Ausmaß und Auswirkungen von Armut im Land Brandenburg

/ 45
PDF herunterladen
21 16.     Wie lange erhalten Personen in Brandenburg im Durchschnitt laufende Hilfe zum Lebensunterhalt und wie hoch ist der Prozentsatz derer, welche Hilfe zum Lebensunterhalt für folgende Zeiträume beziehen? a) bis zu 6 Monaten b) 7 bis 12 Monate c) 13 bis 24 Monate d) über 24 Monate Bitte nach Personengruppen, wie in 14. genannt, aufschlüsseln. Empfänger laufender Hilfe zum Lebensunterhalt nach der bisherigen Dauer der Hilfegewährung, Geschlecht und ausgewählten Altersgruppen Dauer in Monaten          durchsch bis zu 6  7 bis 12   13 bis 24   über 24     Insgesamt nittlich Personen insgesamt           11,9    24.264     13.388     10.378      7.300       56.288 (43,9 %)   (24,2 %)   (18,6 %)   (13,2 %)     (100 %) Männer                         12    11.473      5.917      4.574      3.477       25.602 (44,8 %)   (23,4 %)   (18,1 %)   (13,7 %)     (100 %) Frauen                       11,9    12.890      7.471      5.804      3.823       30.686 (42,9 %)   (24,9 %)   (19,4 %)   (12,8 %)     (100 %) Personen                     10,5     4.452      2.615      2.072       938        10.077 unter 7 Jahre                      (44,10 %)  (25,95 %)  (20,56 %)   (9,31 %)     (100 %) Personen                     12,7     3.440      1.835      1.420      1.209       7.904 7 - unter 15 Jahre                 (43,52 %)  (23,22 %)  (17,97 %)  (15,00 %)     (100 %) Personen                      9,6     6.058      2.671      2.034      1.089       11.852 15 - unter 25 Jahre                (51,11 %)  (22,54 %)  (17,16 %)   (9,19 %)     (100 %) Quelle: LDS, eigene Berechnungen In der statistischen Auswertung war eine identische Abgrenzung der Altersgruppen mit Frage 14 nicht möglich, daher musste eine Altersgruppe der 15 - unter 25-jährigen gebildet werden. 17.     Wie viele der Haushalte im Land Brandenburg, die Leistungen nach dem BSHG (Hilfe zum Lebensunterhalt und Hilfe in besonderen Lebenslagen) beziehen sind überschuldet, und welche Maßnahmen zieht die Landesregierung in Betracht, um die betroffenen Menschen zu unterstützen? Der Landesregierung liegen keine gesonderten statistischen Angaben über die Anzahl der überschuldeten Haushalte im Land Brandenburg, die Leistungen nach dem BSHG beziehen, vor. Im Auftrag des Bundesministeriums für Familie, Senioren, Frauen und Jugend wurde ein Gutachten zum “Marktverhalten, Verschuldung und Überschuldung privater Haushalte in den neuen Bundesländern” erarbeitet (GP-Forschungsgruppe, München, 19. Februar 1997). Danach sind von den 15,53 Millionen Menschen in den neuen Bundesländern (incl. Ost-Berlin) rund 400.000 Haushalte bzw. Personen überschuldet. Basierend auf Aufgaben von 89 Schuldnerberatungsstellen wird festgestellt, daß “die Hälfte der überschuldeten Haushalte in Ostdeutschland Familien, d. h. (Ehe-)Paare mit Kindern oder Alleinerziehende sind.” Weiter heißt es: “Der Anteil an Sozialhilfeempfängern unter den Überschuldeten in Ost- und Westdeutschland ist etwa gleich hoch. Durchschnittlich mußte jeder fünfte überschuldete Haushalt diese Transferleistungen in Anspruch nehmen.”
