniveau? Über die Anzahl der Menschen im Land Brandenburg, die nach der EU-Definition in relativer Einkommensarmut leben, stehen der Landesregierung zur Zeit keine ausreichend exakten Daten zur Verfügung. Im Mikrozensus werden die Einkommensverhältnisse in einer Form erhoben, die die dazu erforderlichen Berechnungen nicht zuläßt. Legt man hilfsweise die Daten der Sozialhilfestatistik zugrunde, so haben am 31.12.1997 insgesamt 56.288 Personen laufende Hilfe zum Lebensunterhalt erhalten, darunter waren 2.212 AusländerInnen. Die Untergliederung dieser Personengruppe nach Alter und Geschlecht ergibt folgendes Bild: EmpfängerInnen laufender Hilfe zum Lebensunterhalt zum 31.12.1997 - nach Altersgruppen und Geschlecht - Alter von ...                 insgesamt              männlich               weiblich bis unter ... unter 7 Jahre                   10.078                 5.117                 4.961
11

12 EmpfängerInnen laufender Hilfe zum Lebensunterhalt zum 31.12.1997 - nach Altersgruppen und Geschlecht - 7 - 15 Jahre                            7.904                            4.032                        3.872 15 - 18 Jahre                             3.038                            1.423                        1.615 18 - 25 Jahre                             8.816                            3.185                        5.631 25 - 50 Jahre                            20.110                            9.292                       10.818 50 - 65 Jahre                             4.132                            2.058                        2.074 65 Jahre und älter                        2.210                             495                         1.715 insgesamt                                56.288                           25.602                       30.686 Quelle: Landesamt für Datenverarbeitung und Statistik (LDS), eigene Berechnungen Die Untergliederung nach Schulbildung erfolgt nur für die Personen im Alter zwischen 15 und 65 Jahren und zeigt folgende Verteilung: EmpfängerInnen laufender Hilfe zum Lebensunterhalt nach Schulabschluß 31.12.1997 insgesamt                                                                               35.943 in Ausbildung                                                                            2.937 Berufsbildungsreife (Hauptschulabschluss)                                                8.169 Fachoberschulreife (Realschulabschluss)                                                  5.559 Fachhochschulreife/Hochschulreife                                                        1.273 sonstiger Schulabschluss                                                                10.417 kein Schulabschluss                                                                      2.023 Schulabschluss unbekannt                                                                 5.565 Quelle: LDS, eigene Berechnungen 8.      Wie hat sich seit 1990 die Einkommenssituation der verschiedenen Haushaltstypen in Brandenburg entwickelt, differenziert nach a) Einpersonenhaushalten, b) Ein-Eltern-Haushalten mit einem Kind, c) Ein-Eltern-Haushalten mit zwei Kindern, d) Ein-Eltern-Haushalten mit mehr als zwei Kindern, e) Familien ohne Kind, f) Familien mit einem Kind, g) Familien mit zwei Kindern, h) Familien mit mehr als zwei Kindern? Hinsichtlich der Entwicklung der Einkommensituation der genannten Familien- und Haushaltstypen liegen nur begrenzt valide Daten vor. Bei der Erhebung des Mikrozensus
12

13 wird lediglich die Zahl der Haushalte in einzelnen Einkommensklassen ausgewiesen. Für alle Familien- und Haushaltstypen gilt, dass zwischen 1993 und 1996 die Zahl der einkommensschwächeren Haushalte abgenommen hat, die der Einkommensstärkeren dagegen zugenommen hat. Differenziert ist die Entwicklung zwischen 1996 und 1997 zu betrachten. Die Zahl und der Anteil der einkommensstärkeren Familien ohne Kinder ist hier weiter leicht gestiegen, während die Zahl und der Anteil der einkommensstärkeren Familien mit Kindern leicht zurückging. Im Einzelnen ergibt sich folgendes Bild: Einkommen nach Familientypen 1993/1996/1997 Familien Familientyp Jahr                       mit einem Nettoeinkommen der Familie von ... bis unter ... DM insgesa mt         unter       1000-        1800-       2600-        3000-       4000 1000        1800         2500        3000         4000        und mehr in 1000 Familien ohne Kinder 1993              510,4       78,6       197,5         120,4       45,0         44,0        25,1 1996              531,9       30,4       145,5         150,5       69,1         84,6        51,7 1997              543,7       29,5       140,5         153,5       74,6         90,8        55,0 Familien insgesamt mit Kindern unter 18 Jahren 1993              360,0       72,8       152,0         100,6       13,0         10,6        10,8 1996              334,6       14,1        31,6          47,4       37,2         85,0       118,9 1997              329,9       13,7        32,7          48,6       34,3         76,4       123,8 Familien mit 1 Kind unter 18 Jahren 1993              175,9       46,1        69,8          43,3        5,6          5,4         5,5 1996              177,7        9,8        20,7          27,8       16,5         40,2        60,7 1997              185,4       10,8        23,6          30,1       17,5         38,0        65,1 Familien mit 2 Kindern unter 18 Jahren 1993              150,6       20,1        68,1          47,7        5,9         (4,5)       (4,2) 1996              128,8       (3,5)       8,8           15,8       14,7         36,2        49,6 1997              120,4         /          8,0          14,3       13,6         31,8        50,0 Familien mit 3 und mehr Kindern unter 18 Jahren 1993               33,2        6,5        14,0           9,4         /             /          / 1996               28,0         /           /          (3,7)       (3,9)         8,6         8,7 1997               24,1         /           /          (4,1)       (2,9)         6,5         8,5 Quelle: LDS
13

