Verteilung von EU-Mitteln im Landkreis Waldeck-Frankenberg

/ 13
PDF herunterladen
20. Wahlperiode                                                                    Drucksache 20/273 HESSISCHER LANDTAG                                                                          06. 05. 2019 Kleine Anfrage Dr. Daniela Sommer (SPD) vom 28.02.2019 Verteilung von EU-Mitteln und Bundesmitteln im Landkreis Waldeck-Frankenberg und Antwort Ministerin für Bundes- und Europaangelegenheiten und Bevollmächtigten des Landes Hessen beim Bund Vorbemerkung Ministerin für Bundes- und Europaangelegenheiten und Bevollmächtigten des Landes Hessen beim Bund: Es wird darauf hingewiesen, dass zur Beantwortung der Kleinen Anfrage nur geförderte Maß- nahmen im Bereich der dezentral, in den Hessischen Ministerien verwalteten EU-Strukturfonds (sowie den hierzu erforderlichen Landes- und Bundesmitteln zur Kofinanzierung) im Zeitraum 2014 bis 2018 aufgeführt werden: des Europäischen Fonds für die regionale Entwicklung (EFRE), des Europäischen Landwirtschaftsfonds für die Entwicklung des ländlichen Raums (ELER), des Europäischen Garantiefonds für die Landwirtschaft (EGFL) und des Europäischen Sozialfonds (ESF). Darüber hinausgehende, in anderen Förderprogrammen aus rein nationalen oder supranationalen Mitteln gewährte Förderungen sind nicht enthalten. Bei der Beantwortung der Fragen in Bezug auf EFRE wurden die Daten zum IWB-Programm Hessen EFRE 2014 bis 2020 des WIBank Infoportals als Grundlage genommen. Zu den Sum- men ist anzumerken, dass es angesichts der zwei Jahre nachlaufenden Förderperiode 2007 bis 2013 (bzw. drei Jahre: Förderperiode 2014 bis 2020) höhere Zahlungen aus EU-Mitteln seit 2014 gegeben haben kann. Die Antwort bezieht sich nur auf Mittel, die aus der Förderperiode 2014 bis 2020 stammen. Für einige Vorhaben kann der Fall entstehen, dass die Summe aus den bewilligten kommunalen Mitteln und den bewilligten EFRE-Mitteln einen höheren Betrag ergibt als jener der förderfähigen Gesamtausgaben. Dies ist damit zu erklären, dass kommunale Mittel zusätzlich auch zur Deckung der nicht förderfähigen Ausgaben eingesetzt werden. Zu den Förderungen im Bereich Landwirtschaft ist festzuhalten: Die Direktzahlungen aus dem EGFL umfassen überwiegend die jährlich gezahlte sog. Betriebsprämie und darüber hinaus sek- torale Stützungsprogramme (z. B. Obst/Gemüse, Wein) und bestehen zu 100 % aus Mitteln der Europäischen Union. Die Mittel des ELER umfassen verschiedene Fördermaßnahmen und wer- den in der Regel zu 50 % (z. T. zu 25 %) aus nationalen Mitteln kofinanziert. Die ELER-Förderung wird in Hessen über den „Entwicklungsplan für den ländlichen Raum 2014-2020“ (EPLR) umgesetzt und unterteilt sich in investive Projektförderungen (z. B. das Einzelbetriebliche Förderprogramm Landwirtschaft (Agrarinvestitionsförderprogramm, Förde- rung von Investitionen zur Diversifizierung), die Förderung der Dorf- und Regionalentwicklung (einschließlich LEADER), die Förderung des Breitbandausbaus im ländlichen Raum, die Förde- rung der Flurneuordnung, Förderungen im Forstbereich) sowie Flächenfördermaßnahmen (z. B. die Förderung der Ausgleichszulage für die Bewirtschaftung von Flächen in von Natur aus be- nachteiligten Gebieten (AGZ) oder die Förderung für die Teilnahme am Hessischen Programm für Agrarumwelt- und Landschaftspflege-Maßnahmen (HALM)). Die nationale Kofinanzierung kann sich je nach Maßnahme aus Bundes-, Landes- und kommu- nalen Mitteln zusammensetzen. Die Bundesmittel werden für eine Vielzahl von Fördermaßnah- men im Rahmen der Gemeinschaftsaufgabe zur Verbesserung der Agrarstruktur und des Küs- tenschutzes (GAK) gewährt. Die GAK-Mittel setzen sich zu 60 % aus Bundes- und zu 40 % aus Landesmitteln zusammen. Diese Mittel werden in Abhängigkeit einzelner Fördermaßnahmen entweder ausschließlich oder als nationale Kofinanzierung der ELER-Mittel eingesetzt. Die jeweilige Förderquote ist in den verschiedenen Fördermaßnahmen unterschiedlich. In den Flächenförderungen (z. B. in der Ausgleichszulage und in einem Großteil der Förderung von Eingegangen am 6. Mai 2019 · Bearbeitet am 6. Mai 2019 · Ausgegeben am 9. Mai 2019 Herstellung: Kanzlei des Hessischen Landtags · Postfach 3240 · 65022 Wiesbaden · www.Hessischer-Landtag.de
1