21

22 Bei einer Übertragung der Angaben des Gutachtens auf das Land Brandenburg ergibt dies eine Anzahl von ca. 70.000 überschuldeten Haushalten, von denen etwa 14.000 Haushalte Sozialhilfe beziehen. Mit der am 1. Januar 1999 in Kraft tretenden Insolvenzreform soll die Lage der Schuldner entscheidend verbessert werden. Danach können Schuldner, die natürliche Personen sind und keine oder nur eine geringfügige wirtschaftliche Tätigkeit ausüben, in einem vereinfachten Insolvenzverfahren eine Restschuldbefreiung erlangen, und damit die Chance für einen wirtschaftlichen Neuanfang erhalten. Der von der Landesregierung vorgelegte Entwurf eines Gesetzes zur Ausführung der Insolvenzordnung und zur Anpassung von Rechtsvorschriften an die Insolvenzordnung enthält ergänzende landesrechtliche Regelungen. 18.   Sind im Land Brandenburg territoriale Schwerpunkte der Entwicklung von Armut festzustellen oder als Tendenz zu erkennen? Wenn ja, welche territorialen Schwerpunkte sind das und welche Ursachen liegen dem nach Auffassung der Landesregierung zugrunde? Da über die Anzahl und die Struktur derjenigen Menschen in Brandenburg, die nach der EU- Definition in relativer Einkommensarmut leben, keine hinreichend exakten Daten vorliegen, wird hilfsweise auf die Struktur der Empfänger von laufender Hilfe zum Lebensunterhalt nach dem BSHG zurückgegriffen. Die Statistiken weisen Gesamtangaben für die Landkreise und kreisfreien Städte aus. Differenzierungen, die innerhalb von Landkreisen und kreisfreien Städten zu vermuten sind, werden entsprechend nicht abgebildet. In der Antwort zu Frage 15 sind die Empfängerzahlen und die Hilfeempfängerdichten dargestellt. In den kreisfreien Städten lag 1997 die Sozialhilfedichte (Hilfeempfänger je 1.000 Einwohner) mit durchschnittlich 26 deutlich höher als in den Landkreisen mit durchschnittlich 21. Auch die Zunahme zum Vorjahr war bei kreisfreien Städten etwas stärker (von 21 in 1996 auf 26 in 1997 im Vergleich zur Zunahme von 17 in 1996 auf 21 in 1997 bei den Landkreisen). Signifikant ist der Anstieg bei den kreisfreien Städten in Frankfurt/Oder, wo die Sozialhilfedichte mit 31 bereits fast den Bundesdurchschnitt erreichte. Brandenburg an der Havel nahm mit einem Wert von 27 nach einem Vorjahreswert von 25 etwas weniger stark zu, während Cottbus und Potsdam mit 23 und 24 nach 19 und 20 im Vorjahr unter der Durchschnittsdichte der kreisfreien Städte von 26 blieben (Vorjahr 21). Betrachtet man die Landkreise, gab es in der Uckermark mit 34 (Vorjahr 29) die meisten Hilfeempfänger, gefolgt von den Kreisen Oberspreewald-Lausitz mit 29 (23), Havelland mit 27 (19) und Spree-Neiße mit 25 (19). Am anderen Ende der Skala weisen die Kreise Potsdam- Mittelmark mit 13 (13), Teltow-Fläming mit 14 (11) und Elbe-Elster mit 17 (13) die geringsten Sozialhilfedichten auf. Insgesamt zeigt sich, dass die berlinfernen Regionen des Landes im Allgemeinen und auch in überproportional steigendem Maße mit Sozialhilfebedürftigkeit belastet sind. Die Hauptursache hierfür ist die hohe Arbeitslosigkeit, die im berlinnahen Raum durch Beschäftigung in Berlin und durch die Ansiedlung neuer Gewerbe bzw. durch Verlagerung insbesondere flächenaufwendiger Gewerbe aus Berlin deutlich unter dem Landesdurchschnitt liegt. 19.   Welche Erkenntnisse hat die Landesregierung zur Entwicklung der Einkommen aus Erwerbsunfähigkeits- bzw. Berufsunfähigkeitsrenten seit dem Wirksamwerden des neuen Rechts per 01.01.1992? Die Entwicklung der durchschnittlichen Rentenhöhe bei den Renten wegen verminderter Erwerbsfähigkeit in den neuen Bundesländern im Zeitraum von 1992 bis 1997 ist der nachstehenden Tabelle zu entnehmen. Regionale Daten über die Entwicklung der Rentenhöhe bei den Renten wegen verminderter Erwerbsfähigkeit im Land Brandenburg liegen der Landesregierung nicht vor.
