Dieses Dokument ist Teil der Anfrage „Abitur-Aufgaben im Fach Englisch im Jahr 2021 in Nordrhein-Westfalen

Für die Abschlussvorbereitung eignen sich Aufgaben aus den Vorjahren besonders gut. Allerdings weigern sich zahlreiche Bundesländer, die alten Aufgaben zur Verfügung stellen. Sie bleiben Verschlusssache! Einige Bundesländer verkaufen die Aufgaben sogar für kleines Geld an private Verlage, die sich mit dem Verkauf von Vorbereitungsheften eine goldene Nase verdienen.

Mit dieser Ungerechtigkeit muss Schluss sein: Prüfungsvorbereitung darf nicht vom Einkommen abhängig sein. Daher kämpfen wir mit unserer Kampagne „Verschlusssache Prüfung“ für die Veröffentlichung der Klausuren und machen jetzt öffentlichen Druck mit unserer Petition. Jetzt unterschreiben!

Diese Anfrage wurde als Teil der Kampagne „Verschlusssache Prüfung“ gestellt.

/ 60
PDF herunterladen
Ministerium für Schule und Bildung NRW                                         E LK NT 1 (GG) Seite 4 von 13 3    zeigt auf, wie der Gesprächsverlauf Hals Empörung, aber auch seine Resignation            4 widerspiegelt, z. B. durch • seine anfänglichen, das Gespräch dominierenden Monologpassagen, • seine provokanten Fragen, • seinen Rückzug aus dem Gespräch. 4    untersucht, wie Hals Emotionalität durch sprachliche Mittel unterstrichen wird,           4 z. B. durch • umgangssprachliche Ausdrucksweisen, • eine negativ wertende Wortwahl, • Wiederholungen, Aufzählungen und elliptische Satzstrukturen. 5    erfüllt ein weiteres aufgabenbezogenes Kriterium. (2) Teilaufgabe 3.1 (Evaluation: comment) Anforderungen                                                                          maximal erreichbare Punktzahl Der Prüfling 1    greift Hals negative Einschätzung der Auswirkungen von Technologisierung                  6 auf Individuum und Gesellschaft kritisch-wertend auf und geht z. B. ein auf • die Isolation des Einzelnen in der Gesellschaft, • den Mangel an Mitgefühl und Verantwortung füreinander sowie den wachsenden Narzissmus, • die Unfähigkeit zu zwischenmenschlicher Kommunikation und Interaktion, • den Verlust verbindlicher gesellschaftlicher Strukturen. 2    erörtert unter funktionalem Rückgriff auf unterrichtliches Wissen, inwiefern Hals         6 Einschätzung auf die gegenwärtigen Lebensumstände in einer globalisierten Welt übertragbar ist, z. B. mit Blick auf • gemeinsame Wertvorstellungen, • zwischenmenschliche Beziehungen und das eigene Selbstbild, • den Einfluss medial vermittelter Inhalte, • die Veränderung von Kommunikationsprozessen und ihre Folgen, • gesellschaftliches und politisches Engagement. 3    kommt auf Grundlage seiner Ausführungen zu einem begründeten und nachvoll-                2 ziehbaren Fazit, in dem er z. B. • die eigene Sichtweise pointiert zusammenfasst, • Hals Position abschließend bewertet. 4    erfüllt ein weiteres aufgabenbezogenes Kriterium. (2) Abiturprüfung 2021 – Nur für den Dienstgebrauch!
11

Ministerium für Schule und Bildung NRW                                         E LK NT 1 (GG) Seite 5 von 13 Teilaufgabe 3.2 (Evaluation: re-creation of text) Anforderungen                                                                         maximal erreichbare Punktzahl Der Prüfling 1    verfasst ein situations- und adressatengerechtes debate statement, in dem er             2 • die vorgegebenen Rahmenbedingungen berücksichtigt, • die Rollenvorgabe konsequent umsetzt, • seine Intention aufzeigt. 2    erläutert ausgehend von Neomans Zitat und unter Rückgriff auf unterrichtliches           8 Wissen kritisch-wertend die Relevanz dystopischer Literatur für die gegenwärtige Gesellschaft, z. B. • das Potenzial des Genres als uneingeschränkte Ausdrucksmöglichkeit von Zukunftsperspektiven, • die Realitätsnähe der dargestellten Zukunftsszenarien angesichts aktueller poli- tischer und gesellschaftlicher Tendenzen, • bereits eingetretene, in Dystopien aufgezeigte Ereignisse und Entwicklungen, • die Funktion dystopischer Fiktion als Korrektiv und Warnung. 3    schließt sein debate statement auf der Basis der vorausgegangenen Ausführungen,          4 z. B. mit • einer pointierten Zusammenfassung, • einem Rückbezug auf das Ausgangszitat, • einer persönlichen Wertung. 4    erfüllt ein weiteres aufgabenbezogenes Kriterium. (2) Abiturprüfung 2021 – Nur für den Dienstgebrauch!
12