2                                  Hessischer Landtag · 20. Wahlperiode · Drucksache 20/273 Agrarumweltmaßnahmen) wird ein Wert je Hektar gewährt, in den Bereichen der investiven Förderung ein Fördersatz von in der Regel 20 % bis 40 % der förderfähigen Projektkosten. Diese Vorbemerkung vorangestellt, beantworte ich die Kleine Anfrage im Einvernehmen mit dem Hessischen Minister für Wirtschaft, Energie, Verkehr und Wohnen, dem Hessischen Mi- nister für Soziales und Integration und der Hessischen Ministerin für Umwelt, Klimaschutz, Landwirtschaft und Verbraucherschutz wie folgt: Frage 1.   Für welche Projekte, in welcher Höhe und mit welcher Förderquote flossen EU-Mittel seit Be- ginn der Förderperiode 2014 in den Kreis Waldeck-Frankenberg? Frage 2.   a) Welche Projekte wurden in welcher Höhe und mit welcher Förderquote im Landkreis Wal- deck-Frankenberg bezuschusst? b) Wie sah die Komplementärfinanzierung durch das Land, den Kreis und die Stadt/Gemeinde aus? Frage 3.   Welche Bundesmittel flossen seit 2014 mit welcher Förderquote, für welche Projekte in den Landkreis Waldeck-Frankenberg und wie sieht die Komplementärfinanzierung aus? Die Fragen 1 bis 3 werden aufgrund des Sachzusammenhangs gemeinsam beantwortet. Europäischer Fonds für die regionale Entwicklung (EFRE) In der aktuellen Förderperiode wurde bisher 8 Projekten aus dem Landkreis Waldeck- Frankenberg eine Förderung mit EFRE-Mitteln in Höhe von insgesamt 5.644.657,00 € zuge- sagt. Die einzelnen Projekte inkl. der jeweiligen Förderquote sowie die Angaben zu Komple- mentärfinanzierungen können der in Anlage 1 beigefügten Übersicht entnommen werden. Europäischer Landwirtschaftsfonds für die Entwicklung des ländlichen Raums (ELER) und Europäischer Garantiefonds für die Landwirtschaft (EGFL) Aus Datenschutzgründen sowie wegen der in der Regel hohen Fallzahlen bei einzelnen Maß- nahmen (z. B. EU-Direktzahlungen des EGLF mit jährlich bis zu 20.000 Antragstellern, Aus- gleichszulage für benachteiligte Gebiete mit bis zu 10.000 Antragstellern) beschränkt sich die Beantwortung der Fragen auf die Darstellung der Ergebnisse in den einzelnen Fördermaßnah- men auf Ebene der Kommune und kann nicht auf Einzelvorhaben heruntergebrochen werden. Aus der in Anlage 2 beigefügten Übersicht geht hervor, in welcher Höhe EU-Mittel in den je- weiligen Fördermaßnahmen in der laufenden Förderperiode 2014 bis 2020 in den Kommunen des Landkreises Waldeck-Frankenberg bis zum 31. Dezember 2018 ausgezahlt wurden. Bundesmittel werden für eine Vielzahl von Fördermaßnahmen im Rahmen der Gemeinschafts- aufgabe zur Verbesserung der Agrarstruktur und des Küstenschutzes (GAK) gewährt. Die GAK-Mittel setzen sich zu 60 % aus Bundes- und zu 40 % aus Landesmitteln zusammen. Unter Bezug auf die datenschutzrechtliche Problematik sind die Bundesmittel auf Ebene der Kommu- nen als Summe in den verschiedenen Fördermaßnahmen aufgeführt. Europäischer Sozialfonds (ESF) Mit Stand 21.03.2019 wurden dem Landkreis Waldeck-Frankenberg ESF-Mittel in Höhe von 1.901.315,20 € bewilligt. Die Förderquote bemisst sich als Quotient aus den bewilligten ESF-Mitteln und den förderfähigen Gesamtkosten und liegt bei 41,4 %. Die bewilligten Lan- desmittel aus ESF-Programmen betragen insgesamt 829.539,96 €. Die kommunale Kofinanzie- rung liegt insgesamt bei 1.051.366,85 €, die Kofinanzierung aus Bundesmitteln bei insgesamt 262.800,00 €. Informationen, wie sich die Mittel auf Städte/Gemeinden bzw. den Landkreis verteilen und wel- che einzelnen Projekte gefördert wurden, können der in Anlage 3 beigefügten Übersicht ent- nommen werden. Frage 4.   Wie hoch sind die zugesagten und am 31.12.2018 noch nicht abgerufenen Mittel getrennt nach Stadt bzw. Gemeinde und Projekt? Europäischer Fonds für die regionale Entwicklung (EFRE) Die Angaben können der in Anlage 1 beigefügten Übersicht entnommen werden. Europäischer Landwirtschaftsfonds für die Entwicklung des ländlichen Raums (ELER) und Europäischer Garantiefonds für die Landwirtschaft (EGFL) Vergleiche Antwort zu den Fragen 1 bis 3.
2