22

23 1 Renten wegen verminderter Erwerbsfähigkeit Jahr                                                                                                Erweiterte insgesamt               Berufsunfähig-           Erwerbsunfähigk               Erwerbsunfähigk 2 keitsrenten               eitsrenten                    eitsrenten    3 Männer 1992               1.119,48 DM                    873,36 DM               1.119,62 DM 1993               1.260,96 DM                    973,16 DM               1.263,07 DM                     843,37 DM 1994               1.377,51 DM                  1.039,66 DM               1.384,55 DM                  1.040,90 DM 1995               1.337,58 DM                  1.041,23 DM               1.345,83 DM                  1.113,86 DM 1996               1.345,95 DM                  1.047,90 DM               1.356,32 DM                  1.027,26 DM 1997               1.373,10 DM                  1.057,98 DM               1.387,00 DM                     908,55 DM Frauen 1992                  916,16 DM                   616,70 DM                 916,42 DM                     563,65 DM 1993               1.021,19 DM                    795,37 DM               1.023,03 DM                     747,15 DM 1994               1.104,10 DM                    873,97 DM               1.108,37 DM                     744,21 DM 1995               1.096,27 DM                    900,35 DM               1.100,61 DM                     949,58 DM 1996               1.111,47 DM                    940,71 DM               1.115,70 DM                     957,72 DM 1997               1.138,98 DM                    966,03 DM               1.143,97 DM                     877,07 DM Männer und Frauen 1992               1.029,03 DM                    731,00 DM               1.029,24 DM                     563,65 DM 1993               1.146,73 DM                    886,50 DM               1.148,69 DM                     773,39 DM 1994               1.236,53 DM                    958,98 DM               1.241,98 DM                     903,41 DM 1995               1.208,16 DM                    973,41 DM               1.213,97 DM                  1.051,28 DM 1996               1.216,12 DM                    997,16 DM               1.222,51 DM                     998,68 DM 1997               1.241,71 DM                  1.015,70 DM               1.249,77 DM                     894,41 DM Quelle: Rentenversicherungsbericht 1998 (Bundestags-Drucksache 13/11290) 1   Rentenzahlbetrag für krankenversicherungspflichtige Rentner: Rente nach Abzug des Eigenbeitrags zur Krankenversicherung der Rentner (KVdR) und ab 1. April 1995 zur Pflegeversicherung der Rentner (PVdR); für freiwillig bzw. privat Versicherte bis 1994: Bruttorente zzgl. Zuschuss des Rentenversicherungsträgers zur KVdR; ab 1995 Rente nach Abzug des Eigenbeitrags zur KVdR und PVdR (wie für Pflichtversicherte) 2   Ab 1993 einschließlich Renten nach dem Übergangsrecht für das Beitrittsgebiet (Artikel 2 des Renten-Überleitungsgesetzes -Art. 2 RÜG) 3   Anspruch auf Erwerbsunfähigkeitsrente für Behinderte, wenn sie (unabhängig von Eintritt der Erwerbsunfähigkeit) die Wartezeit von 20 Jahren erfüllen. 20.     Wie viele schwerbehinderte Menschen, die eine umgewandelte Invalidenrente nach DDR-Recht beziehen, erhalten nur eine Mindestrente und wie hoch ist der Anteil an allen EU-/BU-Renten? Das bestehende Rentenversicherungssystem folgt dem Grundsatz der Lohn- und Beitragsbezogenheit der Rente. Die Rentenberechnung erfolgt dabei auf der Grundlage der tatsächlich erzielten und versicherten Arbeitsentgelte. Mindestrenten im Sinne des Rentensystems der ehemaligen DDR werden nicht geleistet. Sie sind lediglich im Rahmen des Bestands- und Vertrauensschutzes noch von Bedeutung.
