Umsetzung und Weiterentwicklung der Luftverkehrskonzeption des Landes Brandenburg

/ 53
PDF herunterladen
dabei der 1998 gegründeten Marketing− und Informationsplattform Berlin−Bran− denburg Aerospace Alliance (BBAA) e. V. zu. Das Ministerium für Wirtschaft fördert den Aufbau der Managementstrukturen des BBAA u.a. mit dem Ziel, das Rufbild des Wirtschaftsstandortes Berlin−Brandenburg für die Luftfahrtindustrie erheblich zu verbessern. Darüber hinaus trägt die Internationale Luft− und Raumfahrtausstellung (ILA) kon− sequent zur internationalen Profilierung der Region Berlin−Brandenburg als Standort für die Luftfahrtindustrie bei. Die ILA zählt zu den bedeutendsten Luftfahrtmessen der Welt und findet im Turnus von zwei Jahren am Flughafen Schönefeld statt. Die Durchführung der ILA wird durch das Land Brandenburg gefördert und begleitet. Zusätzliches operationelles Mittel der Unterstützung von Unternehmen bei der An− siedlung und der Erweiterung der betrieblichen Tätigkeiten ist die Ausreichung öf− fentlicher Fördermittel, z. B. über das Programm der Gemeinschaftsaufgabe zur Verbesserung der Regionalen Wirtschaftsstruktur (GA) oder des Programms Pro− dukt− und Verfahrensinnovationen. So hat das Land Brandenburg Vorhaben von international tätigen Unternehmen des Luftfahrtbereichs wie z. B. Rolls−Royce Deutschland, MTU und Lufthansatechnik mit einem Gesamtinvestitionsvolumen von rund 425 Mio. EUR an Brandenburger Standorten mit mehr als 69 Mio. EUR aus Mitteln der GA gefördert und auf diese Weise wichtige Grundsteine für die Veran− kerung der Luftfahrtindustrie als Schlüsselbranche in Brandenburg gelegt. Frage 33: Wie entwickelte sich die Einnahme− und Kostensituation im Luftverkehr im Land Brandenburg − unter besonderer Berücksichtigung der Einnahme− und Kostensituation am Flughafen Schönefeld − im Zeitraum 1991 bis 2003? Zu Frage 33: Aussagen zur Einnahme− und Kostensituation im Luftverkehr im Land Brandenburg liegen der Landesregierung nicht vor. Zur Einnahme− und Kostensituation des Flughafens Schönefeld hat die Geschäfts− führung der Flughafen Berlin−Schönefeld GmbH folgende Angaben gemacht: Jahr                Betriebserträge              Betriebsaufwendungen T                              T 1991                      34.707                          48.621 1992                      29.408                          47.053 1993                      33.540                          54.805 1994                      38.393                          53.293 1995                      39.557                          54.375 1996                      39.779                          62.441 1997                      39.291                          53.879 1998                      40.397                          55.826 1999                      37.082                          53.921 2000                      41.100                          67.866
31

2001                      38.945                           65.040 2002                      43.950                           66.362 Für das Jahr 2003 liegen keine endgültigen Zahlen vor. Frage 34: Inwieweit sollen und können die regionalen und kleinen Flugplätze im Land Brandenburg eine sinnvolle Ergänzung zum Berlin−Brandenburger Flug− platzsystem sein? Zu Frage 34: Internationale Verbindungen werden vorrangig über Verkehrsflughäfen gesichert. Sie haben u. a. deswegen eine herausragende Bedeutung sowohl aus regionaler als auch aus bundesweiter Sicht für die Leistungsfähigkeit von Produktions− und Dienstleistungsunternehmen. Flughäfen bilden aber nur einen, wenn auch wichtigen Teil der Luftverkehrsinfrastruktur. Als Ergänzung zum internationalen Verkehrs− flughafen Berlin−Schönefeld ist ein in sich abgestimmtes System von Flugplätzen unterschiedlicher Kategorien und Qualitäten vorzuhalten. Besondere