Hessischer Landtag · 20. Wahlperiode · Drucksache 20/273          3 Die Umsetzung investiver Fördervorhaben erstreckt sich in der Regel über mehrere Jahre. In diesen Fällen werden neben den Bewilligungsmitteln des laufenden Jahres auch Verpflichtungs- ermächtigungen kommender Jahre bewilligt. Die Fördermittel werden im Rahmen von Auszah- lungsanträgen mit Verwendungsnachweisen nach Baufortschritt im Bewilligungsjahr bzw. in den jeweiligen Verpflichtungsjahren abgerufen. Es ist davon auszugehen, dass fast alle bewilligten Mittel auch abgerufen werden. Europäischer Sozialfonds (ESF) Von den bewilligten Mitteln wurden bislang Mittel in Höhe von insgesamt 1.026.394,33 € noch nicht abgerufen. Informationen, wie sich die noch nicht abgerufenen Mittel auf Städ- te/Gemeinden bzw. den Landkreis sowie auf die einzelnen Projekte verteilen, können der in An- lage 3 beigefügten Übersicht entnommen werden. Eine Auswertung der noch nicht abgerufenen Mittel zum 31.12.2018 wäre technisch sehr aufwendig, so dass nur der aktuelle Stand zum 21.03.2019 mitgeteilt werden kann. Frage 5.   Welche EU-Fördermittel und Bundesmittel konnten von den Gemeinden und dem Landkreis Wal- deck-Frankenberg nicht abgerufen werden, weil Komplementärmittel des Landes fehlten? Für alle in den jeweiligen Haushaltsplänen veranschlagten EU- und Bundesmittel waren die notwendigen hessischen Komplementärmittel vorhanden. Insofern konnten alle verfügbaren und bewilligten EU- und Bundesmittel auch abgerufen werden. Wiesbaden, 6. Mai 2019 Lucia Puttrich Anlagen
3

ckaAS

Anlage 1

  
  
   

  
  

  
   

  
   
 
 

   
      
         
 

 
  

 
  

   
 
  
     
  
 

  

Gesamtbetrag der
förderfähigen Ausgaben
des Vorhabens in €

  

Bewilligte EFRE-Mittel
in€

Komplementärfinanzierung |Komplementärfinanzierung |Komplementärfinanzierung
durch Bundesmittel in€ durch Landesmittel in€

Bisher nicht abgerufene EFRE-Mittel in

Name des Begünstigten Bezeichnung des Vorhabens durch kommunale Mittelin€e |E- Stand 21.03.2019

EFRE-Förderquote

     
   
   
  

   
   
   

   
   
  

  

 

  

Holzfachschule Bad Wildungen gGmbH [Förderung überbetrieblicher Berufsbildungsstätten | sse12sc rs 0 sr DL o,o0el God one _2.326.102,60€|
[Kreishandwerkerschaft 202 lFörderungüberbetrieblicherBerufsbildungsstätten | ıoss2l sis sr — — — oo o0d|  _  _ _ omd 10.271,04]
Gel mn — — ————1.091,97€|
[Landkreis Waldeck-Frankenberg [Technische Ausstattung von beruflichen sclen 2 | z:us2cl sol sr — — ol — o0dl 12 _ __ ______141.761,00€|
|Landkreis Waldeck-Frankenberg ____lAusstattungberuflicherSchulen mit Pilot-undDemoanlagen | case :zn0l sl —— on — od _  32HnSce ___0,00el
[Landkreis Waldeck-Frankenerg ____|Tourismusförderung -öffentliche Tourismuseinrichtunen | 2567188001] 120 sl ———— ou _ o0d| oo _________1.283.594,00€|
[Activoris MedizintechnikGmbH_ ____|Forschungs-und Entwicklungvoraben 02 |  :uco20L| is Hr — — —— oma 00d| O0  __ ___155.561,00€|
Eee pr RE > Bee: BEA BE HEIE IMS BENEEE BBE>SIeN DEEP EEE | EEE BESSERE BEER EEE ERREGT HEBEN EEREEONTEE EEE | MET Ver VENEN
[ee Te ee ee BES 5 TE MIR Be CHATTEN CP, = ERBE BE Sr EBENEN EEE | GEBE GEF EEEEE EEEEEE  AEEEEEEREEEE| EREETEEETEEEETE1| EEE
| __ = el u m 1 1 maiält eirssli ie Be EHRTSTrErE BER DPF VE IE EHRE EEE EEE KEEEEFEE EEE | EEE ERBE VRR ERS ae | PET | DENE]
U Sa Eee We a SE ET BE UNE Pe EE  EE EEEEEEE| UOEEEEIgEgU 1 EEE VE Van Een [LEE] DEREN ESSE|
ee Fe | Br ne Te Eee Eau] Er FE EEE | EEE | EBERLE ern | PREEENREEEEE Ee] EEEEEEEEE| ENENEEEGEn TEE EEG
I el ES EEBe  SPae ge TORTSErIE BE e 37 Br] BP BOCH VOR BE FREE BEB|B | EN T | EESTRERTERTELURGERTE| LE RETEELEEEA| BENSFOEEFICFÄN TEE HERE per
0 0 7 710 Mill ae PCC all BB na TECH BR BR N BT N FEN TEE | RP SERSERENCHIGREFWESPRG = RE REHIRE NEE ABEDE „FIEBEBBE TRETEN BGH
te Heer SE Alle le = FE BB FEB BY A| RB = se | URHEBER ERGEBEN RA EEE ET | WEN HI ERSPRGETEN VEN] 1BFAETERNGEENFEEF EHRE EHE
ee Eee mer MET 1 TE RR 25T Peer HENRI VER | BERN EEE | TEE EEE BESSERE EEE EEE | Er EEE eEET ee EEE EEE TE
[er PRÜF BE Be 1 SE STEH EFGBBEREEPREB FE | ERBEN BEE | ESPORT GET | ENGER | ENTE NIGEREESEEER| ETEREEEEEEEEEE | EEEE |
I. 007 ll wa 9 vBRRGENMBBBE SEE BEHEESFE EEE] EEE FEED | EEE HE BIETER VE as BEER TEE EEE | Bern DO EE

