Umsetzung und Weiterentwicklung der Luftverkehrskonzeption des Landes Brandenburg

/ 53
PDF herunterladen
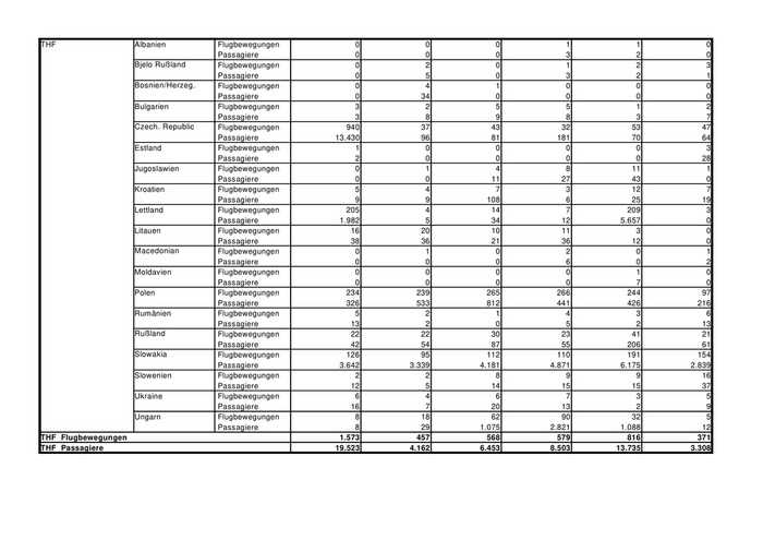
THF                Albanien        Flugbewegungen      0     0     0     1      1     0 Passagiere          0     0     0     3      2     0 Bjelo Rußland   Flugbewegungen      0     2     0     1      2     3 Passagiere          0     5     0     3      2     1 Bosnien/Herzeg. Flugbewegungen      0     4     1     0      0     0 Passagiere          0    34     0     0      0     0 Bulgarien       Flugbewegungen      3     2     5     5      1     2 Passagiere          3     8     9     8      3     7 Czech. Republic Flugbewegungen    940    37    43    32     53    47 Passagiere     13.430    96    81   181     70    64 Estland         Flugbewegungen      1     0     0     0      0     3 Passagiere          2     0     0     0      0    28 Jugoslawien     Flugbewegungen      0     1     4     8     11     1 Passagiere          0     0    11    27     43     0 Kroatien        Flugbewegungen      5     4     7     3     12     7 Passagiere          9     9   108     6     25    19 Lettland        Flugbewegungen    205     4    14     7    209     3 Passagiere      1.982     5    34    12  5.657     0 Litauen         Flugbewegungen     16    20    10    11      3     0 Passagiere         38    36    21    36     12     0 Macedonian      Flugbewegungen      0     1     0     2      0     1 Passagiere          0     0     0     6      0     2 Moldavien       Flugbewegungen      0     0     0     0      1     0 Passagiere          0     0     0     0      7     0 Polen           Flugbewegungen    234   239   265   266    244    97 Passagiere        326   533   812   441    426   216 Rumänien        Flugbewegungen      5     2     1     4      3     6 Passagiere         13     2     0     5      2    13 Rußland         Flugbewegungen     22    22    30    23     41    21 Passagiere         42    54    87    55    206    61 Slowakia        Flugbewegungen    126    95   112   110    191   154 Passagiere      3.642 3.339 4.181 4.871  6.175 2.839 Slowenien       Flugbewegungen      2     2     8     9      9    16 Passagiere         12     5    14    15     15    37 Ukraine         Flugbewegungen      6     4     6     7      3     5 Passagiere         16     7    20    13      2     9 Ungarn          Flugbewegungen      8    18    62    90     32     5 Passagiere          8    29 1.075 2.821  1.088    12 THF Flugbewegungen                                 1.573   457   568   579    816   371 THF Passagiere                                    19.523 4.162 6.453 8.503 13.735 3.308
41

