Transporte radioaktiver Stoffe

/ 13
PDF herunterladen
Landtag Brandenburg                                                  Drucksache 5/1839 5. Wahlperiode Antwort der Landesregierung auf die Kleine Anfrage 721 des Abgeordneten Michael Jungclaus Fraktion BÜNDNIS 90/DIE GRÜNEN Drucksache 5/1711 Transporte radioaktiver Stoffe Wortlaut der Kleinen Anfrage Nr. 721 vom 20.07.2010: Die Koalitionsparteien der jetzigen Bundesregierung streben eine Verlängerung der Laufzeiten bundes- deutscher Atomkraftwerke an. Abgesehen davon, dass der Betrieb von Atomkraftwerken sicherheits- technisch höchst bedenklich ist, ist dafür eine Vielzahl von Transporten radioaktiver Stoffe erforderlich. In Brandenburg gibt es als verursachende Atomanlage nur das stillgelegte AKW Rheinsberg. Möglicher- weise gibt es aber auch Transittransporte radioaktiver Stoffe. Die folgenden Fragen beziehen sich auf Transporte vom AKW Rheinsberg sowie Transporte im Transit durch Brandenburg seit dem Jahr 2000, die erstens nach § 4 AtG genehmigt wurden (Kernbrennstoffe sowie radioaktive Stoffe auf die sich die- se Genehmigung erstreckt); zweitens nach § 4b AtG transportiert wurden (Kernmaterialien); drittens nach § 16 StrlSchV genehmigt wurden (radioaktive Stoffe, die im Zusammenhang mit der Nutzung der Atomenergie zur Stromproduktion stehen; viertens entsprechend § 17 (1a) StrlSchV transportiert wur- den (radioaktive Stoffe, die im Zusammenhang mit der Nutzung der Atomenergie zur Stromproduktion stehen). Bei der Beantwortung wird um eine Differenzierung nach den vorstehend in erstens bis vier- tens genannten Kategorien gebeten. Ich frage die Landesregierung: 1. Wann (Datum) erfolgten entsprechende Transporte in Brandenburg? 2. Welches war jeweils Abgangs- und Bestimmungsort und welche Fahrtroute wurde benutzt (Grenz- übergänge ins Ausland, Rangierbahnhöfe, Autobahnknotenpunkte o. ä.)? 3. Welcher Stoff (radioaktive Abfälle, UO2, etc.) in welcher Menge wurde jeweils in welchen Behälter- typen (z.B. CASTOR WWER, MOSAIK IIb, Konrad-Container Typ V) transportiert? 4. Wie viele Behälter wurden jeweils mit welchem Verkehrsträger transportiert? 5. Hat es jeweils einen Verkehrsträgerwechsel und/oder einen Aufenthalt länger als eine Stunde gege- ben und wenn ja, wo (falls mehrfach zutreffend, bitte vollständige Angabe)? 6. Welches ist die in Brandenburg zuständige Aufsichtsbehörde für die Transporte? Datum des Eingangs: 16.08.2010 / Ausgegeben: 23.08.2010
1

2 7. Wer ist für die Kontrolle von den Transporten in Brandenburg zuständig und was wird bei Abgang eines Transportes von einer Atomanlage bzw. bei Transporten aus dem Ausland an den Grenzor- ten kontrolliert? 8. Werden in Brandenburg Kontrollen während der Transporte durchgeführt und wenn ja, von wem, wie oft und mit welchen bisherigen Ergebnissen? 9. Welche Behörden und Institutionen in Brandenburg erhalten wann Kenntnis von den Transporten? 10. Ist der Transport radioaktiver Materialien aus dem AKW Rheinsberg endgültig abgeschlossen oder ist mit weiteren Transporten zu rechnen? Wenn ja: in welchem Umfang und ab wann? Namens der Landesregierung beantwortet die Ministerin für Umwelt, Gesundheit und Verbraucher- schutz die Kleine Anfrage wie folgt: Vorbemerkung: Transporte mit radioaktiven Stoffen (Gefahrgutklasse 7) erfolgen tagtäglich über die Straßen Deutsch- lands und Europas. Für die Einhaltung der transportrechtlichen Sicherheitsanforderungen gemäß den nationalen und internationalen gefahrgutrechtlichen Vorschriften ist der Versender verantwortlich. Die rechtlichen Vorschriften unterscheiden dabei nicht zwischen radioaktiven Stoffen aus Atomkernkraftwer- ken, aus der Forschung, der Technik