[BE ut. HH Bu BE BREI or DB EEE ERHEBEN | SEGEL | EEE EEE | BEER EEE | are | ERS EEE
4

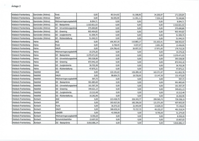
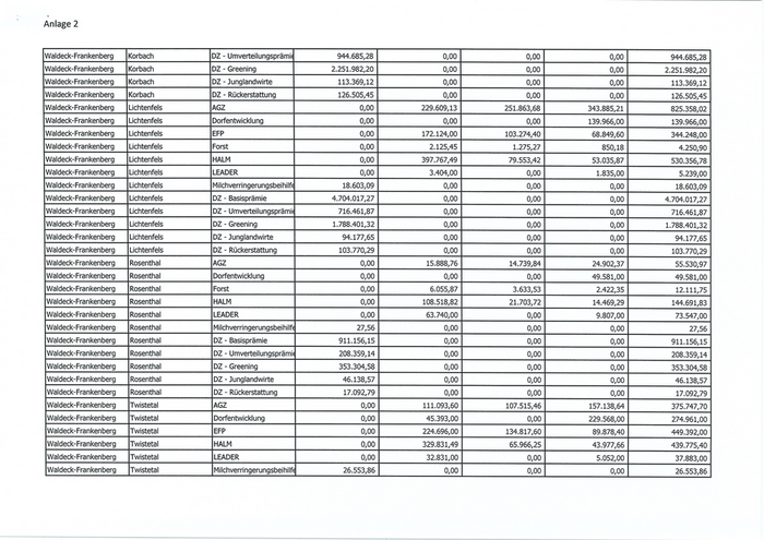
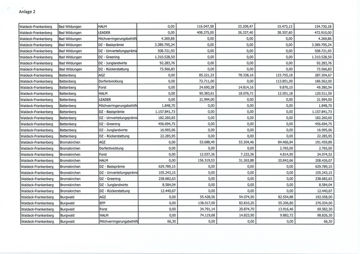
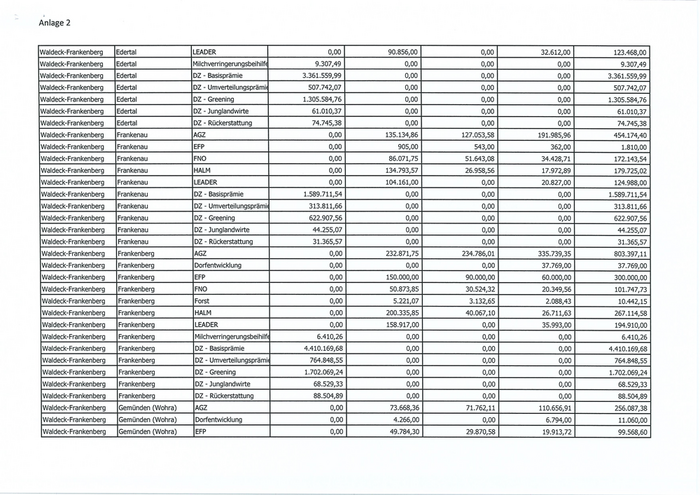
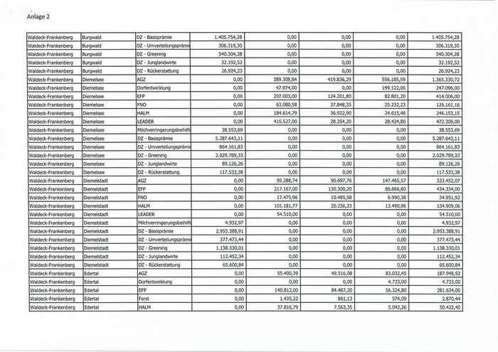
Anlage 2

EU-Förderung im Landkreis Waldeck-Frankenberg
Landwirtschaftsförderung und Förderung des ländlichen Raumes
Ausgezahlte Fördermittel 2014 - 2018

Hinweis: nicht berücksichtigt wurden Auszahlungen aus rein nationalen Mitteln außerhalb des Entwicklungsplans für den ländlichen Raum (EPLR)

Zuordnungsbasis: Wohnort des Zuwendungsempfängers

   

     
   

    
   
   
  
  
   

  
   
  
 

 
  
 

0,00] 44.622,64 40.549,66 62.399,82

147.572,12
57.961,00

  

43.470,74 8.694,14 5.796,12
44.651,00

Frankenberg

5[5 5 |5
©: 19: 10: I
o lo Io |»
oa lo Ja 19
A| 12 | |e
ıq qn|n
o old |”
2 x|x
2 od Ivo
= 3.12
[oz o Io
® 2 |8
ao ao Ja

[0 oe Beh 44.651,00
845.031,04 0000| 845.031,04
170.592,69

  
 
   
  
  

  
   
  
  
   
 
 
  