23

24 Nach den über den 31. Dezember 1991 hinaus bis zum 31. Dezember 1996 als Übergangsrecht weiter geltenden rentenrechtlichen Vorschriften der DDR bestand in den neuen Bundesländern für Behinderte, die wegen Invalidität eine Erwerbstätigkeit nicht aufnehmen konnten, ab Vollendung des 18. Lebensjahres ein Anspruch auf Invalidenrente. Die Invalidenrente für Behinderte beträgt als Mindestrente 467 DM brutto im Monat und wird bei Rentenzugängen bis 31. Dezember 1996 darüber hinaus weitergezahlt. Am 1. Juli 1998 sind von den Rentenversicherungsträgern insgesamt 36.186 Invalidenrenten an Behinderte gezahlt worden, von denen 10.171 Renten nach dem Übergangsrecht bewilligt wurden. Der Anteil der Invalidenrenten für Behinderte an der Gesamtzahl der in den neuen Bundesländern gezahlten Berufs- und Erwerbsunfähigkeitsrenten beträgt rund 7 Prozent. Regionale Daten für das Land Brandenburg stehen nicht zur Verfügung.
24

25 III. Ursachen und Bekämpfung von Familienarmut III.A Spezielle Situation von Familien 21.    Im Land Brandenburg ist die Zunahme von Familienarmut zu verzeichnen. Wie beurteilt dies die Landesregierung und welche Maßnahmen erfolgen zur Bekämpfung von familiärer Armut? Zu Fragen 21 und 25: Die Einkommensentwicklung unterschiedlicher Haushaltstypen ist in der Antwort zu Frage 8 dargestellt. Da zur Einkommensarmut im Sinne der EU-Definition für Brandenburg keine hinreichend exakten Daten zur Verfügung stehen, kann hilfsweise nur auf die vergleichsweise gute Datenlage hinsichtlich des Bezugs von Hilfe zum Lebensunterhalt (HLU) nach dem Bundessozialhilfegesetz (BSHG) zurückgegriffen werden. Ein Vergleich der Entwicklung des Anteils bestimmter Typen von Bedarfsgemeinschaften an der Summe der Bedarfsgemeinschaften insgesamt, die HLU bezogen haben, zeigt, dass der Anteil derjenigen Bedarfsgemeinschaften, in denen Kinder leben, seit 1994 rückläufig ist:
25

26 Bedarfsgemeinschaften von Empfängern laufender Hilfe zum Lebensunterhalt außerhalb von Einrichtungen nach dem Typ der Bedarfsgemeinschaft 1994                  1995                   1996                1997 Anzahl       in %      Anzahl       in %      Anzahl      in %    Anzahl      in % Ehepaare ohne Kinder unter 18 Jahren                     753          4,2       848          4,2       966        4,5   1.337         4,8 Ehepaare mit Kindern unter 18 Jahren                   2.167         12,0     2.285        11,2      2.485       11,3   3.096        11,1 Nichteheliche Lebensgemeinschaften                       383          2,1       455          2,2       514        2,3     672         2,4 ohne Kinder unter 18 Jahre Nichteheliche Lebensgemeinschaften                       860          4,7     1.017          5,0       959        4,4   1.189         4,3 mit Kindern unter 18 Jahre Einzeln nachgewiesene Haushaltsvorstände männlich                                               3.573         19,7     4.204        20,6      4.793       21,9   5.941        21,3 weiblich                                               2.169         12,0     2.589        12,7      3.160       14,4   4.457        15,9 Haushaltsvorstände männlich mit Kindern                  156          0,9       145          0,7       159        0,7     202         0,7 unter 18 Jahren Haushaltsvorstände weiblich mit Kindern                5.535         30,5     5.895        28,9      5.590       25,5   6.748        24,1 unter 18 Jahren Bedarfsgemeinschaften ohne Haushaltsvorstand           2.024         11,2     2.414        11,8      2.685       12,3   3.483        12,5 Anderweitig nicht erfasste Bedarfsgemeinschaften         511          2,8       546          2,7       582        2,7     821         2,9 Bedarfsgemeinschaften insgesamt                       18.131        100,0    20.398       100,0     21.914      100,0  27.945       100,0 Quelle: LDS, eigene Berechnungen