oder der Medizin. Transporte mit radioaktiven Stoffen werden des- halb, wie auch bei sonstigen Gefahrguttransporten, nicht den an der Transportroute zuständigen Behör- den mitgeteilt. Eine Ausnahme bilden Kernbrennstofftransporte, Sondertransporte und Transporte von Großquellen. Hier erfolgt eine Vorankündigung. Für Transporte radioaktiver Stoffe im Transit führt das Ministerium für Umwelt, Gesundheit und Verbrau- cherschutz (MUGV) keine Statistik, so dass keine Daten vorliegen. Die Beantwortung der Fragen 1 bis 5 erfolgt deshalb ausschließlich mit Bezug auf Transporte aus dem Kernkraftwerk (KKW) Rheinsberg. Das Kernkraftwerk Rheinsberg, als Betriebsteil der Energiewerke Nord GmbH, wird auf der Basis der Stilllegungsgenehmigung Nr. I/95 und weiterer in den Folgejahren erteilter atomrechtlicher Genehmi- gungen demontiert. Die Finanzierung des Rückbaus der kerntechnischen Anlagen der Energiewerke Nord GmbH (ehemaliges KKW Greifswald und KKW Rheinsberg) erfolgt ausschließlich durch den Bun- deshaushalt. Zur Minimierung der Kosten und somit zur Einsparung von Steuermitteln hat die Betreibe- rin schon in der Stilllegungskonzeption vorgesehen, für die weitere Bearbeitung und Zwischenlagerung ausgebauter Anlagenteile und Komponenten des KKW Rheinsberg entsprechende Einrichtungen am Standort des ehemaligen KKW Greifswald (Zentrale aktive Werkstatt, Dünnschichtverdampferanlage, Zwischenlager Nord) mitzunutzen. Somit sind Transporte aus dem KKW Rheinsberg zum Standort des ehemaligen KKW Greifswald stets Bestandteil des Rückbaugeschehens. Der Terminplan des Rückbau- projektes wurde in den vergangenen Jahren durch die Genehmigungsinhaberin, die Energiewerke Nord GmbH, stets dem jeweiligen Rückbaustand angepasst. Gegenwärtig plant die Genehmigungsinhaberin den Abschluss des Projektes im Jahr 2014. Transporte radioaktiver Stoffe aus dem KKW Rheinsberg sind somit weiterhin erforderlich. Die logistische Vorbereitung und Realisierung des Transportes radio- aktiver Stoffe aus dem KKW Rheinsberg wird von Transportunternehmen wahrgenommen. Diese Fir- men haben die erforderliche Strahlenschutzgenehmigung und verfügen über fachkundiges Personal.
2

3 Die Transporte bzgl. des KKW Rheinsberg basieren, außer für den Transport der Transport- und Lager- behälter CASTOR-440/84, auf der Basis des § 16 (alt § 3) der Strahlenschutzverordnung. Der Transport der Transport- und Lagerbehälter CASTOR-440/84 erfolgte auf einer Genehmigung gemäß § 4 Atomge- setz. Frage 1: Wann (Datum) erfolgten entsprechende Transporte in Brandenburg? zu Frage 1: Im Rahmen der Stilllegung und des Rückbaus des KKW Rheinsberg fanden insgesamt 259 Transporte radioaktiver Stoffe statt. Die erbetenen Angaben ergeben sich aus aufsichtlichen Unterlagen der atom- rechtlichen Aufsichtsbehörde und der Strahlenschutzaufsichtsbehörde sowie aus der Einsichtnahme in Betreiberunterlagen. Die Daten sind in der Anlage dargestellt. Frage 2: Welches war jeweils Abgangs- und Bestimmungsort und welche Fahrtroute wurde benutzt (Grenzüber- gänge ins Ausland, Rangierbahnhöfe, Autobahnknotenpunkte o. ä.)? zu Frage 2: Die demontierten Komponenten und Stoffe des KKW Rheinsberg wurden zum Standort des ehemaligen KKW Greifswald transportiert. Die Transportrouten hingen von dem jeweiligen Verkehrsträger ab. Da Gefahrguttransporte, so auch die Transporte radioaktiver Stoffe, einen gewissen Schutz vor Störun- gen und Einwirkungen Dritter bedürfen, unterliegen die Transportrouten der Vertraulichkeit. Auf eine Be- nennung der jeweiligen Routen wird deshalb verzichtet. Im Rahmen von Forschungsvorhaben wurden radioaktive Materialien und Bestrahlungsproben in ande- re Forschungseinrichtungen