Ministerium für Schule und Bildung NRW                                         E LK NT 1 (GG) Seite 6 von 13 b) Darstellungsleistung/sprachliche Leistung Das Referenzniveau des Gemeinsamen europäischen Referenzrahmens (GER) für die Darstellungsleistung/sprachliche Leistung ist im jeweiligen Lehrplan ausgewiesen. Kommunikative Textgestaltung Anforderungen                                                                          maximal erreichbare Punktzahl Der Prüfling 1   richtet seinen Text konsequent und explizit im Sinne der Aufgabenstellung auf die         6 Intention und den Adressaten aus. 2   beachtet die Textsortenmerkmale der jeweils geforderten Zieltextformate.                  4 3   erstellt einen sachgerecht strukturierten Text.                                           4 4   gestaltet seinen Text hinreichend ausführlich, aber ohne unnötige Wiederholungen          4 und Umständlichkeiten. 5   belegt seine Aussagen durch eine funktionale Verwendung von Verweisen und                 3 Zitaten. Ausdrucksvermögen/Verfügbarkeit sprachlicher Mittel Anforderungen                                                                          maximal erreichbare Punktzahl Der Prüfling 6   löst sich vom Wortlaut des Ausgangstextes und formuliert eigenständig.                    4 7   verwendet funktional einen sachlich wie stilistisch angemessenen und differenzierten      6 allgemeinen und thematischen Wortschatz. 8   verwendet funktional einen sachlich wie stilistisch angemessenen und differenzierten      4 Funktions- und Interpretationswortschatz. 9   verwendet einen variablen und dem jeweiligen Zieltextformat angemessenen Satzbau.         7 Sprachrichtigkeit Anforderungen                                                                          maximal erreichbare Punktzahl Der Prüfling beachtet die Normen der sprachlichen Korrektheit im Sinne einer gelingenden Kommunikation. 10 Wortschatz                                                                                  9 11 Grammatik                                                                                   8 12 Orthografie                                                                                 4 Abiturprüfung 2021 – Nur für den Dienstgebrauch!
13

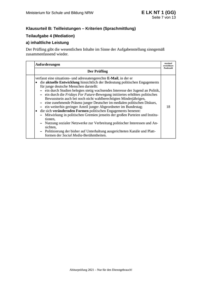
Ministerium für Schule und Bildung NRW                                         E LK NT 1 (GG) Seite 7 von 13 Klausurteil B: Teilleistungen – Kriterien (Sprachmittlung) Teilaufgabe 4 (Mediation) a) inhaltliche Leistung Der Prüfling gibt die wesentlichen Inhalte im Sinne der Aufgabenstellung sinngemäß zusammenfassend wieder. Anforderungen                                                                         maximal erreichbare Punktzahl Der Prüfling verfasst eine situations- und adressatengerechte E-Mail, in der er • die aktuelle Entwicklung hinsichtlich der Bedeutung politischen Engagements für junge deutsche Menschen darstellt: – ein durch Studien belegtes stetig wachsendes Interesse der Jugend an Politik, – ein durch die Fridays For Future-Bewegung initiiertes erhöhtes politisches Bewusstsein auch bei noch nicht wahlberechtigten Minderjährigen, – eine zunehmende Präsenz junger Deutscher im medialen politischen Diskurs, – ein weiterhin geringer Anteil junger Abgeordneter im Bundestag;                    18 • die sich verändernden Formen politischen Engagements benennt: – Mitwirkung in politischen Gremien jenseits der großen Parteien und Institu- tionen, – Nutzung sozialer Netzwerke zur Verbreitung politischer Interessen und An- sichten, – Politisierung der bisher auf Unterhaltung ausgerichteten Kanäle und Platt- formen der Social Media-Berühmtheiten. Abiturprüfung 2021 – Nur für den Dienstgebrauch!
14