TXL                Bjelo Rußland   Flugbewegungen       0       0       0       2       3      2 Passagiere           0       0       0       5      11      6 Bosnien/Herzeg. Flugbewegungen       0       1       0       0       1      0 Passagiere           0       0       0       0       0      0 Bulgarien       Flugbewegungen      30      42      38      46     114     40 Passagiere       3.688   4.932   4.230   5.204  12.744  3.414 Czech. Republic Flugbewegungen     189   1.125     629     622     619    309 Passagiere       2.665  13.886  17.708  18.547  19.680  8.346 Estland         Flugbewegungen       0       1       0       0       0      0 Passagiere           0     107       0       0       0      0 Jugoslawien     Flugbewegungen       3       0       1       0       6     18 Passagiere         105       0       1       0     139    793 Kroatien        Flugbewegungen     393     309     356     342     328     45 Passagiere      13.798   8.453  14.401  15.888  19.085  5.493 Lettland        Flugbewegungen       1       2       0       1      54    221 Passagiere           3       0       0       0   1.351  7.052 Litauen         Flugbewegungen     736     802     754     722     715    338 Passagiere      12.078  13.807  14.392  15.510  15.360  6.900 Macedonian      Flugbewegungen       0       1       1       0       2      0 Passagiere           0      33       0       0      74      0 Moldavien       Flugbewegungen       0       0       1       0       0      0 Passagiere           0       0      56       0       0      0 Polen           Flugbewegungen   1.443   1.335   1.353   1.591   1.846    928 Passagiere      40.468  35.929  33.182  34.067  33.778 16.884 Rumänien        Flugbewegungen       0       0       1      53     300     72 Passagiere           0       0       1   1.613   9.460  2.304 Rußland         Flugbewegungen   1.317     712     707     593      17      9 Passagiere      50.124  26.584  30.729  29.243     646    117 Slowakia        Flugbewegungen       3       0       1       2       2     35 Passagiere          28       0       0       3       6  2.197 Slowenien       Flugbewegungen       2       3       3       1       3      3 Passagiere         151      42       8      31     267     49 Ukraine         Flugbewegungen       1       2       6       5      56    156 Passagiere           0      97      28      11   1.866  6.174 Ungarn          Flugbewegungen   1.591   1.657   1.322   1.236   1.252    691 Passagiere      71.629  82.156  78.498  74.245  65.607 29.107 TXL Flugbewegungen                                  5.709   5.992   5.173   5.216   5.318  2.867 TXL Passagiere                                    194.737 186.026 193.234 194.367 180.074 88.836
42

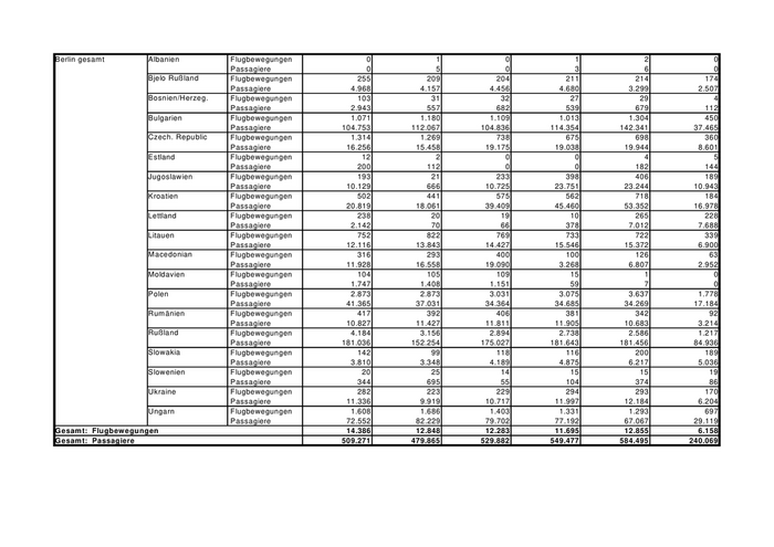
Berlin gesam t         Albanien        Flugbewegungen       0       1       0       1       2       0 Passagiere           0       5       0       3       6       0 Bjelo Rußland   Flugbewegungen     255     209     204     211     214     174 Passagiere       4.968   4.157   4.456   4.680   3.299   2.507 Bosnien/Herzeg. Flugbewegungen     103      31      32      27      29       4 Passagiere       2.943     557     682     539     679     112 Bulgarien       Flugbewegungen   1.071   1.180   1.109   1.013   1.304     450 Passagiere     104.753 112.067 104.836 114.354 142.341  37.465 Czech. Republic Flugbewegungen   1.314   1.269     738     675     698     360 Passagiere      16.256  15.458  19.175  19.038  19.944   8.601 Estland         Flugbewegungen      12       2       0       0       4       5 Passagiere         200     112       0       0     182     144 Jugoslawien     Flugbewegungen     193      21     233     398     406     189 Passagiere      10.129     666  10.725  23.751  23.244  10.943 Kroatien        Flugbewegungen     502     441     575     562     718     184 Passagiere      20.819  18.061  39.409  45.460  53.352  16.978 Lettland        Flugbewegungen     238      20      19      10     265     228 Passagiere       2.142      70      66     378   7.012   7.688 Litauen         Flugbewegungen     752     822     769     733     722     339 Passagiere      12.116  13.843  14.427  15.546  15.372   6.900 M acedonian     Flugbewegungen     316     293     400     100     126      63 Passagiere      11.928  16.558  19.090   3.268   6.807   2.952 Moldavien       Flugbewegungen     104     105     109      15       1       0 Passagiere       1.747   1.408   1.151      59       7       0 Polen           Flugbewegungen   2.873   2.873   3.031   3.075   3.637   1.778 Passagiere      41.365  37.031  34.364  34.685  34.269  17.184 Rum änien       Flugbewegungen     417     392     406     381     342      92 Passagiere      10.827  11.427  11.811  11.905  10.683   3.214 Rußland         Flugbewegungen   4.184   3.156   2.894   2.738   2.586   1.217 Passagiere     181.036 152.254 175.027 181.643 181.456  84.936 Slowakia        Flugbewegungen     142      99     118     116     200     189 Passagiere       3.810   3.348   4.189   4.875   6.217   5.036 Slowenien       Flugbewegungen      20      25      14      15      15      19 Passagiere         344     695      55     104     374      86 Ukraine         Flugbewegungen     282     223     229     294     293     170 Passagiere      11.336   9.919  10.717  11.997  12.184   6.204 Ungarn          Flugbewegungen   1.608   1.686   1.403   1.331   1.293     697 Passagiere      72.552  82.229  79.702  77.192  67.067  29.119 G esam t: Flugbew egungen                              14.386  12.848  12.283  11.695  12.855   6.158 G esam t: Passagiere                                  509.271 479.865 529.882 549.477 584.495 240.069
43