Bedeutung gewinnt dabei die Vorhaltung von Regionalflugplätzen. Von der Landesregierung werden hierbei vorrangig die für die luftverkehrliche Erschließung notwendigen Flugplätze mit sich aus dieser allgemeinen Verkehrsfunktion ableitenden besonde− ren Anforderungen an die Zugänglichkeit und Sicherheit betrachtet. Die Landesre− gierung steht für einen Teil der Aufgaben in direkter Verantwortung. Die Anzahl und Struktur dieser Flugplätze unterliegen daher einer besonders kritischen Betrachtung. Weiterer Bedarf, insbesondere ausgehend von der örtlichen Wirtschaft, dem Tou− rismus und luftsportlichen Interessen ist durch Flugplätze mit entsprechenden Zweckbestimmungen zu decken. Diese Flugplätze sind daher ein wichtiger Teil der Bodeninfrastruktur der Luftfahrt insgesamt. Sie sind planerisch und rechtlich ent− sprechend abzusichern. Frage 35: Welche Bedeutung haben die regionalen und kleinen Flugplätze für die Ent− wicklung des Luftsportes und der Luftsportvereine im Land Brandenburg? Wie und durch welche finanziellen Zuschüsse hat die Landesregierung im Zeitraum 1991 bis 2003 die Entwicklung des Luftsportes und der Luftsport− vereine in Brandenburg unterstützt? Zu Frage 35: Die Landesregierung hat dazu beigetragen, die notwendigen Bedingungen für die Ausübung des Luftsports zu sichern und zu entwickeln. Für die Brandenburger und Berliner werden dadurch vielfältige Möglichkeiten für eine aktive sportliche Betäti− gung auf diesem Gebiet geboten. In besonderem Interesse steht dabei die Förde− rung des Kinder− und Jugendsports. Der Bedarf an luftsportlicher Betätigung der Luftsportvereine aus der Bundeshauptstadt Berlin ist ebenfalls berücksichtigt wor− den.
32

Die Landessportverbände werden mit Landesmitteln durch den Landessportbund Brandenburg e.V. gemäß der Förderrichtlinie für satzungsgemäße Zwecke geför− dert. Danach erhielt der Luftsportlandesverband: 1994: 9.843,91 EUR (einschl. Personalkostenzuschuss für Geschäftsführer) 1995: 3.553,99 EUR (ohne PK−Z GF) 1996: 12.760,63 EUR (einschl. PK−Z GF) 1997: 13.659,63 EUR 1998: 12.481,46 EUR 1999: 11.148,91 EUR 2000: 11.266,51 EUR 2001: 13.154.01 EUR 2002: 12.993,75 EUR 2003: 12.875,99 EUR Nach Zuerkennung eines Landesleistungsstützpunkts wurde der Luftsportlandes− verband ab 1998 für entsprechende Maßnahmen im Kinder− und Jugendsportbe− reich wie folgt gefördert: 1998: 2.556,00 EUR 1999: 3.323,00 EUR 2000: 4.320,00 EUR 2001: 4.920,00 EUR 2002: 7.661,00 EUR 2003: 8.200,00 EUR Im Rahmen geförderter Landesprojekte erhielt der Flieger−Club Strausberg zur Beschaffung eines umgerüsteten Segelflugzeuges für das Projekt "Segelfliegen für Behinderte" Fördermittel des Landes in Höhe von 14.316,00 EUR sowie der Lan− desverband im Jahr 1999 einen Zuschuss in Höhe von 46.016,00 EUR zur Be− schaffung eines Segelflugzeuges für die Verbandsarbeit. Frage 36: Welche Landeplätze existieren in Brandenburg für Notlandungen und wie schätzt die Landesregierung deren Qualität und Sicherheit ein? Zu Frage 36: Speziell für Notlandungen vorgesehene Flugplätze existieren weder im Land Bran− denburg noch in anderen Bundesländern. Dazu ist anzumerken, dass jeder Flug− zeugführer nach den gesetzlichen Bestimmungen dazu verpflichtet ist, im Rahmen seiner Flugvorbereitung sog. Ausweichflugplätze bei seiner Streckenplanung vor− zusehen und sich dabei anhand der konkreten Angaben des amtlichen Luftfahrt− handbuchs über die dort gegebenen technischen Parameter und die örtlichen Ver− hältnisse vor Antritt des Fluges zu informieren. Die Ausweichflugplätze müssen von vornherein so gewählt werden, dass sie für das jeweilige Luftfahrzeug zugelassen sind. Dadurch ist sichergestellt, dass die erforderliche Infrastruktur (Rettungs− dienste, Flughafenfeuerwehr, Instrumentenanflugverfahren etc.) vorhanden ist.