abgegeben. Zum Teil wurden diese Materialien und deren Verpackungen vom KKW Rheinsberg zurückgenommen und in dem Rückbaumassenstrom eingebracht. Diese Trans- porte waren ausschließlich Straßentransporte. Frage 3: Welcher Stoff (radioaktive Abfälle, UO2, etc.) in welcher Menge wurde jeweils in welchen Behältertypen (z.B. CASTOR WWER, MOSAIK IIb, Konrad-Container Typ V) transportiert? zu Frage 3: Bei der Stilllegung und beim Rückbau waren seit dem Jahr 2000 Kernbrennstoffe (bestrahlte Brennele- mente und Plutonium-Beryllium-Strahlenquellen), feste Stoffe (metallische und nichtmetallische Stoffe) und Flüssigkeiten zu entsorgen. Für den Transport radioaktiver Stoffe wurden nur zugelassene Verpa- ckungen und Transportbehälter genutzt. Im KKW Rheinsberg sind folgende Transportbehälter zum Einsatz gekommen: •    Transport- und Lagerbehälter des Typs CASTOR-440/84, •    Transport- und Lagerbehälter des Typs TLB Ic, •    20´-Container, •    40´-Container, •    Tankcontainer für flüssige Stoffe.
3

4 Die 20´-Container wurden mit Einzelgebinden (200-Liter-Fässer, 400-Liter-Fässer, 500-Liter-Fässer, MOSAIK–Behälter, Konrad-Container) beladen. Für die abgebrannten Brennelemente, die Plutonium-Beryllium-Strahlenquellen, Sonderbrennelemente und aktivierte Core-Bauteile wurden 4 Transport- und Lagerbehälter des Typs CASTOR 440/84 genutzt. Aktivierte Core-Bauteile wurden zudem in vier Transport- und Lagerbehälter des Typs TLB Ic zum Standort des ehemaligen KKW Greifswald (Zwischenlager Nord) verbracht. Die in die TLB Ic eingelade- nen Abfallmassen betrugen 1677,5 kg, 2027,5 kg, 1905 kg und 2132,5 kg. Für den Transport der festen sonstigen radioaktiven Stoffe wurden 40´- und 20´-Container eingesetzt. Die 40´-Container wurden für den Transport ausgebauter Großkomponenten (z. B. Dampferzeuger) ge- nutzt. Die 20´-Container wurden direkt mit demontierten Bauteilen oder mit den o. g. Einzelgebinden (max. 56 Fässer, MOSAIK-Behälter oder Konrad-Container) beladen. Die Transportverpackung waren somit die 20´-Container bzw. 40´-Container. Aktivierte bzw. höher kontaminierte Stoffe / Komponenten, die beim Rückbau anfallen, wurden in soge- nannte MOSAIK-Behälter verpackt. Diese wiederum wurden in 20´-Container geladen und in diesen zum Zwischenlager Nord transportiert. Im Rahmen des Vorhabens "Demontage des Reaktordruckbehälters" wurden aktivierte Core-Einbauten fernbedient zerlegt. Die zerlegten Teile wurden in spezielle Körbe verpackt und diese in MOSAIK-Behäl- ter geladen. Die MOSAIK-Behälter wurden im 20´-Container per Straßentransport an den Standort des ehemaligen KKW Greifswald transportiert, dort entladen und die entladenen MOSAIK-Behälter kamen als Leerbehälter zurück. Sie sind in der Anlage als MOSAIK-Shuttle-Transporte ausgewiesen. Die Masse der Einzelgebinde und somit die Masse in den Transportbehältern variierte in Abhängigkeit von der Sperrigkeit, den Stoffeigenschaften, der Kontamination und der Aktivität der demontierten Kom- ponenten. In der jeweiligen Transportanmeldung wurden deshalb immer die Gesamtmassen angege- ben. Hinsichtlich der Gesamtmassen wird auf die Anlage verwiesen. Frage 4: Wie viel Behälter wurden jeweils mit welchem Verkehrsträger transportiert? zu Frage 4: Im betrachteten Zeitraum wurden seitens des KKW Rheinsberg 259 Transporte realisiert (siehe Anlage). Die Transporte erfolgten auf dem Schienenweg (66 Transporte) bzw. per Straßentransport (193 Transporte). Die Transporte der CASTOR-440/84, der TLB Ic und des Reaktordruckbehälters erfolgten auf dem Schienenweg. Die 20´-Container und 40´-Container wurden je nach Verfügbarkeit auf dem Schienenweg bzw. auf der Straße transportiert.