  
  

s
2
Q
®
fe}
rn

7
vo
=
za
®
=}
oO
2
a

GZ ‚243,
0,
001 8.764,41
IAlendot  —__D2-Rückerttung | 0 DD — — on|l 220,0
554.578,78
48.698,00
FNO } .670,
Fors r . v

S
oO
®
Q
a
a
[3
R
®
>
oO
®
[te]

sl oo]  00|
men 00] 000

Frankenberg

   

  
  
  
       
   
 
    

Sa |o
ala lo
oo lo I»
oa 1a 109
*|7 1%
a
Do
2
®
=>
oO
®
ao

   
  
    
  

Frankenberg
Waldeck-Frankenberg

 

Waldeck-Frankenberg

 

s
D
Q&
®
Q
z

an
vo Io
> |#
o |I®
>13
o Io
2 |?
a ja

  
  
   
 
  
   

S
©
Q
®
Q
rn

34.450,00 20.670,00 13.780,00 68.900,00
Badarosen 0 Äste | 323.449,46 194.069,68 129.379,79 646.898,93
210.534,19 42.106,79 28.071,35 280.712,33

t
Bad Arolsen HALM ,
186.964,00 58.765,00 245.729,00

Bad Arolsen LEADER

141.673,00 85.003,80 56.669,20 283.346,00
Badarcsen 2 [Fi DD — 3000| __20.670,00|

Frankenberg

   

    
  
  
 

  
  
 
 
  

52/5 |5|s
eo. la.Ia[|co Io
ao la |a |p |®
o1lo 1a IQ IQ
*1* |? |? |?
nn
vo I
2 |2
o |I®
>13
oO |IO
2 |2
a Ja

        
   
   

  
 
     

    

   

    
    
 

   
   
 

BadAroisen ____|Michverringerungsbeinig Me DD — cool 2 of 2 0,o0| 24.696,86
Frankenberg |BadAroisen ___|pz-Basipräme | sus) 2 [on Dom 000] 3.978.540,56
Frankenberg |BadAroisen ___|Dz-Umverteilungspami ol 2 00 2 of 3 0.0| 625.370,21
Waldeck-Frankenberg |BadAroisen __|pz-ceninnö— | sm — — oo [oo 00] 1.537.391,44
[Waldeck-Frankenberg |BadAroisen ___|Dz-Jungiandwite | ml 2 on oo] oo] 103.930,74
Waldeck-Frankenberg [Bad Aroisen __|D2-Rückerstatunn | ul 2 2 oo 00] 0oo| 87.624,73
Waldeck-Frankenberg |Badwinen herz | om] su] iss] 222.530,08| 534.563,91
[Waldeck-Frankenberg |Bdwingen [Ir DD — | oo]  so0| a0] _32.10,20| 160.746,00
Waldeck-Frankenberg |Badwildungen [rt —2— | 00 ol eu con] 3.014,40
5

Anlage 2

  
      
           
   
   
     
   

       

Waldeck-Frankenberg Bad Wildungen HALM 0
Waldeck-Frankenberg Bad Wildungen LEADER 1... 2
Waldeck-Frankenberg Bad Wildungen Milchverringerungsbeihilfg 4.269,86

116.047,58 23.209,47 15.473,13
408.275,00 26.327,40 38.307,60

154.730,18
472.910,00
4.269,86
3.389.795,24
508.721,93
1.310.528,50
92.283,76
73.566,83
287.304,67
186.562,00
49.380,54
120.511,50
21.994,00

Waldeck-Frankenberg Bad Wildungen DZ - Basisprämie 3.389.795,24 ET) ET
- Bad Wildungen DZ - Umverteilungsprämi 508.721,93 el. mo

&
SG;
®
oO
a
a
vo
=
z
®
=
o3
®
=.
ao

Waldeck-Frankenberg
Waldeck-Frankenberg
Waldeck-Frankenberg

Waldeck-Frankenberg |Battenerg Ädız 2 | oo] sl 78.328,16] 123.755,18
Waldeck-Frankenberg |Battenberg_ 2 |Dortenwickng_ | 2200| rm] 2 2000, 13.851,00
Waldeck-Frankenberg |Battenberg_ [rt D2—252[— | 00] 20] 1481416] 9.876,10
Waldeck-Frankenberg |Battenserg [Hmm — | vol os 18.076,71] 12.051,18
Waldeck-Frankenberg |Battenberg ler 2 | — — —  o0| m] 2000|
[Waldeck-Frankenberg |Battenerg 2 __|Michverringerungsbeinig 1870| 2 o0|l 0,00 1.848,70
[Waldeck-Frankenberg |Battenberg __|Dz-Basispräme | rl 2 — —— ool 0,00] 1.157.891,73
[waldeck-Frankenberg |Battenberg 2 ___|pz-Umwerteilungspramf — sis] 2200| 2 om om] _182.200,65
Weldeck-Frankenberg |Battenberg 2 [Dz-venin 2 | ur — — ol ol O0] ___456.694,75|
[weldeck-Frankenberg [Battenberg 2 __IDz-Jungiandwirte | is 00 om om] 16.985,06
Waldeck-Frankenberg |BattenergD _|pz-Rücerttung | nu 2 oo on om] 22.285.551
Waldeck-Frankenberg |Bromskirchen jez | oo] sl se al 191.459,80|
Waldeck-Frankenberg |[Bromskirchen __|Dortenwicknn_ | DD 00 2 — on om] 270] 2.765.001
Waldeck-Frankenberg |Brmskirchen [rt DD | on] nmel rl as 24.074521
Waldeck-Frankenberg |Bromskirchen [mm D2D—D—D33 | ol es rl _20s266| 208.42607|
Waldeck-Frankenberg vw] res