33

Bei ganz akuten Notfällen, bei denen ein derartiger Ausweichflugplatz nicht mehr erreicht werden kann, darf jedes Luftfahrzeug abweichend von § 25 Abs. 1 LuftVG (Flugplatzzwang) auf jedem geeigneten Flugplatz und darüber hinaus auch außer− halb von Flugplätzen landen. In diesen Fällen steht dann natürlich keine Infrastruk− tur für Rettungsmaßnahmen vor Ort zur Verfügung, sondern muss nach Alarmierung durch die Flugsicherung, Polizei oder andere Einrichtungen erst herbeigerufen werden. Die Entscheidung, ob eine Notlandung durchgeführt werden muss und wo diese durchgeführt wird, ist von der jeweiligen Luftnotlage abhängig und kann nur vom verantwortlichen Luftfahrzeugführer getroffen werden. Angesichts der Unvorhersehbarkeit, aber auch Seltenheit, von Notsituationen, die eine Notlandung von Luftfahrzeugen außerhalb von für sie genehmigten Flugplätzen erforderlich machen, wäre es z.B. im Hinblick auf Verkehrsflugzeuge nicht möglich, überall Notfallflugplätze mit entsprechender Infrastruktur vorzuhalten. Grundsätze, Ziele und Maßnahmen im Rahmen des Operationellen Programms Brandenburg 2000 − 2006 Frage 37: Auf welchen Grundsätzen europäischer Gemeinschaftspolitik basiert und auf welche Ziele richtet sich die Luftverkehrspolitik der Landesregierung im Rahmen des Operationellen Programms Brandenburg 2000 bis 2006? Zu Frage 37: Bei der Erarbeitung des Operationellen Programms (OP) im Rahmen des Europäi− schen Fonds für Regionale Entwicklung (EFRE) für das Land Brandenburg wurden die strategischen Orientierungen der EU−Kommission, die ihren Niederschlag in den auf Wachstum und Beschäftigungswirksamkeit ausgerichteten Leitlinien finden, in umfassendem Maße berücksichtigt. Im Verkehrssektor orientieren die Leitlinien der EU−Kommission einerseits auf die Anbindung der strukturschwachen ostdeutschen Regionen an die Transeuropäi− schen Netze. Andererseits wird auf ein ausgewogenes Verhältnis zwischen den verschiedenen Verkehrsträgern und zwischen verkehrsinfra−strukturellen Groß− vorhaben sowie Erfordernissen lokaler Transportsysteme gesetzt. Zielaspekten wie Erreichbarkeit und Nachhaltigkeit wird dabei besondere Bedeutung beigemessen. Komplementär zum Bundesprogramm Verkehr (Verkehrsinfrastrukturprojekte mit überregionaler Bedeutung) beinhaltet das OP Brandenburg Interventionen zur Verbesserung der Verkehrsinfrastrukturen auf regionaler und lokaler Ebene bei verschiedenen Verkehrsträgern. Neben Investitionen in den Bereichen Straßenbau, Wasserstraßen und Schienen− personennahverkehr sind Förderungen zum Ausbau der verkehrlichen und infra− strukturellen Erschließung von Flugplätzen für den allgemeinen Verkehr einschl. innerer Nebenanlagen und technischer Ausrüstungen möglich.