4

5 Frage 5: Hat es jeweils einen Verkehrsträgerwechsel und/oder einen Aufenthalt länger als eine Stunde gegeben und wenn ja, wo (falls mehrfach zutreffend, bitte vollständige Angabe)? zu Frage 5: Hinsichtlich der Transittransporte ist ein Verkehrsträgerwechsel nicht bekannt. Bei den Transporten aus dem KKW Rheinsberg hat es keinen Verkehrsträgerwechsel gegeben. Hinsichtlich möglicher Aufenthaltszeiten von Regeltransporten im Bereich des Schienentransportes lie- gen keine Erkenntnisse vor. Die Sondertransporte (CASTOR-440/84, TLB Ic, Reaktordruckbehälter) und die Straßentransporte wur- den als durchgängige Transporte realisiert. Längerfristige Unterbrechungen der vorgenannten Trans- porte hat es nicht gegeben. Für Kernbrennstofftransporte und Transporte von Großquellen sind ebenfalls keine längeren Aufenthal- te vorgesehen. Frage 6: Welches ist die in Brandenburg zuständige Aufsichtsbehörde für die Transporte? zu Frage 6: Gemäß der Gefahrgutzuständigkeitsverordnung des Landes Brandenburg ist das Landesamt für Um- welt, Gesundheit und Verbraucherschutz (LUGV) Aufsichtsbehörde für Anlagen gemäß §§ 6,7 und 9 Atomgesetz. Sofern Kernbrennstoffe transportiert werden, ist das MUGV die Aufsichtsbehörde. Erfolgt der Transport auf dem Schienenweg der Deutschen Bahn, ist das Eisenbahnbundesamt die zu- ständige Aufsichtsbehörde. Frage 7: Wer ist für die Kontrolle von den Transporten in Brandenburg zuständig und was wird bei Abgang eines Transportes von einer Atomanlage bzw. bei Transporten aus dem Ausland an den Grenzorten kontrol- liert? zu Frage 7: Transittransporte im Sinne dieser Anfrage werden durch die brandenburgischen Behörden nicht plan- mäßig kontrolliert. Sollten im Rahmen von Verkehrskontrollen oder Zollkontrollen hinsichtlich der Fracht- papiere im Zusammenhang mit radioaktiven Stoffen Fragen auftreten, werden die zuständigen Behör- den informiert und können somit tätig werden. Außerhalb der Arbeitszeit besteht eine Strahlenschutzruf- bereitschaft beim LUGV, die als Erstansprechpartner zur Verfügung steht. Im KKW Rheinsberg werden die Transportbehälter hinsichtlich der Einhaltung der radiologischen Grenzwerte des internationalen und nationalen Gefahrgutrechts kontrolliert. Hier wird die Strahlen- schutzaufsichtsbehörde, das LUGV, unter Einbeziehung des Landeslabors Berlin-Brandenburg, tätig. Zusätzlich wird das Vorliegen der Annahmeerklärung des Empfängers kontrolliert. Diese Annahmeer-
5

6 klärung setzt voraus, dass nachgewiesen ist, dass alle Stoffe, die zum Empfänger transportiert werden sollen, den Annahmebedingungen entsprechen. Im Rahmen der sogenannten Produktkontrolle wird der im atomrechtlichen Verfahren einbezogene Sachverständige tätig. Der Sachverständige kontrolliert zu- sätzlich stichprobenartig auch die Einhaltung der Anforderungen des Gefahrgutrechts. Transporte sonstiger radioaktiver Stoffe aus dem Bereich Medizin, Technik und Forschung unterliegen der Aufsicht des Landesamtes für Arbeitsschutz. Auch hier gilt die Zuständigkeit des Eisenbahnbundes- amtes im Falle der Nutzung des Schienennetzes der Deutschen Bahn. Frage 8: Werden in Brandenburg Kontrollen während der Transporte durchgeführt und wenn ja, von wem, wie oft und mit welchen bisherigen Ergebnissen? zu Frage 8: Nein. Frage 9: Welche Behörden und Institutionen in Brandenburg erhalten wann Kenntnis von den Transporten? zu Frage 9: Bei Transittransporten (Kernbrennstoffe und Großquellen) erhält das Lagezentrum des Innenministeri- ums die Transportanmeldung. Das Lagezentrum informiert das Ministerium für Arbeit, Soziales, Frauen und Familie (MASF) sowie das MUGV. Die Meldung ergeht im Rahmen der so genannten 