Ministerium für Schule und Bildung NRW                                         E LK NT 1 (GG) Seite 8 von 13 b) Darstellungsleistung/sprachliche Leistung Die Bewertung erfolgt orientiert an den in den Kernlehrplänen ausgewiesenen Referenz- niveaus des Gemeinsamen europäischen Referenzrahmens (GER). Kommunikative Textgestaltung Anforderungen                                                                            maximal erreichbare Punktzahl Der Prüfling 1   richtet seinen Text konsequent und explizit auf die Intention und den/die Adressaten im Sinne der Aufgabenstellung aus. 2   berücksichtigt den situativen Kontext. 3   beachtet die Textsortenmerkmale des geforderten Zieltextformats.                            9 4   erstellt einen sachgerecht strukturierten Text. 5   gestaltet seinen Text hinreichend ausführlich, aber ohne unnötige Wiederholungen und Umständlichkeiten. Ausdrucksvermögen/Verfügen über sprachliche Mittel Anforderungen                                                                            maximal erreichbare Punktzahl Der Prüfling 6   löst sich vom Wortlaut des Ausgangstextes und formuliert eigenständig, ggf. unter Verwendung von Kompensationsstrategien. 7   verwendet funktional einen sachlich wie stilistisch angemessenen und differenzierten allgemeinen und thematischen Wortschatz.                                                    9 8   verwendet funktional einen sachlich wie stilistisch angemessenen und differenzierten Funktionswortschatz. 9   verwendet einen variablen und dem jeweiligen Zieltextformat angemessenen Satzbau. Sprachrichtigkeit Anforderungen                                                                            maximal erreichbare Punktzahl Der Prüfling beachtet die Normen der sprachlichen Korrektheit im Sinne einer gelingenden Kommunikation. 10 Wortschatz                                                                                    9 11 Grammatik 12 Orthografie Abiturprüfung 2021 – Nur für den Dienstgebrauch!
15

Ministerium für Schule und Bildung NRW                                                E LK NT 1 (GG) Seite 9 von 13 7.    Bewertungsbogen zur Prüfungsarbeit Name des Prüflings: ____________________________________ Kursbezeichnung: ____________ Schule: _____________________________________________ Klausurteil A: Teilleistungen – Kriterien (Schreiben/Lesen integriert) Teilaufgabe 1 Anforderungen                                                               Lösungsqualität Der Prüfling                              maximal erreichbare EK3      ZK       DK Punktzahl 1   beschreibt Hals Wahrnehmung …                                        4 2   benennt Hals Kritik …                                                4 3   führt die von …                                                      4 Summe 1. Teilaufgabe                                                12 Teilaufgabe 2 Anforderungen                                                               Lösungsqualität Der Prüfling                              maximal erreichbare  EK       ZK       DK Punktzahl 1   arbeitet heraus, dass …                                              4 2   analysiert, wie die …                                                4 3   zeigt auf, wie …                                                     4 4   untersucht, wie Hals …                                               4 5   erfüllt ein weiteres aufgabenbezogenes Kriterium: (2) …………………………………………………………….. …………………………………………………………….. Summe 2. Teilaufgabe                                                16 Teilaufgabe 3.1 Anforderungen                                                               Lösungsqualität Der Prüfling                              maximal erreichbare EK       ZK       DK Punktzahl 1   greift Hals negative …                                               6 2   erörtert unter funktionalem …                                        6 3   kommt auf Grundlage …                                                2 4   erfüllt ein weiteres aufgabenbezogenes Kriterium: (2) …………………………………………………………….. …………………………………………………………….. Summe Teilaufgabe 3.1                                               14 Summe der 1., 2. und Teilaufgabe 3.1                                42 3  EK = Erstkorrektur; ZK = Zweitkorrektur; DK = Drittkorrektur Abiturprüfung 2021 – Nur für den Dienstgebrauch!
16

Ministerium für Schule und Bildung NRW                                                E LK NT 1 (GG) Seite 10 von 13 Teilaufgabe 3.2 Anforderungen                                                               Lösungsqualität Der Prüfling                              maximal erreichbare EK       ZK       DK Punktzahl 1   verfasst ein situations- …                                           2 2   erläutert ausgehend von …                                            8 3   schließt sein debate …                                               4 4   erfüllt ein weiteres aufgabenbezogenes Kriterium: (2) …………………………………………………………….. …………………………………………………………….. Summe Teilaufgabe 3.2                                               14 Summe der 1., 2. und Teilaufgabe 3.2                                42 Darstellungsleistung/sprachliche Leistung Kommunikative Textgestaltung Anforderungen                                                               Lösungsqualität Der Prüfling                              maximal erreichbare  EK       ZK       DK Punktzahl 1   richtet seinen Text …                                                6 2   beachtet die Textsortenmerkmale …                                    4 3   erstellt einen sachgerecht …                                         4 4   gestaltet seinen Text …                                              4 5   belegt seine Aussagen …                                              3 Ausdrucksvermögen/Verfügbarkeit sprachlicher Mittel Anforderungen                                                               Lösungsqualität Der Prüfling                              maximal erreichbare EK       ZK       DK Punktzahl 6   löst sich vom …                                                      4 7   verwendet funktional einen …                                         6 8   verwendet funktional einen …                                         4 9   verwendet einen variablen …                                          7 Abiturprüfung 2021 – Nur für den Dienstgebrauch!
17