34

Mit diesen Förderungen soll eine abgestimmte territorial−wirtschaftliche Entwicklung von Flugplätzen und deren Umfeld, eine stabile Entwicklung der Flugplatzgesell− schaften und eine Ansiedlung von gewerblichen− und Dienstleistungsunternehmen, verbunden mit der Schaffung von Dauerarbeitsplätzen in verschiedenen Branchen, erreicht werden. Damit wird ein Beitrag zur Umsetzung des Integrierten Verkehrs− konzeptes des Landes Brandenburg geleistet Frage 38: Welche konkreten Infrastrukturmaßnahmen wurden nach der Luftver− kehrskonzeption des Landes im Rahmen des Operationellen Programms Brandenburg bisher im Zeitraum 2000 bis 2003 realisiert? Wie hoch war in diesem Zusammenhang der geplante und realisierte Einsatz von EU−Struk− turfondsmitteln? Wie schlüsseln sich diese Mittel im einzelnen auf? Wie be− wertet die Landesregierung die Effizienz der eingesetzten Mittel? Zu Frage 38: Im Rahmen des Operationellen Programms sind an drei Standorten Vorhaben rea− lisiert worden. Der Standort, die konkrete Maßnahme, sowie die beantragten und eingesetzten EFRE− Mittel sind in der folgenden Tabelle dargestellt. Die Vorhaben wurden in den Jahren 2001 bis 2003 realisiert. Sie sind abgeschlos− sen. Investitionsort/Maßnahme               beantragte Mittel       realisierte Mittel per 30.06.2003 Fehrbellin, Ausbau           Verkehrslandeplatz         708.139,25              708.139,25    + "Ruppiner Land" Strausberg, Ausbau           Verkehrslandeplatz 753.064,94              753.064,94 Strausberg                          265.665,00              263.328,84 Ersatzneubau Befeuerungsanlage             1.018.729,94             1.016.393,78 Jänschwalde, Ausbau Verkehrslandeplatz Cott−     726.264,55              726.264,55 bus−Drewitz und Anbindung Ver−      978.075,00              617.463,00 kehrslandeplatz                            1.704.339,50             1.343.727,55 Im Übrigen siehe hierzu Frage 27. Frage 39: Welche konkreten Infrastrukturmaßnahmen sollen nach der Luftverkehrs− konzeption des Landes im Rahmen des Operationellen Programms Branden− burg im Zeitraum 2003 bis 2006 noch realisiert werden? Wie hoch ist in die− sem Zusammenhang der geplante und ggf. bereits beantragte Einsatz von EU−Strukturfondsmitteln? Wie schlüsseln sich diese Mittel im einzelnen auf?
35

Zu Frage 39: Für die Jahre 2003/2004 sind keine Landesmittel für die Förderung des Ausbaus von Flugplätzen in den Haushalt eingestellt. Die vorgesehenen Mittel aus den EU− Strukturfonds sind zur Realisierung anderer Infrastrukturvorhaben verlagert worden. Zusammenarbeit mit der Republik Polen Frage 40: Welche konkreten Infrastrukturmaßnahmen wurden nach der Luftverkehrs− konzeption des Landes im Rahmen des Operationellen Programms Bran− denburg bisher im Zeitraum 2000 bis 2003 in Zusammenarbeit mit der Re− publik Polen realisiert? Wie hoch war in diesem Zusammenhang der geplante und realisierte Einsatz von EU−Strukturfondsmitteln? Wie schlüsseln sich diese Mittel im einzelnen konkret auf? Frage 41: Welche konkreten Infrastrukturmaßnahmen sollen nach der Luftverkehrs− konzeption des Landes im Rahmen des Operationellen Programms Branden− burg im Zeitraum 2003 bis 2006 in Zusammenarbeit mit der Republik Polen noch realisiert werden? Wie hoch ist in diesem Zusammenhang der geplante und ggf. bereits beantragte Einsatz von EU−Strukturfondsmitteln? Wie schlüsseln sich diese Mittel im einzelnen konkret auf? Zu Frage 40 und 41: Das Operationelle Programm Brandenburg beinhaltet ausschließlich die Förderung von Infrastrukturmaßnahmen im Land Brandenburg. Frage 42: Welche regionalen und kleinen Flugplätze in der Republik Polen werden in der Luftverkehrskonzeption des Landes Brandenburg als sinnvolle Ergänzung zum Flugplatzsystem der Region Berlin−Brandenburg und speziell zum Ver− kehrsflughafen Schönefeld angesehen? Welche Maßnahmen der Zusam− menarbeit mit Polen werden in diesem Zusammenhang bis 2004 realisiert? Frage 43: Wie bewertet die Landesregierung die bisherige Zusammenarbeit mit der Re− publik Polen auf dem Gebiet der Luftverkehrspolitik? Zu Frage 42 und 43: Nach Artikel 73 Ziffer 6 Grundgesetz hat der Bund die ausschließliche Gesetzge− bung im Bereich des Luftverkehrs. Nach Artikel 59 Absatz 2 Grundgesetz ist er weiterhin zuständig für Verträge, die die politischen Beziehungen des Bundes re− geln. Vor diesem Hinterrund besteht seit 1991 ein bilaterales Luftverkehrsabkom− men zwischen der Bundesrepublik Deutschland und der Republik Polen. Danach gehört Berlin zu den vier deutschen Flughafenstandorten, die von dem sonst frei− gestellten regionalen Linienverkehr mit Maschinen unter 70 Sitzen ausgenommen sind. Praktisch bedeutet dies, dass ausgehend von Berlin nur Flüge nach Warschau,