48-Stunden- Meldung. Transporte aus dem KKW Rheinsberg, sofern es sich um Kernbrennstoffe bzw. Sondertransporte han- delt, unterliegen ebenfalls den Regeln der 48-Stunden-Meldung. Alle anderen Transporte werden mindestens 5 Arbeitstage vorher dem MUGV als atomrechtlichen Auf- sichtsbehörde und dem LUGV als Strahlenschutzaufsichtsbehörde fernschriftlich angezeigt. Frage 10: Ist der Transport radioaktiver Materialien aus dem AKW Rheinsberg endgültig abgeschlossen oder ist mit weiteren Transporten zu rechnen? Wenn ja: in welchem Umfang und ab wann? zu Frage 10: Es wird auf die Vorbemerkung verwiesen. Da der Rückbau des KKW Rheinsberg nicht abgeschlossen ist, sind Transporte radioaktiver Stoffe Be- standteil des Vorhabens. Kernbrennstoffe (abgebrannte Brennelemente) befinden sich jedoch nicht mehr am Standort des KKW Rheinsberg. Der Rückbauablauf obliegt der Planung der Betreiberin. Dieser ist aber ein wesentlicher Faktor bzgl. des Zeitpunktes und der Menge des Anfalls von Gebinden. Deshalb kann eine belastbare und seriöse Aussage zur zeitlichen Einordnung von Transporten bzw. über die zu erwartenden Massen zurzeit nicht gegeben werden.
6

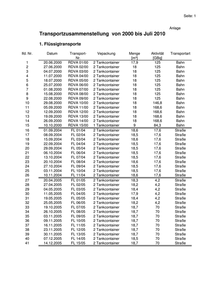
Seite: 1 Anlage Transportzusammenstellung von 2000 bis Juli 2010 1. Flüssigtransporte lfd. Nr.      Datum     Transport-   Vepackung     Menge Aktivität Transportart Nr.                      [m³]  [GBq] 1       20.06.2000 RDVA 01/00  2 Tankcontainer  17,9   125         Bahn 2       27.06.2000 RDVA 02/00  2 Tankcontainer   18    125         Bahn 3       04.07.2000 RDVA 03/00  2 Tankcontainer   18    125         Bahn 4       11.07.2000 RDVA 04/00  2 Tankcontainer   18    125         Bahn 5       18.07.2000 RDVA 05/00  2 Tankcontainer   18    125         Bahn 6       25.07.2000 RDVA 06/00  2 Tankcontainer   18    125         Bahn 7       01.08.2000 RDVA 07/00  2 Tankcontainer   18    125         Bahn 8       15.08.2000 RDVA 08/00  2 Tankcontainer   18    125         Bahn 9       22.08.2000 RDVA 09/00  2 Tankcontainer   18    125         Bahn 10       29.08.2000 RDVA 10/00  2 Tankcontainer   18   146,8        Bahn 11       05.09.2000 RDVA 11/00  2 Tankcontainer   18   168,6        Bahn 12       12.09.2000 RDVA 12/00  2 Tankcontainer   18   168,6        Bahn 13       19.09.2000 RDVA 13/00  2 Tankcontainer   18   168,6        Bahn 14       26.09.2000 RDVA 14/00  2 Tankcontainer   18   168,6        Bahn 15       10.10.2000 RDVA 15/00  1 Tankcontainer   9     84,3        Bahn 16       01.09.2004   FL 01/04  2 Tankcontainer  18,6   17,6       Straße 17       08.09.2004   FL 02/04  2 Tankcontainer  18,5   17,6       Straße 18       15.09.2004   FL 03/04  2 Tankcontainer  18,6   17,6       Straße 19       22.09.2004   FL 04/04  2 Tankcontainer  18,5   17,6       Straße 20       29.09.2004   FL 05/04  2 Tankcontainer  18,5   17,6       Straße 21       06.10.2004   FL 06/04  2 Tankcontainer  18,5   17,6       Straße 22       13.10.2004   FL 07/04  2 Tankcontainer  18,5   17,6       Straße 23       20.10.2004   FL 08/04  2 Tankcontainer  18,6   17,6       Straße 24       27.10.2004   FL 09/04  2 Tankcontainer  18,5   17,6       Straße 25       03.11.2004   FL 10/04  2 Tankcontainer  18,5   17,6       Straße 26       10.11.2004   FL 11/04  2 Tankcontainer  18,6   17,6       Straße 27       20.04.2005   FL 01/05  2 Tankcontainer  18,3    4,2       Straße 28       27.04.2005   FL 02/05  2 Tankcontainer  18,2    4,2       Straße 29       04.05.2005   FL 03/05  2 Tankcontainer  18,4    4,2       Straße 30       11.05.2005   FL 04/05  2 Tankcontainer  17,9    4,2       Straße 31       19.05.2005   FL 05/05  2 Tankcontainer  18,4    