Ministerium für Schule und Bildung NRW                                                E LK NT 1 (GG) Seite 11 von 13 Sprachrichtigkeit Anforderungen                                                               Lösungsqualität Der Prüfling                              maximal erreichbare  EK       ZK       DK Punktzahl beachtet die Normen … 10   Wortschatz                                                           9 11   Grammatik                                                            8 12   Orthografie                                                          4 Summe Darstellungsleistung/sprachliche Leistung                     63 Summe insgesamt für Klausurteil A                                  105 Klausurteil B: Teilleistungen – Kriterien (Sprachmittlung) Teilaufgabe 4 Anforderungen                                                               Lösungsqualität Der Prüfling                              maximal erreichbare  EK       ZK       DK Punktzahl verfasst eine situations- …                                         18 Summe 4. Teilaufgabe                                                18 Darstellungsleistung/sprachliche Leistung Kommunikative Textgestaltung Anforderungen                                                               Lösungsqualität Der Prüfling                              maximal erreichbare EK       ZK       DK Punktzahl 1   richtet seinen Text … 2   berücksichtigt den situativen … 3   beachtet die Textsortenmerkmale …                                    9 4   erstellt einen sachgerecht … 5   gestaltet seinen Text … Abiturprüfung 2021 – Nur für den Dienstgebrauch!
18

Ministerium für Schule und Bildung NRW                                               E LK NT 1 (GG) Seite 12 von 13 Ausdrucksvermögen/Verfügbarkeit sprachlicher Mittel Anforderungen                                                              Lösungsqualität Der Prüfling                               maximal erreichbare  EK       ZK       DK Punktzahl 6   löst sich vom … 7   verwendet funktional einen … 9 8   verwendet funktional einen … 9   verwendet einen variablen … Sprachrichtigkeit Anforderungen                                                              Lösungsqualität Der Prüfling                               maximal erreichbare EK       ZK       DK Punktzahl beachtet die Normen … 10   Wortschatz 9 11   Grammatik 12   Orthografie Summe Darstellungsleistung/sprachliche Leistung                    27 Summe insgesamt für Klausurteil B                                  45 Summe insgesamt (Klausurteile A und B)                            150 aus der Punktsumme resultierende Note gemäß nach- folgender Tabelle Note ggf. unter Absenkung um bis zu zwei Notenpunkte gemäß § 13 Abs. 2 APO-GOSt Paraphe Berechnung der Endnote nach Anlage 4 der Abiturverfügung auf der Grundlage von § 34 APO-GOSt Die Klausur wird abschließend mit der Note ________________________ (____ Punkte) bewertet. Unterschrift, Datum: Abiturprüfung 2021 – Nur für den Dienstgebrauch!
19

Ministerium für Schule und Bildung NRW                                      E LK NT 1 (GG) Seite 13 von 13 Grundsätze für die Bewertung (Notenfindung) Für die Zuordnung der Notenstufen zu den Punktzahlen ist folgende Tabelle zu verwenden: Note                          Punkte            Erreichte Punktzahl sehr gut plus                    15                    150 – 143 sehr gut                         14                    142 – 135 sehr gut minus                   13                    134 – 128 gut plus                         12                    127 – 120 gut                              11                    119 – 113 gut minus                        10                    112 – 105 befriedigend plus                 9                     104 – 98 befriedigend                      8                      97 – 90 befriedigend minus                7                      89 – 83 ausreichend plus                  6                      82 – 75 ausreichend                       5                      74 – 68 ausreichend minus                 4                      67 – 60 mangelhaft plus                   3                      59 – 50 mangelhaft                        2                      49 – 41 mangelhaft minus                  1                      40 – 30 ungenügend                        0                       29 – 0 Abiturprüfung 2021 – Nur für den Dienstgebrauch!
20

Zur nächsten Seite