Waldeck-Frankenberg |Bromskirchen ____|DZ - Umverteilungsprami ol oo) oo] 0001 105.243,15
Waldeck-Frankenberg _|Bromskirchen ___ |D2- Greening Br | 00 00] 000 238.682,63
Waldeck-Frankenberg |Bromskirchen ___ [DZ - Junglanduirte | oo om 0,00 8.584,04

‚584,

Waldeck-Frankenberg 0m] 120067
kefrankenberg |Burgwad 24h D—D— | 00] su sa) 25 192.058,00|

Waldeck-Frankenberg _|Burgwaid er | 00] eorol uns| 5520| _276.034,00

Waldeck-Frankenberg |Burgwad_—D— fort D—D— [| 00] zul m] ss 69.582,30]

Waldeck-Frankenberg

Waldeck-Frankenberg |Burgwad 2 2 __|Michverringerungsbenig_ 260 2 ol on on] ____66:0|

  
   
      

Di
Q
®
[e}
6

Anlage 2

       
       
     

         

1.405.754,28
306.319,30
540.304,28
32.192,52
26.924,23
1.365.330,72
247.096,00
414.006,00
126.161,16
246.153,15
472.306,00
38.553,69
5.287.643,11

Waldeck-Frankenberg |Burgwald DZ - Basisprämie 1 00

Waldeck-Frankenberg Burgwald DZ - Umverteilungsprämig 306.319,30 re ee

Waldeck-Frankenberg Burgwald DZ - Greening 540.304,28 a
Belt. u laon

oO
S
oO

waldeck-Frankenberg |Diemisee jez | on] os] 419.836,20| 556.185,59
Waldeck-Frankenberg Dorfentwicklung en zz re 199.122,00
waldeck-Frankenberg [Diemeise hr | 00]  2orooso0|l 12420180 82.801,20
waldeck-Frankenberg |Diemsee 72 | | on] cu —37.848,55| 25.232,23
24.615,46

 
 
 
 
  

on
Weldeck-Frankenberg |[DiemiseeD rer 2 |  om]l as] 28.354,20 28.424,80
864.161,83
om] 2020789,33|

oO
S

oO

oO

HAL
00] 00] __89.12626|
weldeck-Frankenberg |Diemese 232 [Dz-Rückersatung | ml 2 — oo oo oo] 1175338]
weldeck-Frankenberg |[Diemeistect jr DD — | 0o0l zo] 2 1000| 2 __scu6E0| __434.334,00|
[weldeck-Frankenberg |Diemestct 2 [Pi —— | oo]  sase| oa Vs 34.951,92
Weldeck-Frankenberg |[Diemeistat 2 Ä[am—[— | oo| son] 2063| _1340066| __134.90906|
Waldeck-Frankenberg |Diemeistact mr —2——— | oo] ____54.51000|
AGZ

F
Waldeck-Frankenberg |Diemelstadt DZ - Basisprämie 295335 | 0,00] 2.953.388,91

   
 
  
  
 

[Waldeck-Frankenberg |[Diemeistect 2 ___|DZ-Umverteilungspramf 37.0734] 000]
[weldeck-Frankenberg |Diemeistat 2 __IDz-Jungancire | mal —0,00| 0,00
[Waldeck-Frankenberg |Diemeistzct _|Dz-Rückerstatunnö | css 2000|
waldeck-Frankenberg [eersE‚” 3 I | oo] _  ssa0e| 49.516,08] 83.032,45
[Waldeck-Frankenberg [Eder 2 2__JDorentickug_— | 0,001 u sr ae Be 4.733,00
Waldeck-Frankenberg [eriO 3 Ür | oo]  swosınol 84.487,20] 56.324,80
Waldeck-Frankenberg |Ederti__— ÄFrt  — | 00] 12] — —seni3| 574,09
5.092,26
7

Anlage 2

 
 
 
 
 
 
 
 
  

       

Waldeck-Frankenberg |[Edertal LEADER 90.856,00
Waldeck-Frankenberg Edertal Milchverringerungsbeihilfd 9.307,49 0,00
Waldeck-Frankenberg DZ - Basisprämie 3.361.559,99

 
  
   
   
     
 
 
 
 
 
 
 
 
 
 
 
 
 
 
 
 
   

74.745,38
135.134,86 127.053,58 191.985,96 454.174,40
Waldeck-Frankenberg 905,00 543,00 362,00 1.810,00

0,00

Waldeck-Frankenberg 86.071,75 34.428,71
134.793,57 17.972,89
WaldecicFrankenberg [Frankenau ——_ jimerR 2 2— | 00] sol 000] 20.827,00
0m
| 0m
00]
[Waldeck-Frankenberg |Frankenau ___|bz-Jungtandnite | url 2 2 om| 0.0]
Waldeck-Frankenberg |Frankenaun ___|pz-Rücenstattung | sus 232 ol 000] 0,00
335739,35
[Waldeck-Frankenberg |Frankenberg __|Dortentwickuns | __ oml om| 00] 37.769,00
Waldeck-Frankenberg |Frankenberg fer 2 55 — | oo]  1soomm| ___90.000,00| 60.000,00
WaldecicFrankenberg [Frankenberg | 225 — | om] ser 20.5232 20.399,56
Wadeci-Frankenberg [Frankenberg —_ [st 22 — | om] 522107] 3.132,65 2.088,43
[Waldeck-Frankenberg |Frankenberg __|Ham | om] ___20.35,85| 0.067,10 26.711,63
Waldeck-Frankenberg [Frankenberg jiemerR 2 | 001 158.917,00 35.993,00