14 Einkommen nach Haushaltstypen 1993, 1996 und 1997 Privathaushalte Haushaltsgrö ße                         mit einem Nettoeinkommen der Familie von ... bis unter ... DM Jahr            insgesa mt         unter       1000-         1800-       2600-       3000-       4000 1000        1800          2500        3000        4000        und mehr in 1000 Einpersonenhaushalte 1993              283,9       80,4        160,1         32,1        5,40        (3,3)       (2,5) 1996              303,9       38,9        141,9         96,2        15,1         7,8        (4,1) 1997              308,4       40,1        139,5         99,3        16,9         8,9        (3,9) Alleinstehende insgesamt mit Kindern unter 18 Jahren 1993               70,8       30,3        31,00          6,9           /           /          / 1996               79,3        9,0         23,6         23,1        10,4        10,1        (2,9) 1997               83,1        8,1         23,8         26,3        11,1        10,3        (3,3) Alleinstehende mit 1 Kind unter 18 Jahren 1993               45,2       19,2         20,1         (4,5)          /           /          / 1996               48,7        6,0         15,5         14,4         5,4         5,4          / 1997               55,7        6,1         17,1         18,3         5,3         5,3          / Alleinstehende mit 2 Kindern unter 18 Jahren 1993               20,1        8,1          9,1            /           /           /          / 1996               23,8       (2,5)        5,4           6,7        (3,6)       (3,5)         / 1997               21,3         /           6,1          5,7        (3,6)       (3,7)         / Alleinstehende mit 3 Kindern und mehr unter 18 Jahren 1993                5,4       (2,8)          /             /          /            /          / 1996                6,7         /            /             /           /           /          / 1997                6,1         /            /             /           /           /          / Quelle: LDS Die LDS-Tabellen zur Einkommensentwicklung beruhen auf einer Hochrechnung aus dem Mikrozensus, d. h. auf einer 1 %-Stichprobe aus der Gesamtbevölkerung. Der Stichprobenumfang läßt nur begrenzt Differenzierungen nach Untergruppen in der Bevölkerung zu: je kleiner die Fallzahl in einer Untergruppe ist, desto unsicherer wird die Hochrechnung auf die Gesamtbevölkerung. Der Querstrich (/) in der Tabelle besagt, dass die Fallzahlen in der Stichprobe hier so klein sind, dass eine Hochrechnung nicht möglich ist, bei Angaben in Klammern ( ) reichen die Fallzahlen in der Stichprobe für eine Hochrechnung aus, führen aber zu relativ unsicheren Ergebnissen. 9.      Wie hoch ist der jeweilige Anteil der ausländischen Bevölkerungsgruppe bei den
14