26

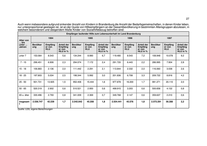
27 Auch wenn insbesondere aufgrund sinkender Anzahl von Kindern in Brandenburg die Anzahl der Bedarfsgemeinschaften, in denen Kinder leben, nur unterproportional gestiegen ist, ist an der Quote von Hilfeempfängern an der Gesamtbevölkerung in bestimmten Altersgruppen abzulesen, in welchem besonderem und steigendem Maße Kinder von Sozialhilfebezug betroffen sind: Empfänger laufender Hilfe zum Lebensunterhalt im Land Brandenburg 1994                              1995                                1996                            1997 Alter von ... bis unter ...    Bevölker    Empfäng  Anteil der   Bevölker    Empfäng      Anteil der Bevölker    Empfäng    Anteil der Bevölker  Empfäng  Anteil der Jahren       ung         er von   Empfäng      ung         er von       Empfäng    ung         er von     Empfäng    ung       er von   Empfäng HLU      er von                   HLU          er von                 HLU        er von               HLU      er von HLU in %                              HLU in %                          HLU in %                      HLU in % unter 7        153.064      8.543      5,6      134.244       8.990         6,7     119.480       8.543       7,2     108.948    10.078     9,2 7 - 15       296.451      6.906      2,3      294.074       7.172         2,4     291.720       6.443       2,2     286.995     7.904     2,8 15 - 18        106.883      2.136      2,0      111.442       2.291         2,1     113.844       2.332       2,0     116.060     3.038     2,6 18 - 25        197.803      5.034      2,5      198.344       5.992         3,0     201.836       6.708       3,3     209.722     8.816     4,2 25 - 50        931.731     13.925      1,5      952.408      15.444         1,6     977.878      16.200       1,7     991.271    20.110     2,0 50 - 65        520.319      2.902      0,6      510.521       2.950         0,6     499.915       3.203       0,6     500.658     4.132     0,8 65 u. älter    330.496      2.793      0,8      341.009       2.369         0,7     349.768       2.147       0,6     359.637     2.210     0,6 insgesam      2.536.747    42.239      1,7     2.542.042     45.208         1,8    2.554.441     45.576       1,8    2.573.291   56.288     2,2 t Quelle: LDS, eigene Berechnungen
27

28 Entsprechend der landespolitischen Zuständigkeiten konzentriert sich die Bekämpfung familiärer Armut im Land Brandenburg auf die Bereitstellung eines bedarfsgerechten Tagesbetreuungsangebotes für Kinder bis zum Ende des Grundschulalters (§ 1 Kindertagesstättengesetz) sowie auf besondere Maßnahmen der Arbeitsmarktpolitik. Das Landesprogramm “Qualifizierung und Arbeit für Brandenburg” fördert im Punkt A2 Lohnkostenzuschüsse für Alleinerziehende und schwer vermittelbare Frauen. Dieses Förderprogramm dient der Kompensation besonderer Arbeitsmarktrisiken der genannten Zielgruppen und damit der Verbesserung ihrer Erwerbschancen. Eine detaillierte sozio-demographische Beschreibung der betroffenen Haushalte und der Ursachen für ihr Zurückbleiben in armen bzw. einkommensschwachen Verhältnissen ist auf der Grundlage des Mikrozensus nicht möglich. Dazu bedarf es einer entsprechenden Analyse der Sozialhilfeempfänger sowie einer Befragung zur Gewinnung von Basisdaten zur sozialen Situation der Familien und Haushalte. 22.   