Waldeck-Frankenberg |Edertal DZ - Umverteilungsprämi 507.742,07 |
Waldeck-Frankenberg Edertal DZ - Greening 1.305.584,76 50 ae
Waldeck-Frankenberg Edertal DZ - Junglandwirte 61.010,37
Waldeck-Frankenberg Edertal DZ - Rückerstattung 74.745,38

Waldeck-Frankenberg

  
  
 
 
 
 
 
 
  
  
   

oO
S
oO

Waldeck-Frankenberg Frankenberg DZ - Greening 1.702.069,24 1.702.069,24

110.656,91
6.794,00
19.913,72

Waldeck-Frankenberg Frankenberg DZ - Junglandwirte 68.529,33
Waldeck-Frankenberg Frankenberg DZ - Rückerstattung 88.504,89

Waldeck-Frankenberg DZ - Umverteilungsprämi 764.848,55 764.848,55
Waldeck-Frankenberg |Gemünden (Wohra) ze 73.668,36
P

74.762,11

j A
Waldeck-Frankenberg |Gemünden (Wohra) Dorfentwicklung 4.266,00
Waldeck-Frankenberg [Gemünden (wohrs) Ir 00 49.784,30

 

29.870,58
8

Anlage 2

  
   
   
 

Waldeck-Frankenberg Gemünden (Wohra) Forst 0000| 85.514,92

 
 
 
   
   
   

Forst 51.308,95 34.205,97 171.029,84
Waldeck-Frankenberg [Gemünden (wohra) |HaLM 00 56.505,59 11.301,11 7.534,10 75.340,80
Waldeck-Frankenberg Gemünden (Wohra) Milchverringerungsbeihilfe 8.094,71 er apa 000 8.094,71
Waldeck-Frankenberg Gemünden (Wohra) DZ - Basisprämie 2.322.821,53 rn ae

AGZ

2.322.821,53
375.690,89

0m] 903.404,83

51.509,70

Waldeck-Frankenberg |Gemünden (wohre) _|DZ-Umverteilungspramg — —_ 3000| 320,0

Waldeck-Frankenberg [Gemünden (wohre) |Dz-Geninnö_ | una) 000]

Waldeck-Frankenberg [Gemünden (wohre) _|DZ-Jungiandwirte | sul 2320,00]

Waldeck-Frankenberg [Gemünden (Wohra) _|DZ- Rückerstattung | sı003]| 232 0,0| 51.040,33

Waldeck-Frankenberg |Hinn—2D232— ji — | 00] 106.367,35] 10.883,17 368.903,93
738,

Waldeck-Frankenberg |Hainn_— [ot | 000 6.728,45 4.037,07 2.691,38 13.456,90
Waldeck-Frankenberg HALM BEER") 134.786,42 26.957,23 17.971,65 179.715,30

oO
oO
[e}

0,00

Waldeck-Frankenberg Korbach

73.727,73 491.519,34
Korbach LER 353 | Do anscson| 0,00 51.274,00
Korbach [Milchverringerungsbeiniit — —_ es 0,00]

Korbach Schumichbenifen | ısconal 0,00]
Korbach DZ - Basispramie | sec 00]

Korbach Be 1 | 36.573,32 21.943,99 14.629,33 73.146,64

Waldeck-Frankenberg

Korbach
HAL

Bu
Q
®
Q
2
a1
S
3
x
®
>
oO
®
de |
[te]

 
      

Waldeck-Frankenberg

[Waldeck-Frankenberg |Hainn 2 2___|Michverringerungsbeiniif 102700] 232 0,00| sol 0001 10.270,26
Waldeck-Frankenberg |Hainn2—___|pz-Basispäme | zumal 2 —0,0| sol 0001 2.270.471,92
Waldeck-Frankenberg IHinn2___Joz-umverteilungspramf sl 2 oo 2200| 000] 393.528,08
Waldeck-Frankenberg |Hainn2D2_—__ oz. 2 |  umumel oo oo  000| 872.942,18
Waldeck-Frankenberg |Hainn2D2—____Jpz-Jungiandwite | 2 srl — om DD oo 0m] 36.703,38
Waldeck-Frankenberg |HainnZ2—__|pz-Rücerttung | url — — oo DD om 00] 47.875,21
Waldeck-Frankenberg |Hatzted 232 — hi — | 0001 122.191,63 411.852,78
Waldeck-Frankenberg |Hatzted— 2 fm — | oo] sa] oz] 13.147,50] 131.473,00
Waldeck-Frankenberg |Hatzted 2 ___|Michverringerungsbeiniid —2— sl — oo D— of om saral
Waldeck-Frankenberg |Hatzfed 2 |pz-Basisprame | ol 232 cool DD om ol oonsenen|
Waldeck-Frankenberg |Hatzted 2 |pz-Umverteilungspramf — ir) 2 ol Do om] 161.562]
Waldeck-Frankenberg |Hatzfed 2 oz. 2 | al 323 oo DD om ol 3]
Waldeck-Frankenberg |Hatzted 2 IDz-Junglandwite | al 2 D—D— oo DD oo ol 1521248]
[Waldeck-Frankenberg |Hatzfed 2 |pz-Rückersattung | il 2323 on DD on ol 16.26266|
I 00| mus] zo] mas] _739.338,10|
[Waldeck-Frankenberg Korbach | vol zul 2 — — auszuol 07.855.001
Waldeck-Frankenberg |Kortachn 2 2198,85 | 7166|
0 BB 1207| 49151934