15 in Punkt 8 differenzierten Haushaltstypen? Der Anteil der ausländischen Bevölkerung an den o. g. Haushaltstypen wird im Mikrozensus statistisch nicht ausgewiesen. Der Landesregierung liegen folglich hierzu keine Daten vor. 10.     Wie groß ist jeweils die Anzahl der unter 8. angeführten Haushalte, die nach Auffassung der Landesregierung in Armut leben? 11.     Wie viele, der unter 10. als arm definierten Haushalte sind a) Haushalte, in denen ein oder mehrere Familienangehörige arbeitslos sind, b) Haushalte von Ein-Elternfamilien, c) Haushalte kinderreicher Familien, d) Haushalte, in denen Menschen mit körperlichen oder psychischen Beeinträchtigungen oder Benachteiligungen leben, e) Haushalte von SeniorInnen f) Haushalte von Ledigen? Wie in der Antwort zu Frage 7 ausgeführt, steht der Landesregierung zur Beantwortung der gestellten Fragen keine ausreichende Datenbasis zur Verfügung. 12.     Eine Anzahl von Personen und Haushalten in Brandenburg hat ein verfügbares Einkommen, welches unter ihrem spezifischen Sozialhilfeanspruch liegt ohne diesen geltend zu machen. Wie groß ist nach Erkenntnis der Landesregierung diese Personengruppe? Wie hoch ist der Anteil derer, die ein Einkommen aus Erwerbstätigkeit beziehen? Wie erklärt sich die Landesregierung, dass die genannten Personen ihren Rechtsanspruch auf Unterstützung nicht geltend machen? Es wird auf die Antwort zu Frage 6 verwiesen. 13.     Wie groß ist die Anzahl der Einwohner Brandenburgs, welche Leistungen nach dem Bundessozialhilfegesetz (BSHG) beziehen, aufgegliedert nach Hilfe zum Lebensunterhalt und Hilfe in besonderen Lebenslagen, und wie hat sich die Anzahl der Leistungsempfänger in den Jahren seit 1990 entwickelt? Im Jahre 1997 bezogen im Land Brandenburg 56.288 Menschen laufende Hilfe zum Lebensunterhalt und 21.859 Hilfe in besonderen Lebenslagen. Die zeitliche Entwicklung wird hier ab 1994 angegeben. Ab 1994 ist in der Bundesrepublik eine einheitliche Erfassung der Sozialhilfeempfänger zum Stichtag 31.12. eingeführt worden. Bis dahin wurden Fälle kumulativ erfasst. Somit sind die Daten vor und ab 1994 nicht vergleichbar. Leistungsempfänger nach dem BSHG - Land Brandenburg 1994       1995        1996      1997 Empfänger laufender Hilfe zum Lebensunterhalt     42.239     45.208      45.576    56.288 Empfänger von Hilfe in besonderen Lebenslagen     29.708     25.140      22.074    21.859 Quelle. LDS
15

16 14.     Wie viele der genannten Personen, die derzeit laufende Hilfe zum Lebensunterhalt beziehen sind a) männlich b) weiblich c) Kinder unter 7 Jahren d) Kinder, welche 7 bis 15 Jahre alt sind e) Junge Erwachsene (16 bis 27 Jahre)? Empfänger laufender Hilfe zum Lebensunterhalt 31.12.1997 männlich                                                                       25.602 weiblich                                                                       30.686 Kinder unter 7 Jahren                                                          10.078 Kinder, welche 7 - 15 Jahre alt sind                                            7.904 Junge Erwachsene (16 - 27 Jahre)                                               13.795 Quelle: LDS, eigene Berechnungen 15.     Wie verteilen sich die BezieherInnen von Leistungen nach dem BSHG regional in Brandenburg, differenziert nach Stadt- und Landkreisen?
16

17 Empfänger von Hilfe in besonderen Lebenslagen nach Stadt- und Landkreisen jeweils zum 31.12. eines Jahres Empf.    Bevöl-        Rate        Empf.     Bevöl-        Rate       Empf.    Bevöl-       Rate       Empf.   Bevöl-        Rate kerung        je 1.000              kerung        je 1.000            kerung       je 1.000           kerung        je 1.000 1994                               1995                              1996                             1997 Kreisfreie Städte                  6.796       433.965        15,7    4.943        426.634       11,6    4.864      419.862       11,6   4.335       410.665       10,6 Brandenburg (Havel)                1.888        87.731                1.460         85.994               1.029       84.493       12,2     857        82.460       10,4 Cottbus                            1.958       125.643        15,6    1.299        123.214       10,5    1.054      120.812        8,7     873       118.463        7,4 Frankfurt (O.)                     1.194        82.323        14,5    1.069         80.807       13,2      834       79.784       10,5     829        77.891       10,6 Potsdam                            1.756       138.268        12,7    1.115        136.619        8.2    1.947      134.773              1.776       131.851       13,5 Landkreise                        22.912     2.102.782        10,9   20.197      2.115.408        9,5   17.210    2.134.579        8,1  17.707     2.162.626        8,2 Barnim                             2.521       150.060        16,8    2.216        151.783       14,6    1.721      154.698       11,1   1.452       159.689        9,1 Dahme-Spreewald                    1.387       142.819         9,7    1.352        144.990        9,3      999      147.871        6,8   1.044       150.995        6,9 Elbe-Elster                        1.155       137.947         8,4    1.094        136.889        8,0      924      136.286        6,8     982       135.624        7,2 Havelland                          1.562       129.482        12,1    1.230        131.381        9,4      858      133.823        6,4     993       137.204        7,2 Märkisch-Oderland                  1.369       170.631         8,0    1.458        172.577        8,4    1.341      175.033        7,7   1.665       178.958        9,3 Oberhavel                          1.628       167.935         9,7    1.372        170.505        8,0    1.003      173.666        5,8   1.256       178.353        7,0 Oberspreew.-Lausitz                1.249       158.537         7,9    1.419        156.758        9,1    1.146      155.024        7,4   1.069       152.924        7,0 Oder-Spree                         2.688       188.986        14,2    2.288        190.839       12,0    1.902      193.006        9,9   2.034       195.032       10,4 Ostprignitz-Ruppin                 2.160       116.180        18,6    1.776        116.005       15,3    1.628      115.637       14,1   1.574       115.670 Potsdam-Mittelmark                 1.286       175.766         7,3    1.063        180.324        5,9    1.438      184.987        7,8   1.342       192.300        7,0 Prignitz                           1.068       102.650        10,4       866       101.421        8,5      629      100.422        6,3     673        99.024        6,8 Spree-Neiße                        1.790       152.982        11,7    1.611        153.493       10,5    1.719      154.856       11,1   1.830       155.946       11,7 Teltow-Fläming                     1.342       146.785         9,1       999       148.133        6,7      629      150.241        4,2     460       153.244        3,0 Uckermark                          1.707       162.022        10,5    1.453        160.310        9,1    1.273      159.029        8,0   1.333       157.663        8,5 Land Brandenburg                  29.708     2.536.747        11,7   25.140      2.542.042        9,9   22.074    2.554.441        8,6  22.042     2.573.291        8,6 Quelle: LDS, eigene Berechnungen
17

