Öffentliche Vergabeverfahren - 2

/ 2
PDF herunterladen
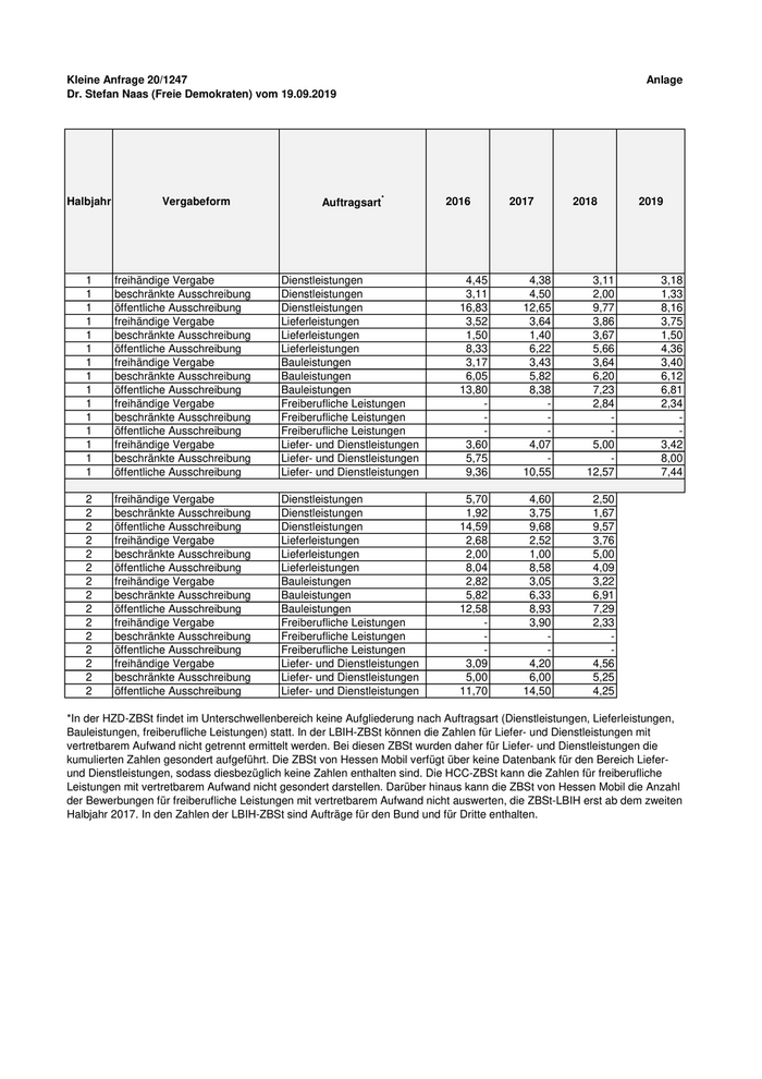
20. Wahlperiode                                                                          Drucksache 20/1247 HESSISCHER LANDTAG                                                                                  13. 02. 2020 Kleine Anfrage Dr. Stefan Naas (Freie Demokraten) vom 19.09.2019 Öffentliche Vergabeverfahren – Teil 2 und Antwort Minister der Finanzen Vorbemerkung Minister der Finanzen: Der Beantwortung der Kleinen Anfrage wurden die den zentralen Beschaffungsstellen des Landes vorliegenden Daten zugrunde gelegt. Neben dem Hessischen Competence Center für Neue Ver- waltungssteuerung sind für spezielle Bedarfe die Hessische Zentrale für Datenverarbeitung (HZD), das Hessische Polizeipräsidium für Technik (HPT), der Landesbetrieb Bau und Immobi- lien Hessen (LBIH) und Hessen Mobil zentrale Beschaffungsstellen (ZBSt) des Landes. Eine Ab- frage der öffentlichen Vergabeverfahren aller hessischen Dienststellen, die alle grundsätzlich Bedarfsstellen sein können, ist im Rahmen der Beantwortung einer Kleinen Anfrage mit vertret- barem Aufwand nicht möglich. Bestimmte Ausschreibungen können durch die Bedarfsstellen jedoch ohne Beteiligung der ZBSt durchgeführt werden. Diese sind ggf. nicht in der Auswertung zur Beantwortung der Kleinen Anfrage erfasst. Aufgrund der vom Fragesteller angefragten Vergabeform „freihändige Vergabe“ werden neben Ausschreibungen die den ZBSt bekannten freihändigen Vergaben berücksichtigt. Die Auswertung beschränkt sich außerdem auf die Halbjahre von 2016 bis zum ersten Halbjahr 2019, da das zweite Halbjahr 2019 im Zeitpunkt der Kleinen Anfrage noch nicht abgelaufen war. Dabei werden die ab Januar 2016 eingereichten Bedarfsmeldungen zugrunde gelegt. Fälle, deren Bearbeitung bereits in 2015 begonnen hat, werden nicht erfasst. Darüber hinaus ist zu beachten, dass für die Zeiträume ab dem 01.01.2018 höhere EU-Schwellenwerte gelten, als in den Jahren 2016 und 2017. Diese Vorbemerkung vorangestellt, beantworte ich die Kleine Anfrage im Einvernehmen mit dem Minister für Wirtschaft, Energie, Verkehr und Wohnen und dem Minister des Innern und für Sport wie folgt: Frage 1.     Wie viele Bewerbungen gab es seit 2016 durchschnittlich pro Ausschreibung öffentlicher Auftrag- geber des Landes Hessen im Bereich unterhalb der EU-Schwellenwerte? (Bitte aufgliedern nach Halbjahren, Auftragsart (Dienstleistungen, Lieferleistungen, Bauleistungen, freiberufliche Leistun- gen) und Vergabeform (öffentliche Ausschreibung, beschränkte Ausschreibung, freihändige Vergabe) aufgliedern) Als „Bewerbungen“ bzw. Bewerber werden Unternehmen verstanden, die sich im Rahmen von Teilnahmewettbewerben/Interessenbekundungsverfahren für die Vergabeunterlagen interessieren, die sich bei öffentlichen Ausschreibungen die Unterlagen herunterladen oder von Vergabestellen aufgefordert werden, ein Angebot abzugeben. In der HZD-ZBSt und der HPT-ZBSt werden die hiesig erfragten Daten in der jeweils ausgewerteten Datenbank nicht erfasst. Deshalb wurden die „Bewerbungen“ dieser ZBSt bei der Durchschnittsberechnung nicht berücksichtigt. Die durchschnittlichen Bewerbungen pro Ausschreibung ergeben sich aus der beigefügten Anlage. Wiesbaden, 5. Februar 2020 Dr. Thomas Schäfer Anlagen Eingegangen am 13. Februar 2020 · Bearbeitet am 13. Februar 2020 · Ausgegeben am 17. Februar 2020 Herstellung: Kanzlei des Hessischen Landtags · Postfach 3240 · 65022 Wiesbaden · www.Hessischer-Landtag.de
1