Anlage 3 zur Frage 26 Genehmigte Flugplätze im Land Brandenburg Flugplatz                     Betreiber             Genehmigungsumfang Verkehrslandeplätze Verkehrslandeplatz       Flughafen Süd−Brandenburg     IFR Nichtpräzisionsanflug− Cottbus/Drewitz          Cottbus GmbH                  verfahren Flugplatz                     Flgz. bis 30.000 kg; 03197 Jänschwalde Ost         Hubschrauber;        Segelflgz.; Motorsegler; UL−Flgz.; Fall− schirmspr.; Ballone; Luft− schiffe; Flugmodelle Verkehrslandeplatz       Flugplatzbetreibergesell−     VFR Tag Eggesrsdorf              schaft Eggersdorf/Münche− Flgz. Bis 5.700 kg; Hub− berg mbH                      schrauber; Segelflugzeuge; Flugplatz Eggersdorf          Motorsegler; UL−Flgz.; Fall− 15374 Eggersdorf−Siedlung schirme; Ballone, Luftschiffe Tel.: 033432/72776 Verkehrslandeplatz       Flugplatzgesellschaft     Ei− VFR Tag/Nacht Eisenhüttenstadt         senhüttenstadt/               Flgz. Bis 8.000 kg (freige− Frankfurt(Oder) mbH           geben bis 5.700 kg); Hub− Dorfstr. 45a                  schrauber; Segelflugzeuge; 15890 Pohlitz                 Motorsegler; Ballone; Luft− Tel.: 033653/46515            sportgeräte; Flugmodelle Fax.: 033653/46514 Verkehrslandeplatz       Air Field Fehrbellin GmbH     VFR Tag Ruppiner Land            Flugplatzstr. 3               Flgz. Bis 5.700 kg; Hub− (Fehrbellin)             16833 Fehrbellin              schrauber; Motorsegler; UL; Tel.: 033932/72412            Fallschirme; Ballone Verkehrslandeplatz       Tower Finow GmbH              VFR Tag/Nacht Finow                    Am Flugplatz 1                Flgz. Bis 14.000 kg; 16227 Eberswalde              Hubschrauber; Motorsegler; Tel.: 03334/64112             UL; Ballone; Luftschiffe Fax.: 03334/64572
44