36

nicht aber nach Krakau, Posen und Zielona Gora möglich sind. Ausgenommen von diesen Beschränkungen ist die Destination Kattowitz, die einmal täglich von Berlin− Schönefeld im Frachtflugverkehr von der in Lublin ansässigen polnischen Luft− fahrtgesellschaften Exin Aviation angeflogen wird. Von den Berliner Flughäfen ausgehender Regionalflugverkehr nach West−Polen wird nach dem EU−Beitritt Polens und der damit zur Anwendung kommenden Libe− ralisierung des Luftverkehrs möglich sein, so dass eine Überarbeitung des Luftver− kehrsabkommens entbehrlich ist. Das Land Brandenburg verfügt über eine ausreichende Zahl von Flugplätzen un− terschiedlicher Qualität, die in der Lage sind, die Luftverkehrsnachfrage von Wirt− schaft und Bevölkerung der Bundesländer Brandenburg und Berlin unter Einbezie− hung der drei internationalen Verkehrsflughäfen des Flughafensystems Berlin zu decken. Frage 44: Welche Maßnahmen der partnerschaftlichen Zusammenarbeit mit dem polni− schen Regionalflughafen Zielona Gora Babimost sind nach der Luftver− kehrskonzeption des Landes zwischen Brandenburg und Polen für die Zu− kunft vorgesehen? Zu Frage 44: Die erste Fortschreibung der Luftverkehrskonzeption betrachtet ausschließlich die Entwicklung von Flugplätzen im Land Brandenburg. Im Rahmen der Gespräche der Kernarbeitsgruppe Ost−Brandenburg−Lebuser Land haben sich Kontakte zum Flughafen Zielona Gora Babimost ergeben. Danach ist auf der internationalen Luft− und Raumfahrtausstellung ILA 2002 sowie im Rahmen der AERO 2003 der Flug− platz Babimost gemeinsam mit einer Auswahl von Landeplätzen des Landes Bran− denburg präsentiert worden. Frage 45: Wie steht die Landesregierung zum Angebot der polnischen Regierung zur Zusammenarbeit bei der Errichtung eines internationalen Verkehrsflughafens in Slubice? Zu Frage 45: Der Landesregierung ist kein Angebot der Polnischen Regierung zur Zusammen− arbeit bei der Errichtung eines internationalen Verkehrsflughafens in Slubice be− kannt. Entwicklung einzelner Flugplätze Frage 46: Die Betreiber des Flughafens Erie (US−Bundesstaat Pennsylvania), hatten ein Vorkaufsrecht für den Flugplatz Cottbus−Drewitz (Spree−Neiße−Kreis)
37

erworben. Im Frachtverkehr soll hierdurch ein Tor nach Ost− und Mitteleu− ropa geschaffen werden. Geplant seien die Verlängerung der Landebahn auf 3.000 Meter sowie der Bau eines Frachtlogistikzentrums. Welche Entschei− dungen wurden bezüglich der weiteren Entwicklung des Flugplatzes Cottbus− Drewitz getroffen? Zu Frage 46: Die Betreiber des Flughafens Erie haben für den Verkehrslandeplatz Cottbus− Drewitz kein Vorkaufsrecht, sondern einen bis Ende 2004 laufenden Vertrag, der ihnen ein Exklusivrecht bezüglich der weiteren Entwicklung des Platzes einräumt. Ein Master− bzw. Businessplan zur Schaffung der notwendigen Rahmenbedingun− gen soll bis Ende 2003 erstellt werden. Danach könnten die notwendigen Verfahren eingeleitet werden. Frage 47: Die Fluggesellschaft Ryanair hatte den Flugplatz Neuhardenberg bei der Su− che nach einem neuen Basisflugplatz in die engere Wahl aufgenommen. Wie ist der aktuelle Stand der Entscheidungen? Wie bewertet die Landesregierung die Pläne von Ryanair, den Flugplatz Neuhardenberg als Basis für Billigflüge zu etablieren? Zu Frage 47: Die Fluggesellschaft Ryanair hat schriftlich wie mündlich Interesse bekundet, den derzeitigen Sonderlandeplatz Neuhardenberg zu entwickeln und anzufliegen und an diesem Standort drei Fluggeräte zu stationieren. Eine entsprechende Planungsan− zeige liegt vor. In einer Vielzahl von Gesprächen sind sowohl der Betreiber als auch Vertreter der Fluggesellschaft Ryanair auf mögliche Probleme im Rahmen notwendiger Verfahren hingewiesen worden. Ein Antrag auf Änderungsgenehmigung liegt bisher nicht vor. Die Landesregierung sieht sich nach dem derzeitigen Stand der Gespräche und ohne Vorliegen eines entsprechenden Antrags außerstande, die Pläne von Ryanair zu bewerten. Dessen ungeachtet strebt die Landesregierung an, die Flugverkehre (insbesondere die Linienverkehre) zur Erschließung der Hauptstadtregion Berlin−Brandenburg mit Zusammenführung der Flughafenkapazitäten am Standort Schönefeld zu realisie− ren. Unterrichtung der Abgeordneten des Landtages Frage 48: In welcher Art und Weise und wann wird die aktuelle überarbeitete Fassung der Luftverkehrskonzeption des Landes Brandenburg den Abgeordneten des Landtages zur Information bzw. Debatte vorgelegt? Zu Frage 48: siehe Antwort zu Frage 2