4,2       Straße 32       25.05.2005   FL 06/05  2 Tankcontainer  18,2    4,2       Straße 33       19.10.2005   FL 07/05  2 Tankcontainer  18,7    70        Straße 34       26.10.2005   FL 08/05  2 Tankcontainer  18,7    70        Straße 35       03.11.2005   FL 09/05  2 Tankcontainer  18,7    70        Straße 36       09.11.2005   FL 10/05  2 Tankcontainer  18,7    70        Straße 37       16.11.2005   FL 11/05  2 Tankcontainer  18,7    70        Straße 38       23.11.2005   FL 12/05  2 Tankcontainer  18,7    70        Straße 39       30.11.2005   FL 13/05  2 Tankcontainer  18,7    70        Straße 40       07.12.2005   FL 14/05  2 Tankcontainer  18,5    70        Straße 41       14.12.2005   FL 15/05  2 Tankcontainer  18,7    70        Straße
7

Seite: 2 Datum      Transport-   Vepackung     Menge     Aktivität Transportart Nr.                      [m³]      [GBq] 42 11.10.2006    FL 01/06  2 Tankcontainer  18,8       7,8       Straße 43 18.10.2006    FL 02/06  2 Tankcontainer  18,7       7,8       Straße 44 25.10.2006    FL 03/06  2 Tankcontainer  18,7       7,8       Straße 45 08.11.2006    FL 04/06  2 Tankcontainer  18,8       7,8       Straße 46 15.11.2006    FL 05/06  2 Tankcontainer  18,7       7,8       Straße 47 22.11.2006    FL 06/06  2 Tankcontainer  18,7       7,8       Straße 48 29.11.2006    FL 07/06  2 Tankcontainer  18,7       7,8       Straße 49 06.12.2006    FL 08/06  2 Tankcontainer  18,8       7,8       Straße 50 13.12.2006    FL 09/06  2 Tankcontainer  18,8        7,8      Straße 51   21.11.2007  FL 01/07  2 Tankcontainer  18,8        4,2      Straße 52   28.11.2007  FL 02/07  2 Tankcontainer  18,7        4,2      Straße 53   05.12.2007  FL 03/07  2 Tankcontainer  18,8        4,2      Straße 54   12.12.2007  FL 04/07  2 Tankcontainer  18,8        4,2      Straße 55   02.04.2008  FL 01/08  2 Tankcontainer  18,7       1,06      Straße 56   09.04.2008  FL 02/08  2 Tankcontainer  18,8       1,06      Straße 57   16.04.2008  FL 03/08  2 Tankcontainer  18,7       1,06      Straße 58   23.04.2008  FL 04/08  2 Tankcontainer  18,2       1,06      Straße 59   26.11.2008  FL 05/08  1 Tankcontainer   9,3        2,1      Straße 60   03.12.2008  FL 06/08  2 Tankcontainer  18,7        4,2      Straße 61   10.12.2008  FL 07/08  2 Tankcontainer  18,8        4,2      Straße 62   17.12.2008  FL 08/08  2 Tankcontainer  18,6        4,2      Straße 63   22.04.2009  FL 01/09  2 Tankcontainer  18,8        4,4      Straße 64   29.04.2009  FL 02/09  2 Tankcontainer  18,8        4,4      Straße 65   06.05.2009  FL 03/09  2 Tankcontainer  18,7        4,4      Straße 66   13.05.2009  FL 04/09  2 Tankcontainer  18,8        4,4      Straße 67   20.05.2009  FL 05/09  2 Tankcontainer  18,7        4,4      Straße 68   29.07.2009  FL 06/09  2 Tankcontainer  18,8        4,4      Straße 69   05.08.2009  FL 07/09  2 Tankcontainer  18,7        4,4      Straße 70   12.08.2009  FL 08/09  2 Tankcontainer  18,7        4,4      Straße 71   25.11.2009  FL 09/09  2 Tankcontainer  18,7        4,4      Straße 72   02.12.2009  FL 10/09  1 Tankcontainer   9,3        2,2      Straße 73   21.04.2010  FL 01/10  2 Tankcontainer  18,8        4,4      Straße 74   28.04.2010  FL 02/10  1 Tankcontainer   8,9        2,2      Straße 2. Transporte zum Kernkraftwerk Greifswald (KGR) Datum      Transport-     Anzahl      Masse     Aktivität Transportart Nr.        Container      [kg]     [GBq] 75 26.11.2002   KGR 01/02        2          5800      0,192       Bahn 76 14.12.2005   KGR 01/05        1          3000       0,06       Bahn 77 28.11.2006   KGR 01/06        1          3100       0,03       Bahn
8