Verkehrslandeplatz Flugplatzbetriebsgesell−  Abnahme offen, Betrieb auf Fürstenwalde       schaft Fürstenwalde mbH   Grundlage DDR − Geneh− migung (Klage) Verkehrslandeplatz Flughafen Kyritz Betriebs VFR Tag/Nacht Kyritz             GmbH                      Flgz. Bis 5.700 kg; Hub− 16866 Heinrichsfelde      schrauber; Segelflugzeuge; Tel.: 033971/52237        Motorsegler; Luftschiffe; UL; Fallschirme; Ballone Verkehrslandeplatz Flugplatz Nauen Betriebs VFR Tag Nauen              GmbH                      Flgz. Bis 5.700 kg; Hub− Brieselanger Straße       schrauber; Motorsegler; UL; 14641 Nauen               Fallschirme Tel.: 03321/450166 Fax.: 03321/453590 Verkehrslandeplatz Flugplatzgesellschaft     VFR Tag Neuhausen          Cottbus/Neuhausen mbH     Flgz. Bis 5.700 kg; Motor− Neumarkt 5                segler; Segelflugzeuge; UL; 03046 Cottbus             Fallschirme; Luftsportgeräte; Ballone; Luftschiffe Verkehrslandeplatz Fläming Air GmbH          VFR Tag/Nacht Oehna              Flugplatz Oehna           Flgz bis 5.700 kg; 14913 Zellendorf          Hubschrauber Motorsegler; Tel.: 033742/60330        Segelflugzeuge; UL; Fall− schirme; Ballone; Luftschiffe Verkehrslandeplatz Flugplatzgesellschaft     VFR Tag/Nacht Schönhagen         Schönhagen mbH            Flgz. Bis 5.700 kg (12/30 nur Flugplatz                 bis 2.000kg) 14959 Schönhagen          Hubschrauber; Motorsegler; Tel.: 033731/30521        Segelflugzeuge; UL; Fall− Fax.: 033731/30525        schirme
45

Verkehrslandeplatz Flugplatzbetreibergesell−    VFR Tag/Nacht Strausberg         schaft Strausberg mbH        Flgz bis 8.000kg; Hub− Stadtwerke        Strausberg schrauber;       Motorsegler; GmbH                         Segelflugzeuge; UL; Ballone; Pf 1150                      Luftschiffe 15331 Strausberg Tel.: 03341/345113 Fax.: 03341/345410 Verkehrslandeplatz Flugplatzbetriebsgesell−     VFR Tag/Nacht Welzow             schaft Welzow mbH            Flgz. Bis 14.000kg; 03119 Welzow                 Hubschrauber; Motorsegler; Tel.: 035751/13833           UL; Luftschiffe; Ballone; Fax.: 035751/20699           Flugmodelle Sonderlandeplätze Sonderlandeplatz   Flugplatz Bienenfarm         VFR Tag Bienenfarm         GmbH                         Flgz. Bis 5.700 kg; Hub− Flugplatz Bienenfarm         schrauber; Motorsegler Se− 14641 Paulinenaue            gelflugzeuge;     UL;    Fall− Tel.: 033237/89022           schirme Sonderlandeplatz   Flugplatz      Brandenburg− VFR Tag Brandenburg/Briest Briest Verwaltungs GmbH      Flgz. bis 14.000 kg (freigegeben bis 5.700 kg MTOM) Sonderlandeplatz   CargoLifter                  Sonderlandeplatz geschlos− Brand                                           sen (Luftaufsichtsverfügung) Sonderlandeplatz   Fliegerclub Brandenburg e. VFR Tag Brandenburg/       V.                           Flugz. bis 2.000 kg; Motor− Mühlenfeld         Mötzower Landstraße 120      segler;       Segelflugzeuge; 14776 Brandenburg            Fallschirme;    Hängegleiter; Tel.: 03381/521127           Gleitsegel Sonderlandeplatz   Fliegerclub Bronkow e. V.    VFR Tag Bronkow            Flugplatz Bronkow            Flugz. Bis 5.700 kg (freige− 03229 Luckaitz               geben bis 2.000 kg); Hub− Tel.: 035434 241             schrauber;       Motorsegler; Segelflugzeuge; UL; Fall− schirme Ballone; Flugmo− delle Sonderlandeplatz   Herr Bergholz                Eigenes     UL,     ansässige Crussow                                         Vereine Sonderlandeplatz   Udo Dähn                     VFR Tag Dedelow            Tel.: 039853/64720           Flgz. bis 2.000 kg MTOM, Fax: 039853/64722            Motorsegler,        Segelflug− zeuge; UL; Flugmodelle Sonderlandeplatz   UESA GmbH                    VFR Tag Falkenberg         Doberluger Str. 52/53        Flgz. bis 12.000 kg; 04938 Uebigau                Hubschrauber; Motorsegler; Tel.: 035365/490             Segelflugzeuge; Fax.: 035365/8217            Segelflugzeuge, UL
46