38

Jahr Flughafen      Kont      Daten                1998       1999       2000            2001       2002 2003 per Juni SXF            Europa    Flugbewegungen     18.406     16.827     19.438          15.971     15.651         6.282 Passagiere      1.533.164  1.401.496  1.614.309       1.468.026  1.340.721      485.021 Inland    Flugbewegungen     10.020      9.942     11.685           9.449      8.425         4.272 Passagiere         55.945     90.530    121.306          81.055     60.556       34.523 Interkont Flugbewegungen      2.285      2.535      2.824           2.215      1.680           724 Passagiere        287.100    369.359    398.304         302.296    214.148       83.619 SXF Flugbewegungen                          30.711     29.304     33.947          27.635     25.756       11.278 SXF Passagiere                           1.876.209  1.861.385  2.133.919       1.851.377  1.615.425      603.163 THF            Europa    Flugbewegungen     11.376      9.731     11.385          11.149     12.094         5.533 Passagiere        301.548    294.898    323.167         304.571    300.411      140.180 Inland    Flugbewegungen     30.502     28.792     25.963          27.668     25.963         9.094 Passagiere        630.340    545.422    431.267         469.257    311.670       99.042 THF Flugbewegungen                          41.878     38.523     37.348          38.817     38.057       14.627 THF Passagiere                             931.888    840.320    754.434         773.828    612.081      239.222 TXL            Europa    Flugbewegungen     48.819     53.257     58.031          62.857     58.936       30.040 Passagiere      3.467.560  3.791.239  4.229.000       4.285.454  4.161.476    2.070.244 Inland    Flugbewegungen     65.627     64.195     68.517          61.584     61.800       34.701 Passagiere      5.291.266  5.675.321  5.921.127       5.430.868  5.583.782    3.143.538 Interkont Flugbewegungen        615        780      1.120           1.043        634           285 Passagiere         51.347     74.214    118.198         147.548     83.405       34.926 TXL Flugbewegungen                         115.061    118.232    127.668         125.484    121.370       65.026 TXL Passagiere                           8.810.173  9.540.774 10.268.325       9.863.870  9.828.663    5.248.708 Berlin gesamt  Europa    Flugbewegungen     78.601     79.815     88.854          89.977     86.681       41.855 Passagiere      5.302.272  5.487.633  6.166.476       6.058.051  5.802.608    2.695.445 Inland    Flugbewegungen    106.149    102.929    106.165          98.701     96.188       48.067 Passagiere      5.977.551  6.311.273  6.473.700       5.981.180  5.956.008    3.277.103 Interkont Flugbewegungen      2.900      3.315      3.944           3.258      2.314         1.009 Passagiere        338.447    443.573    516.502         449.844    297.553      118.545 Gesamt: Flugbewegungen                     187.650    186.059    198.963         191.936    185.183       90.931 Gesamt: Passagiere                      11.618.270 12.242.479 13.156.678      12.489.075 12.056.169    6.091.093
39

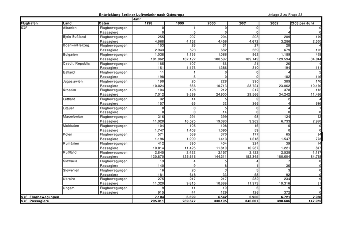
Entw icklung Berliner Luftverkehr nach O steuropa                                Anlage 2 zu Frage 23 Jahr Flughafen           Land            Daten                      1998              1999        2000        2001         2002         2003 per Juni SXF                 Albanien        Flugbewegungen                       0                 1           0           0             1                 0 Pas sagiere                          0                 5           0           0             4                 0 Bjelo Rußland   Flugbewegungen                     255               207         204         208          209                169 Pas sagiere                      4.968             4.152       4.456       4.672        3.286              2.500 Bosnien/Herzeg. Flugbewegungen                     