Seite: 3 3. Transporte zur Zentralen aktiven Werkstatt (ZAW) Datum      Transport-      Anzahl        Masse     Aktivität Transportart Nr.        Container         [kg]     [GBq] 78  27.06.2000   ZAW 01/00         1           22500       0,47       Bahn 79  11.07.2000   ZAW 02/00         1           22500       0,47       Bahn 80  25.07.2000   ZAW 03/00         2           44410       0,93       Bahn 81  08.08.2000   ZAW 04/00         3           14370       0,14       Bahn 82  08.08.2000   ZAW 05/00         1           26500       2,39       Bahn 83  05.09.2000   ZAW 06/00         1           26500       2,39       Bahn 84  19.09.2000   ZAW 07/00         1           26500       2,39       Bahn 85  10.10.2000   ZAW 08/00         1           26500       2,39       Bahn 86  26.06.2001   ZAW 01/01         3            7846       0,08       Bahn 87  25.09.2001   ZAW 02/01         1            2710       0,03       Bahn 88  07.12.2004   ZAW 01/04         1            4916        0,2       Bahn 89  28.06.2005   ZAW 01/05         1           11607       0,13       Bahn 90  31.01.2007   ZAW 01/07         1            4875        1,2      Straße 91  21.02.2007   ZAW 02/07         1            6445       14,9      Straße 92  20.03.2007   ZAW 03/07         1            6195       47,6      Straße 93  08.08.2007   ZAW 04/07         1            8985       83,1      Straße 94  25.07.2007   ZAW 05/07         1            3415       6,99      Straße 95  11.12.2007   ZAW 06/07         1            3645        17       Straße 96  13.12.2007   ZAW 07/07         1            3010       0,07      Straße 97  17.12.2007   ZAW 08/07         1            2895       0,07      Straße 98  22.01.2008   ZAW 01/08         1            2915      0,076      Straße 99  03.04.2008   ZAW 02/08         1            3145        0,2      Straße 4. Transporte zum Zwischenlager Nord (ZLN) Datum      Transport-      Anzahl        Masse     Aktivität Transportart Nr.        Container         [kg]     [GBq] 100 29.02.2000   ZLN 01/00          6         33824,9      9,76       Bahn 101 04.04.2000   ZLN 02/00         10         146745        2,5       Bahn 102 02.05.2000   ZLN 03/00          4         36417,4      3,17       Bahn 103 12.09.2000   ZLN 04/00          2           1715       42,6       Bahn 104 26.09.2000   ZLN 05/00          8         101536       3,93       Bahn 105 17.10.2000   ZLN 06/00          4          4557,5     112,1       Bahn 106 24.10.2000   ZLN 07/00          4         44348,4     1,689       Bahn 107 07.11.2000   ZLN 08/00          3           3547     135,63       Bahn 108 28.11.2000   ZLN 09/00          5         23957,9      9,95       Bahn 109 19.12.2000   ZLN 10/00         10        112899,7      3,39       Bahn 110 27.03.2001   ZLN 01/01          8         98341,8     10,72       Bahn 111 24.04.2001   ZLN 02/01          6          59520       0,59       Bahn 112 26.06.2001   ZLN 03/01          7         41309,2     13,31       Bahn 113 25.09.2001   ZLN 04/01          7         89793,1      6,45       Bahn 114 27.11.2001   ZLN 05/01          8         57450,1      2,36       Bahn 115 18.12.2001   ZLN 06/01         11        112812,3      50,6       Bahn 116 20.03.2002   ZLN 01/02          1            353       7230      Straße 117 30.07.2002   ZLN 02/02         19        132607,6     126,2       Bahn 118 26.11.2002   ZLN 03/02          9         50851,5      2,78       Bahn
9