Ist nach Auffassung der Landesregierung der derzeit geltende Familienlastenausgleich ausreichend, um Familienarmut zu verhindern und Leistungsgerechtigkeit zwischen den unterschiedlichen Haushaltstypen herstellen zu helfen? Mit dem Jahressteuergesetz 1996 wurde der sozialrechtlich konzipierte Familienlastenausgleich durch einen “Familienleistungsausgleich” im Rahmen des Einkommensteuergesetzes ersetzt. Durch den Kindergeldbeschluss des BVerfG vom 29.05.1990 war die Bundesregierung gezwungen, den Einkommensbetrag einer Familie in Höhe des Existenzminimums eines Kindes entweder durch Gewährung eines Kinderfreibetrags oder durch Gewährung von Kindergeld von der Besteuerung freizustellen. Der Familienleistungsausgleich dient somit nicht der kompletten staatlichen Finanzierung der durchschnittlichen Unterhaltskosten eines Kindes. Er hat nicht die Aufgabe, Familienarmut zu verhindern. Die verwirklichten Regelungen im Jahressteuergesetz 1996 stellen einen im Vermittlungsverfahren von Bundestag und Bundesrat mühsam ausgehandelten Kompromiss zwischen Koalition und Opposition zu einem verfassungskonformen Familienleistungsausgleich dar. Die erfolgte Erhöhung des Kindergeldes stellt in rd. 95 % der Fälle das Existenzminimum des Kindes frei und erfüllt zumindest insoweit die vom Bundesverfassungsgericht geforderte staatliche Gleichbehandlung und Gleichwertigkeit aller Kinder, unabhängig von der Einkommenssituation der Familie. Die überproportionale steuerliche Begünstigung von besserverdienenden Familien durch Abzug des Kinderfreibetrags vom zu versteuernden Einkommen reduziert sich, ist aber durch das von der Bundesregierung durchgesetzte Optionsmodell noch für rd. 5% aller Steuerpflichtigen erhalten geblieben. Damit ist der Familienleistungsausgleich in Bezug auf die Unterschiedlichkeit der Familieneinkommen nicht hinreichend gerecht ausgestaltet. Eine Leistungsgerechtigkeit zwischen den unterschiedlichen Haushaltstypen ist beim Kindergeld gegeben. Das Kindergeld wird unabhängig von der Art der Haushaltsgemeinschaft für jedes Kind einmal an denjenigen ausgezahlt, der in einem Kindschaftsverhältnis zu dem Kind steht und mit ihm in einem Haushalt lebt. Anspruchsberechtigter kann dabei ein Eltern-, Großeltern-, Pflegeeltern- oder Stiefelternteil sein. 23.   Sollte die Landesregierung den derzeitigen Familienlastenausgleich für unzureichend halten, in welcher Form müsste dieser sozialer ausgestaltet werden? Die Landesregierung unterstützt das Vorhaben der Bundesregierung, das Kindergeld für das erste und zweite Kind zum 01.01.1999 um 30 DM auf 250 DM monatlich und zum 01.01.2002 auf 260 DM monatlich anzuheben. Damit wird ein großer Schritt getan, um das Ziel zu erreichen, ausschließlich durch Gewährung des Kindergeldes für alle Kinder bereits das Existenzminimum freizustellen. Kinderfreibeträge, deren Entlastungswirkung mit steigendem
28

29 Einkommen der Eltern zunimmt, sind ungerecht und daher abzulehnen. Auch die Absenkung des Einkommensteuertarifs ist ein weiterer Schritt in die gewünschte Richtung. 24.    Ist die Landesregierung der Auffassung, dass eine unterschiedliche Betrachtung von verschiedenen Lebensgemeinschaften (Ehe und Familie, nichteheliche Lebensgemeinschaft, Haushaltsgemeinschaften, Bedarfsgemeinschaften usw.) im BSHG und anderen Sozialleistungsgesetzen sowie im Familienrecht und der Steuergesetzgebung berechtigt ist? Wenn nein, in welcher Form beabsichtigt die Landesregierung sich dafür einzusetzen, um bestehende Benachteiligungen bestimmter Personengruppen auszugleichen? Gegenwärtig werden Ehen und Familien, nichteheliche Lebensgemeinschaften mit Kindern und ohne Kinder, Alleinerziehende und andere Haushalts- und Bedarfsgemeinschaften im Familienrecht und der Steuergesetzgebung unterschiedlich betrachtet. Die unterschiedliche