103                26          31          27           28                  4 Pas sagiere                      2.943               523         682         539          679                112 Bulgarien       Flugbewegungen                   1.038             1.136       1.066         962        1.189                408 Pas sagiere                   101.062           107.127     100.597     109.142       129.594             34.044 Czech. Republic Flugbewegungen                     185               107          66          21           26                  4 Pas sagiere                        161             1.476       1.386         310          194                191 Estland         Flugbewegungen                      11                 1           0           0             4                 2 Pas sagiere                        198                 5           0           0          182                116 Jugoslawien     Flugbewegungen                     190                20         228         390          389                170 Pas sagiere                     10.024               666      10.713      23.724       23.062             10.150 Kroatien        Flugbewegungen                     104               128         212         217          378                132 Pas sagiere                      7.012             9.599      24.900      29.566       34.242             11.466 Lettland        Flugbewegungen                      32                14           5           2             2                 4 Pas sagiere                        157                65          32         366             4               636 Litauen         Flugbewegungen                       0                 0           5           0             4                 1 Pas sagiere                          0                 0          14           0             0                 0 M acedonian     Flugbewegungen                     316               291         399          98          124                 62 Pas sagiere                     11.928            16.525      19.090       3.262        6.733              2.950 Moldavien       Flugbewegungen                     104               105         108          15             0                 0 Pas sagiere                      1.747             1.408       1.095          59             0                 0 Polen           Flugbewegungen                     571               569         370         177           65                 84 Pas sagiere                      1.196             1.299       1.413       1.218        1.547                753 Rum änien       Flugbewegungen                     412               390         404         324           39                 14 Pas sagiere                     10.814            11.425      11.810      10.287        1.221                897 Rußland         Flugbewegungen                   2.845             2.422       2.157       2.122        2.528              1.187 Pas sagiere                   130.870           125.616     144.211     152.345       180.604             84.758 Slowakia        Flugbewegungen                      13                 4           5           4             7                 0 Pas sagiere                        140                 9           8           1           36                  0 Slowenien       Flugbewegungen                      16                20           3           5             3                 0 Pas sagiere                        181               648          33          58           92                  0 Ukraine         Flugbewegungen                     275               217         217         282          234                  9 Pas sagiere                     11.320             9.815      10.669      11.973       10.316                 21 Ungarn          Flugbewegungen                       9                11          19           5             9                 1 Pas sagiere                        915                44         129         126          372                  0 SXF Flugbew egungen                                                  7.104             6.399       6.542       5.900        6.721              2.920 SXF Passagiere                                                    295.011           289.677     330.195     346.607       390.686            147.925
40

Zur nächsten Seite