00 51.274,00

8350,20

I 15.602.08°

| __ 5816.686,14

v
&,
®
oO
a
a
Do
2
®
= |
CH
Q
ao
9

Anlage 2

   
        

vI0 v
alco o
218 8
AIr N
a|m im)
3

IT zZ
oa |® ®
5.[5 3
o|o oO
2 |8 Q
ao lo ©

DZ - Umverteilungsprämit | om om on] 944.685,28

Waldeck-Frankenberg |Korbach _____|DZ-Greening 2020| 00 om 000] 2.251.982,20

Waldeck-Frankenberg DZ - Junglandwirte Be nn 113.369,12
ı

i 0,00
Waldeck-Frankenberg DZ - Rückerstattung 126.505,45 0000| RENT 126.505,45

Lichtenfels 229.609,13 251.863,68 343.885,21 825.358,02
Lichtenfels Dorfentwicklung 0,00 | 139.966, 00 139.966, 00

Lichtenfels
Waldeck-Frankenberg Lichtenfels HALM

Waldeck-Frankenberg |Lichtenfels 172.124,00 103.274,40 68.849,60 344.248,00

Waldeck-Frankenberg [Lichtenfels LEADER ee 3.404,00 1.835,00 5.239,00
ud
G
4

 
      
    

55 u
2|IQ0 Q
[8 8
Im N
an, qı
| Ö
2 |2 2
o |I® ®
>13 >
oIO S:
8 | 8
oa Jo ao

Lichtenfels Milchverringerungsbeihilfe 00 | 0,00 |
& Lichtenfels DZ - Basisprämie aa | — 0,00 |
Waldeck-Frankenberg [Lichtenfels DZ - Umverteilungsprämie 17 | — ——000l

18.603,09
4.704.017,27
Waldeck-Frankenberg Lichtenfels DZ - Greening 1.788.401,32 1.788.401,32

0,00
2.125,45 1.275,27 850,18 4.250,90
716.461,87

397.767 ,49 79.553,42 53.035,87 530.356,78

00

00]
Waldeck-Frankenberg [Lichtenfels 2 __IDZ-Jungtandwite | 2 2 mr 2 — oo — om om|  gaızzssl
Waldeck-Frankenberg |tichtenfeis 2 ___|Dz-Rückerstatunn | mr] 2 oo om om] 1027708]

Frankenberg [Rosentl—D24 4 ÄÜdızz DD | 0oml sl al 24.0237]

Rosental  —_JDorfentickung | — oo om cool ass] 49.581,00]
Frankenberg [Rosenthal 2 [rt 2553 | oo] co a 2a  121n75|
Frankenberg [Rosenthal 2 [Ham 2 | om] sssHnl ums] nam] 14400183 |
Rosental — — ÄemerR — | 0ml | Dom sl 73.597,01
Frankenberg [Rosental 2 |Michverringerungsbeiniii_ 2276 — ol 000]
I ms 000

24.902,37 55.530,97

Frankenberg Rosenthal DZ - Basisprämie 911.156,15
- Rosenthal DZ - Umverteilungsprämit 2351| 00T
- Rosenthal DZ - Greening 3330,58 | 0000|

27,56
00| 000,
Waldeck-Frankenberg Rosenthal DZ - Junglandwirte 46.138,57 0,00 re

EREEE" 208.359,14
ee 353.304,58
u 46.138,57

Frankenberg |Rosenthal DZ - Rückerstattung won 000] BE Wa 17.092,79
Waldeck-Frankenberg Twistetal e

157.138,64 375.747,70
Waldeck-Frankenberg |Twistetal Dorfentwicklung 45.393,00 229.568,00 274.961,00

 
         

’

G

0,

Lk

#

’

’

’

e ’
’

IBRRBRRBBBBRRE
o eleslalajslaslalal)o
° 121218 |2 1° ]2 12 |
Oo oalo lo lo Ja 1a Ja 1a IQ
2 17 |? |7 17121717 1%
m|n a Bu
o |o o Ö
3.15 5 5
IT Z x
@ |® ® ®
3.15 3 5
o|lo oO o
a |® ® 2
o |s So ©

11.093,60 107.515,46

s
Do
Q
®
oO
Rn

EHE
Frankenberg [Twisteti 2 | 2 | oo] sol iss] uns| 449.302,00|
ist 0 — Äaüm 5 3 [0m] zus] os as 43077540]
Waldeck-Frankenberg [twistetl 2 [ir 2 | cool ol Dom so] 3788300]
Frankenberg [Twistetl_ 2 2 jMichverringerungsbeimiig__— 2 2 —2—2— oo DD cool om] 26.553,86]

© &
oO ©
® ®
oO oO
N FA
a
vo
=)
zZ
®
>
oO
®
Q
ao
10

Zur nächsten Seite