Sonderlandeplatz Flugsportverein               VFR Tag Finsterwalde     "Otto Lilienthal" e. V.       Flugz. bis 5.700 kg; Hub− Kirchhainer Str.              schrauber;        Motorsegler; 03238 Finsterwalde            Segelflugzeuge Tel.: 03531 2285 Sonderlandeplatz Wirtschaftsförderungsge−      VFR Tag Finsterwalde/    sellschaft Finsterwalde mbH   Flgz. Bis 14.000 kg; Schacksdorf      Turmstr. 5                    Hubschrauber; Motorsegler; 03238 Massen                  Segelflugzeuge; Tel.: 03531/78222             UL; Luftschiffe; Ballone Fax.: 03531/70227 Sonderlandeplatz Ralf Bernsee                  VFR Tag Frankfurt/Oder   Lebuser Straße 13d            UL Gronenfelde      15234 Frankfurt/Oder Tel.: 0335/6802745 Fax: 0335/5571760 Sonderlandeplatz Flugplatzbetriebsgesell−      VFR Tag; Teilgestattung Friedersdorf     schaft Friedersdorf mbH       Segelflug Genehmigt: Flugz. bis 5.700 kg Hubschrauber; Motorsegler; Segelflugzeuge; UL Sonderlandeplatz Fallschirmsportgemein−        VFR Tag Gransee          Schaft Gransee e. V.          Flugz. bis 5.700 kg; Fall− schirme Sonderlandeplatz Luftspotverein Gross−         VFR Tag Kleinkoschen     Koschen e. V.                 UL Sonderlandeplatz Flugplatzbetreibergesell−     VFR Tag Locktow          Schaft Locktow                UL Sonderlandeplatz Flugplatzgemeinschaft         VFR Tag Lüsse            Lüsse e. V.                   Flgz. Bis 2.000 kg Am Flugplatz                  Motorsegler; Segelflugzeuge 14806 Lüsse                   PPR Tel.: 033841/31339 Sonderlandeplatz Airport     Berlin−Neuharden− Bezugscode 2B Neuhardenberg    berg GmbH                     (Bezugsstartbahnlänge Oderbruchstraße 24a           1200 m/Flgz. mit max. 15320 Neuhardenberg           Spannweite 24 m) − freige− Tel.: 0334376/60480           geben für Flugzeuge bis Fax: 0334376/604821           5.700 kg MTOM Motorsegler,        Segelflug− zeuge, UL; Luftschiffe, Bal− lone VFR −Tag Sonderlandeplatz Natur−und Luftsport−          VFR −Tag Plötzin          Freunde e. V.                 UL; Fallschirme; Hängeglei− ter
47