Kleine Anfrage 20/1247                                                                                                 Anlage Dr. Stefan Naas (Freie Demokraten) vom 19.09.2019 * Halbjahr             Vergabeform                      Auftragsart             2016         2017         2018         2019 1     freihändige Vergabe               Dienstleistungen                     4,45           4,38         3,11        3,18 1     beschränkte Ausschreibung         Dienstleistungen                     3,11           4,50         2,00        1,33 1     öffentliche Ausschreibung         Dienstleistungen                    16,83         12,65          9,77        8,16 1     freihändige Vergabe               Lieferleistungen                     3,52           3,64         3,86        3,75 1     beschränkte Ausschreibung         Lieferleistungen                     1,50           1,40         3,67        1,50 1     öffentliche Ausschreibung         Lieferleistungen                     8,33           6,22         5,66        4,36 1     freihändige Vergabe               Bauleistungen                        3,17           3,43         3,64        3,40 1     beschränkte Ausschreibung         Bauleistungen                        6,05           5,82         6,20        6,12 1     öffentliche Ausschreibung         Bauleistungen                       13,80           8,38         7,23        6,81 1     freihändige Vergabe               Freiberufliche Leistungen                -             -         2,84        2,34 1     beschränkte Ausschreibung         Freiberufliche Leistungen                -             -            -           - 1     öffentliche Ausschreibung         Freiberufliche Leistungen                -             -            -           - 1     freihändige Vergabe               Liefer- und Dienstleistungen         3,60           4,07         5,00        3,42 1     beschränkte Ausschreibung         Liefer- und Dienstleistungen         5,75              -            -        8,00 1     öffentliche Ausschreibung         Liefer- und Dienstleistungen         9,36         10,55        12,57         7,44 2     freihändige Vergabe               Dienstleistungen                     5,70           4,60         2,50 2     beschränkte Ausschreibung         Dienstleistungen                     1,92           3,75         1,67 2     öffentliche Ausschreibung         Dienstleistungen                    14,59           9,68         9,57 2     freihändige Vergabe               Lieferleistungen                     2,68           2,52         3,76 2     beschränkte Ausschreibung         Lieferleistungen                     2,00           1,00         5,00 2     öffentliche Ausschreibung         Lieferleistungen                     8,04           8,58         4,09 2     freihändige Vergabe               Bauleistungen                        2,82           3,05         3,22 2     beschränkte Ausschreibung         Bauleistungen                        5,82           6,33         6,91 2     öffentliche Ausschreibung         Bauleistungen                       12,58           8,93         7,29 2     freihändige Vergabe               Freiberufliche Leistungen                -          3,90         2,33 2     beschränkte Ausschreibung         Freiberufliche Leistungen                -             -            - 2     öffentliche Ausschreibung         Freiberufliche Leistungen                -             -            - 2     freihändige Vergabe               Liefer- und Dienstleistungen         3,09           4,20         4,56 2     beschränkte Ausschreibung         Liefer- und Dienstleistungen         5,00           6,00         5,25 2     öffentliche Ausschreibung         Liefer- und Dienstleistungen        11,70         14,50          4,25 *In der HZD-ZBSt findet im Unterschwellenbereich keine Aufgliederung nach Auftragsart (Dienstleistungen, Lieferleistungen, Bauleistungen, freiberufliche Leistungen) statt. In der LBIH-ZBSt können die Zahlen für Liefer- und Dienstleistungen mit vertretbarem Aufwand nicht getrennt ermittelt werden. Bei diesen ZBSt wurden daher für Liefer- und Dienstleistungen die kumulierten Zahlen gesondert aufgeführt. Die ZBSt von Hessen Mobil verfügt über keine Datenbank für den Bereich Liefer- und Dienstleistungen, sodass diesbezüglich keine Zahlen enthalten sind. Die HCC-ZBSt kann die Zahlen für freiberufliche Leistungen mit vertretbarem Aufwand nicht gesondert darstellen. Darüber hinaus kann die ZBSt von Hessen Mobil die Anzahl der Bewerbungen für freiberufliche Leistungen mit vertretbarem Aufwand nicht auswerten, die ZBSt-LBIH erst ab dem zweiten Halbjahr 2017. In den Zahlen der LBIH-ZBSt sind Aufträge für den Bund und für Dritte enthalten.
2