Behandlung von Ehegatten und nichtehelichen Lebensgemeinschaften mit Kindern im Steuerrecht wird vom Bundesgesetzgeber mit dem grundgesetzlich verbrieften Schutz von Ehe und Familie (Artikel 6 Absatz 1 GG) begründet. Eine Gleichstellung jeder Art von Haushaltsgemeinschaft (z. B. einer studentischen Wohngemeinschaft) mit der Ehegemeinschaft ist nicht gerechtfertigt. Mit der Wahl der Art der Lebensgemeinschaft verbindet sich sowohl die Übernahme von Rechten wie auch Pflichten, die je nach Ausgestaltung unterschiedlich sind. Die Differenzierungen des geltenden Rechts sind daher insoweit berechtigt. Aus familienpolitischen Gründen sind jedoch spürbare Verbesserungen vorzunehmen. Die Landesregierung wird sich daher weiterhin im Rahmen der anstehenden Steuerreform für eine gerechtere Besteuerung in diesem Bereich einsetzen. Im BSHG werden Ehepaare und Partner von eheähnlichen Gemeinschaften hinsichtlich der Voraussetzungen und des Umfangs von Leistungen der Sozialhilfe gleichgestellt. Hinsichtlich der Berücksichtigung des Einkommens und Vermögens bilden beide Lebensformen sozialhilferechtlich eine Lebens- und Wirtschaftsgemeinschaft. Es würde dem Gedanken des sozialen Rechtsstaates widersprechen, wenn Mittel der Allgemeinheit, die zur Hilfe für deren bedürftige Mitglieder bestimmt sind, in Fällen in Anspruch genommen werden könnten, in denen wirkliche Bedürftigkeit nicht vorliegt. Daher ist es gerechtfertigt, dass die Partner einer eheähnlichen Gemeinschaft sich im Rahmen der Sozialhilfe wie Ehegatten behandeln lassen müssen. Bezüglich der Behandlung der Haushaltsgemeinschaft gemäß §16 BSHG wird von der Vermutung ausgegangen, dass Verwandte und Verschwägerte, die in Haushaltsgemeinschaft miteinander leben, aufgrund einer sittlichen Verpflichtung einander Unterhalt gewähren, soweit dies nach ihrem Einkommen und Vermögen erwartet werden kann. Die Funktion einer gegenseitigen Hilfs- und Unterstützungsgemeinschaft, die eine normale Familie seit jeher erfüllt, soll bei der Hilfe zum Lebensunterhalt den Vorrang vor einer Unterstützung aus öffentlichen Mitteln haben. Aus dieser gesetzlichen Vermutung zugunsten des Trägers der Sozialhilfe kann keine vollstreckbare Verpflichtung der Verwandten und Verschwägerten abgeleitet werden. §16 enthält lediglich eine gesetzliche Vermutung und eine Regelung der Beweislast. Erbringen die in §16 genannten Verwandten und Verschwägerten trotz Leistungsfähigkeit dem Hilfesuchenden keine Leistungen zur Bestreitung seines Lebensunterhaltes, ist Sozialhilfe zu gewähren. Im Familienrecht sind am 1. Juli 1998 eine Reihe einschneidender Änderungen in Kraft getreten. Insbesondere durch das Kindschaftsrechtsreformgesetz vom 16. Dezember 1997, das Gesetz zur Vereinheitlichung des Unterhaltsrechts minderjähriger Kinder vom 6. Juni 1998 sowie das Gesetz zur erbrechtlichen Gleichstellung nichtehelicher Kinder, welches bereits am 1. April 1998 in Kraft getreten ist, wurde die Ungleichbehandlung von ehelichen und nicht ehelichen Kindern beseitigt. 25.    Wie steht die Landesregierung zu der Aussage, dass junge Familien von Verarmungsrisiken besonders betroffen sind? siehe Frage 21
29