18
18

19 Empfänger laufender Hilfe zum Lebensunterhalt nach Stadt- und Landkreisen jeweils zum 31.12. eines Jahres Empf.    Bevöl-        Rate        Empf.    Bevöl-        Rate       Empf.    Bevöl-       Rate       Empf.   Bevöl-        Rate kerung        je 1.000             kerung        je 1.000            kerung       je 1.000           kerung        je 1.000 1994                              1995                              1996                             1997 Kreisfreie Städte                  7.315       433.965        16,9    8.954       426.634       21,0    9.088      419.862       21,6  10.551       410.665       25,7 Brandenburg (Havel)                1.605        87.731        18,3    1.756        85.994       20,4    2.182       84.493       25,8   2.226        82.460       27,0 Cottbus                            2.239       125.643        17,8    2.534       123.214       20,6    2.382      120.812       19,7   2.763       118.463       23,3 Frankfurt (O.)                     1.176        82.323        14,3    1.570        80.807       19,4    1.747       79.784       21,9   2.393        77.891       30,7 Potsdam                            2.295       138.268        16,6    3.094       136.619       22,6    2.777      134.773       20,6   3.169       131.851       24,0 Landkreise                         34.92     2.102.782        16,6   36.254     2.115.408       17,1   36.488    2.134.579       17,1  45.737     2.162.626       21,1 Barnim                             2.482       150.060        16,5    2.566       151.783       16,9    2.476      154.698       16,0   3.179       159.689       19,9 Dahme-Spreewald                    2.115       142.819        14,8    2.103       144.990       14,5    2.350      147.871       15,9   2.922       150.995       19,4 Elbe-Elster                        1.530       137.947        11,1    1.685       136.889       12,3    1.837      136.286       13,5   2.271       135.624       16,7 Havelland                          1.99?       129.482        15,4    2.026       131.381       15,4    2.501      133.823       18,7   3.676       137.204       26,8 Märkisch-Oderland                  2.095       170.631        12,3    2.084       172.577       12,1    2.571      175.033       14,7   3.342       178.958       18,7 Oberhavel                          2.598       167.935        15,5    2.838       170.505       16,6    2.761      173.666       15,9   3.173       178.353       17,8 Oberspreew.-Lausitz                2.917       158.537        18,4    3.777       158.758       24,1    3.580      155.024       23,1   4.390       152.924       28,7 Oder-Spree                         2,710       188.986        14,3    2.840       190.839       14,9    2.881      193.006       14,9   4.039       195.032       20,7 Ostprignitz-Ruppin                 2.563       116.180        22,1    2.471       116.005       21,3    2.358      115.637       20,4   2.702       115.670       23,4 Potsdam-Mittelmark                 2.37?       175.766        13,5    2.167       180.324       12,0    2.361      184.987       12,8   2.584       192.300       13,4 Prignitz                           2.029       102.650        19,8    1.864       101.421       18,4    1.615      100.422       16,1   1.964        99.024       19,8 Spree-Neiße                        2.548       152.982        16,7    2.626       153.493       17,1    2.895      154.856       18,7   3.928       155.946       25,2 Teltow-Fläming                    2.2235       146.785        15,2    2.371       148.133       16,0    1.684      150.241       11,2   2.172       153.244       14,2 Uckermark                          4.742       162.022        29,3    4.836       160.310       30,2    4.618      159.029       29,0   5.395       157.663       34,2 Land Brandenburg                  42.23?     2.536.747        16,7   45.208     2.542.042       17,8   45.576    2.554.441       17,8  56.288     2.573.291       21,9 Quelle: LDS, eigene Berechnungen
19

20
20

Zur nächsten Seite