Seite: 4 Datum        Transport-        Anzahl      Masse  Aktivität Transportart Nr.          Container       [kg]  [GBq] 119  08.04.2003     ZLN 01/03           16      127329,5  4,568       Bahn 120  09.09.2003     ZLN 02/03           18      175295,4   31,1       Bahn 121  18.02.2004     ZLN 03/03            1         2523   0,711      Straße 122  11.05.2004     ZLN 01/04            1         208,5   1744       Bahn 123  11.05.2004     ZLN 02/04           16      125525,5   9,88       Bahn 124  07.12.2004     ZLN 03/04           20       179457   16,74       Bahn 125  28.06.2005     ZLN 01/05           21       129217    83,9       Bahn 126  16.08.2005     ZLN 02/05         1 TLB      1677,5   34800       Bahn 127  30.08.2005     ZLN 03/05         1 TLB      2027,5   76800       Bahn 128  13.09.2005     ZLN 04/05         1 TLB        1905   24900       Bahn 129  27.09.2005     ZLN 05/05         1 TLB      2132,5  144000       Bahn 130  13.12.2005     ZLN 06/05           15      131225,5   10,7       Bahn 131     28.11.2006  ZLN 01/06           22       179473    22,2       Bahn 1 Spezialwaggon   40000  0,0005       Bahn 132  13.12.2007    ZLN 01/06(1)          1        10374    1,12      Straße 133  30.10.2007     RDB 01/07         1 RDB      108900   50000       Bahn 134  11.03.2008     ZLN 01/08            1        11453   1,018      Straße 135  18.03.2008     ZLN 02/08            1        13457   1,315      Straße 136  03.04.2008     ZLN 03/08            2        21518  6,5118      Straße 137  10.04.2008     ZLN 04/08            2        26984    72,2      Straße 138  17.04.2008     ZLN 05/08            1         8496   11,04      Straße 139  24.04.2008     ZLN 06/08            1        14012    0,14      Straße 140  29.04.2008     ZLN 07/08            1        3751,5  1,102      Straße 141  06.05.2008     ZLN 08/08            1        2653,5   0,89      Straße 142  07.05.2008     ZLN 09/08            2         6072   2,517      Straße 143  15.05.2008     ZLN 10/08            1         4182    1,08      Straße 144  21.05.2008     ZLN 11/08            1       11251,5  3,637      Straße 145  28.05.2008     ZLN 12/08            1         9366   4,001      Straße 146  15.10.2008     ZLN 13/08            1       11489,5  15,08      Straße 147  22.10.2008     ZLN 14/08            1         9411   1,304      Straße 148  28.10.2008     ZLN 15/08            1         9640  0,0964      Straße 149  29.10.2008     ZLN 16/08            1         8399   41,65      Straße 150 20/22.01.2009   ZLN 01/09            2        26392    1,04      Straße 151  21.01.2009     ZLN 02/09            2        20940    25,5      Straße 152  23.04.2009     ZLN 03/09            2        34333     0,5      Straße 153  30.04.2009     ZLN 04/09            2         8509   22,13      Straße 154  07.05.2009     ZLN 05/09            1        2045,5     5       Straße 155  07.05.2009     ZLN 06/09            1         3172    0,12      Straße 156  14.05.2009     ZLN 07/09            2        11148     0,2      Straße 157  09.06.2009     ZLN 08/09            2       24646,5    9,7      Straße 158  10.06.2009     ZLN 09/09            2        16099    11,8      Straße 159  14.07.2009     ZLN 10/09            1         6033     0,2      Straße 160  15.07.2009     ZLN 11/09            1        16658     8,5      Straße 161  14.10.2009     ZLN 12/09            2         7714   52,71      Straße 162  15.10.2009     ZLN 13/09            2         7317     8,6      Straße 163  08.12.2009     ZLN 14/09            5        53895    4,89       Bahn 164  13.07.2010     ZLN 01/10            1         287,5    690      Straße 165  06.07.2010     ZLN 02/10            2        36000    0,66      Straße 166  07.07.2010     ZLN 03/10            2        35800    0,66      Straße 167  08.07.2010     ZLN 04/10            2        36000    0,66      Straße
10

Zur nächsten Seite