30 26.   Welche Erkenntnisse hat die Landesregierung zur Situation von Familien mit behinderten Kindern und wie wird deren Einkommenssituation im Vergleich zu anderen Familien bewertet? Der Landesregierung liegen keine statistischen Übersichten zur Einkommenssituation von Familien mit Kindern mit Behinderungen vor. Generell ist folgendes festzustellen: Es besteht keine Kausalität zwischen relativer Einkommensarmut der Eltern und angeborener oder später auftretender Behinderung von Kindern. Familien, in denen Kinder mit Behinderungen aufwachsen, gibt es in allen sozialen Schichten. In komplexen Armutssituationen werden aber teilweise Auffälligkeiten von Kindern nicht rechtzeitig erkannt und die Kinder nicht entsprechend gefördert. Im Land Brandenburg besteht ein Netz von 25 Frühförder- und Beratungsstellen mit 11 Aussen- und Nebenstellen, um flächendeckend und kostenlos Maßnahmen der Früherkennung und Frühförderung bei Auffälligkeiten und Behinderungen anzubieten. Die angeborene oder später entstehende Behinderung eines Kindes kann erhöhte finanzielle Aufwendungen für die Familie verursachen, etwa durch notwendig werdende Fahrtkosten, Spezialkleidung, Umbaumaßnahmen in der Wohnung bzw. auch einen gesteigerten Betreuungsbedarf des behinderten Kindes. Eine Vielzahl der genannten Aufwendungen gehören u. a. zum Leistungsspektrum der Eingliederungshilfe nach dem Bundessozialhilfegesetz (BSHG). Ein Rückgriff gegen die unterhaltsverpflichteten Eltern ist bei jungen Menschen mit Behinderungen, die das 21. Lebensjahr noch nicht vollendet haben, gemäß § 43 Abs. 2 BSHG nur für die Aufbringung der Mittel der Kosten des Lebensunterhaltes möglich (z. B. bei einer Betreuung in der Kindertagesstätte). Um trotz des teilweise erheblich erhöhten Betreuungsbedarfs Eltern von Kindern mit Behinderung eine normale Beteiligung am Erwerbsleben zu ermöglichen, besteht in Brandenburg neben der Einzelintegration in Regelkindertagesstätten ein flächendeckendes Netz von 68 Integrations-Kindertagesstätten, um auch behinderten Kindern Tagesbetreuung anzubieten. Für Kinder im schulpflichtigen Alter normiert §§ 3 und 12 des Brandenburgischen Schulgesetzes ausdrücklich auch das Recht von Kindern mit Behinderungen auf schulische Bildung. Die Nachmittagsbetreuung dieser Kinder ist durch den Rechtsanspruch auf einen Platz in einem Hort gewährleistet. III.B Zur Situation von Ein-Elternfamilien 27.   Nach wissenschaftlichen Angaben leben ca. 60% von Ein-Elternfamilien in den alten Bundesländern unter der von der Kommission der Europäischen Union definierten Armutsgrenze. Wie beurteilt die Landesregierung die Situation von Ein- Elternfamilien im Land Brandenburg und welche Maßnahmen werden ergriffen, um einer zunehmenden Verarmung des genannten Personenkreises entgegen zu wirken? Der Mikrozensus macht keine spezifischen Aussagen über den Anteil von Ein-Elternfamilien, die unter der von der EU-Kommission definierten Armutsgrenze liegen. Vorhandene Statistiken zum Sozialhilfebezug, zur Einkommensverteilung und die Ergebnisse sozialwissenschaftlicher Untersuchungen lassen eine Schätzung zum Anteil der Alleinerziehenden unter der Armutsgrenze zu. Dieser Anteil liegt deutlich unter dem von 60% in den alten Bundesländern und liegt höchstens bei 30%. Die Ursache dafür ist, dass ein deutlich höherer Anteil von alleinerziehenden Frauen in Brandenburg weiterhin erwerbstätig ist und einer qualifizierten Erwerbstätigkeit nachgeht. Das Armutsrisiko Alleinerziehender mit mehr als einem Kind ist deutlich höher als das anderer Lebensformen. Es ist aber deutlich abhängig vom Erwerbsstatus wie bei anderen Familien auch. Da aber nur ein Einkommen vorhanden ist, um den Gesamtbedarf des Haushaltes zu decken, ist das Armutsrisiko bei Arbeitslosigkeit sehr hoch. Weiterhin verstärkt sich das Armutsrisiko bei fehlenden Unterhaltszahlungen für Kinder oder nach Ablauf des Unterhaltsvorschusses. Das Armutsrisiko von Alleinerziehenden ist am besten zu beschränken, wenn sie gleichberechtigte Zugangschancen zum Arbeitsmarkt haben. Neben ihrer Einbeziehung in Fördermaßnahmen der Arbeitsmarktpolitik ist es besonders wichtig, die verbreiteten Vorurteile
30

Zur nächsten Seite