Sonderlandeplatz  Fliegerclub "Wolf Hirth"      VFR Tag Pritzwalk−        Pritzwalk e. V.               Flgz. Bis 2.000 kg Sommersberg       Postfach 60                   Motorsegler;        Segelflug− 16921 Pritzwalk               zeuge; UL; Fallschirme; Tel.: 03395/302686            Flugmodelle Sonderlandeplatz  Flugplatz Reinsdorf           VFR Tag/Nacht Reinsdorf         Betriebs GmbH                 Flgz. Bis 5.700 kg, Hub− Willi−Budich−Str. 8           schrauber;       Motorsegler; 06926 Holzdorf                Segelflugzeuge; UL; Fall− Tel.: 033746/6980             schirme Fax.: 033746/6983 Sonderlandeplatz  Flugplatzbetriebsgesell−      VFR Tag Saarmund          Schaft Saarmund mbH           Flgz. Bis 2.000 kg; Motor− Flugplatz                     segler; Segelflugzeuge; 14552 Saarmund                UL; Ballone; Modellflgz. Tel.: 033200/85262 Sonderlandeplatz  Flugplatzbetriebsgesell−      VFR Tag Schwarzheide      Schaft Schwarzheide/          Flgz. Bis 5.700 kg; Hub− Schipkau mbH                  schrauber;       Motorsegler; Ruhlander Str. 2              Segelflugzeuge; UL; Fall− 01987 Schwarzheide            schirme; Ballone; Luftschiffe; Flugleitung                   Flugmodelle Tel.: 035752/80670 Fax.: 035752/80672 Sonderlandeplatz  Flugplatz Segeletz GbR        VFR Tag Segeletz          Bahnhofstraße 67              Flgz. Bis 2.000 kg; 16845 Neustadt/Dosse          Motorsegler;        Segelflug− Tel.: 033970/52238            zeuge; UL; Ballone PPR Sonderlandeplatz  Flugsportverein      Siewisch VFR Tag Siewisch          e.V.                          UL; Flugmodelle Sonderlandeplatz  Luftsportclub Havelland e. V. VFR Tag Stechow/Ferchesar Jens Krauße                   Flgz. Bis 2.000 kg; Dr. S.−Allende −Str. 16       Motorsegler; Segelflugzeuge 14712 Rathenow                (nur F −Schlepp); UL Tel.: 03385/504544            PPR Sonderlandeplatz  Flugplatz     Verwaltungsge− VFR Tag Templin/          sellschaft                    PPR Groß Dölln        Groß Dölln AG                 Flgz. bis 5.700 kg; Motor− Döllnkrug 2                   segler; Hubschrauber 17268 Groß Dölln Tel./Fax: 039882/60714 Sonderlandeplatz  Flugplatz         Werneuchen VFR Tag Werneuchen        GmbH                          Flgz. Bis 5.700 kg; Hub− Freienwalder Chaussee 20      schrauber; Motorsegler; UL 16356 Werneuchen              PPR Tel.: 033398/824−0 Fax.: 033398/106
48

Sonderlandeplatz     Flugsportverein "Otto Lilien− VFR −Tag Stölln/Rhinow        thal" Stölln/Rhinow e. V.     Flugzeuge bis 2.000 kg; Segelflugzeuge; Motorseg− ler; UL; Hängegleiter; Gleit− segel Segelfluggelände Perleberg            Aeroclub Perleberg            Segelflugzeuge; Flgz. −im F− e. V.                         Schlepp; Motorsegler; UL Pritzwalk−Kammer−    Flugplatzgemeinschaft         Segelflugzeuge; Flgz. im F− mark                 Pritzwalk−Kammermark          Schlepp; UL; Fallschirme; GbR                           Flugmodelle Wittstock/Berlinchen Fliegerclub Wittstock         Segelflugzeuge; Flgz. im F− e. V.                         Schlepp; Motorsegler Neuruppin            Interessengemeinschaft        Segelflugzeuge; Flgz. im F− Segelfluggelände Neuruppin Schlepp; GbR
49

Zusammenstellung ab 1994                                                                                                          Anlage 4 zu Frage 29 Landeplatz                                     Ausbau und Erneuerung von Flugplätzen 1994       1995        1996       1997      1998        1999         2000        2001                     2002EUR Landesm. EFRE−M. Landesm. EFRE−M. Cottbus−Drewitz                        195.426     497.002   262.210    338.990     829.838      252.000     551.525 1.400.000        725.598       988.531 Dedelow                      56.970    174.897 Eisenhüttenstadt                                                        217.880                  811.160                               30.090 Fehrbellin                                                               12.772                              250.000    1.246.500     300.000        70.814 Finow                                1.217.525   1.466.672                           95.344 Kyritz                                   6.771                          514.765     656.905      187.795     584.035                    2.790 Lüsse                                   17.646                                       26.860       77.640      63.587 Neuhausen                               22.416                                      131.200 Oehna                       288.797    310.519       4.790     28.890   236.092     143.235       19.660                                4.008 Saarmund                                                                                                      44.800 Schönhagen                2.276.166    300.000      86.507   685.606    357.685 Strausberg                  107.500     81.250               171.300                             715.000     652.000    1.400.000      79.699       265.665 Welzow                                              39.798   253.300    195.328                  223.417      70.994 Summe:                    2.729.433 2.326.450    2.094.769 1.401.306 1.873.512    1.883.382    2.286.672 2.216.941      4.046.500   1.142.185     1.325.010 Richtlinie über die Gewährung von Zuwendungen für Ausbau− und Erneuerungsmaßnahmen (bis 2000) bzw. für Neubau, Ausbau−, Erneuerungs− und Erschließungsmaßnahmen (bis 2003) auf Flugplätzen im Land Brandenburg
50

Zur nächsten Seite