Verteilung von EU-Mitteln im Landkreis Limburg-Weilburg

/ 11
PDF herunterladen
20. Wahlperiode                                                                    Drucksache 20/290 HESSISCHER LANDTAG                                                                          06. 05. 2019 Kleine Anfrage Tobias Eckert (SPD) vom 06.03.2019 Verteilung von EU-Mitteln und Bundesmitteln im Landkreis Limburg-Weilburg und Antwort Ministerin für Bundes- und Europaangelegenheiten und Bevollmächtigten des Landes Hessen beim Bund Vorbemerkung Ministerin für Bundes- und Europaangelegenheiten und Bevollmächtigten des Landes Hessen beim Bund: Es wird darauf hingewiesen, dass zur Beantwortung der Kleinen Anfrage nur geförderte Maß- nahmen im Bereich der dezentral, in den Hessischen Ministerien verwalteten EU-Strukturfonds (sowie den hierzu erforderlichen Landes- und Bundesmitteln zur Kofinanzierung) im Zeitraum 2014 bis 2018 aufgeführt werden: des Europäischen Fonds für die regionale Entwicklung (EFRE), des Europäischen Landwirtschaftsfonds für die Entwicklung des ländlichen Raums (ELER), des Europäischen Garantiefonds für die Landwirtschaft (EGFL) und des Europäischen Sozialfonds (ESF). Darüber hinausgehende, in anderen Förderprogrammen aus rein nationalen oder supranationalen Mitteln gewährte Förderungen sind nicht enthalten. Bei der Beantwortung der Fragen in Bezug auf EFRE wurden die Daten zum IWB-Programm Hessen EFRE 2014 bis 2020 des WIBank Infoportals als Grundlage genommen. Zu den Sum- men ist anzumerken, dass es angesichts der zwei Jahre nachlaufenden Förderperiode 2007 bis 2013 (bzw. drei Jahre: Förderperiode 2014 bis 2020) höhere Zahlungen aus EU-Mitteln seit 2014 gegeben haben kann. Die Antwort bezieht sich nur auf Mittel, die aus der Förderperiode 2014 bis 2020 stammen. Für einige Vorhaben kann der Fall entstehen, dass die Summe aus den bewilligten kommunalen Mitteln und den bewilligten EFRE-Mitteln einen höheren Betrag ergibt als jener der förderfähigen Gesamtausgaben. Dies ist damit zu erklären, dass kommunale Mittel zusätzlich auch zur Deckung der nicht förderfähigen Ausgaben eingesetzt werden. Zu den Förderungen im Bereich Landwirtschaft ist festzuhalten: Die Direktzahlungen aus dem EGFL umfassen überwiegend die jährlich gezahlte sog. Betriebsprämie und darüber hinaus sek- torale Stützungsprogramme (z. B. Obst/Gemüse, Wein) und bestehen zu 100 % aus Mitteln der Europäischen Union. Die Mittel des ELER umfassen verschiedene Fördermaßnahmen und wer- den in der Regel zu 50 % (z. T. zu 25 %) aus nationalen Mitteln kofinanziert. Die ELER-Förderung wird in Hessen über den „Entwicklungsplan für den ländlichen Raum 2014-2020“ (EPLR) umgesetzt und unterteilt sich in investive Projektförderungen (z. B. das Einzelbetriebliche Förderprogramm Landwirtschaft (Agrarinvestitionsförderprogramm, Förde- rung von Investitionen zur Diversifizierung), die Förderung der Dorf- und Regionalentwicklung (einschließlich LEADER), die Förderung des Breitbandausbaus im ländlichen Raum, die Förde- rung der Flurneuordnung, Förderungen im Forstbereich) sowie Flächenfördermaßnahmen (z. B. die Förderung der Ausgleichszulage für die Bewirtschaftung von Flächen in von Natur aus be- nachteiligten Gebieten (AGZ) oder die Förderung für die Teilnahme am Hessischen Programm für Agrarumwelt- und Landschaftspflege-Maßnahmen (HALM)). Die nationale Kofinanzierung kann sich je nach Maßnahme aus Bundes-, Landes- und kommu- nalen Mitteln zusammensetzen. Die Bundesmittel werden für eine Vielzahl von Fördermaßnah- men im Rahmen der Gemeinschaftsaufgabe zur Verbesserung der Agrarstruktur und des Küs- tenschutzes (GAK) gewährt. Die GAK-Mittel setzen sich zu 60 % aus Bundes- und zu 40 % aus Landesmitteln zusammen. Diese Mittel werden in Abhängigkeit einzelner Fördermaßnahmen entweder ausschließlich oder als nationale Kofinanzierung der ELER-Mittel eingesetzt. Die jeweilige Förderquote ist in den verschiedenen Fördermaßnahmen unterschiedlich. In den Flächenförderungen (z. B. in der Ausgleichszulage und in einem Großteil der Förderung von Eingegangen am 6. Mai 2019 · Bearbeitet am 6. Mai 2019 · Ausgegeben am 9. Mai 2019 Herstellung: Kanzlei des Hessischen Landtags · Postfach 3240 · 65022 Wiesbaden · www.Hessischer-Landtag.de
1

2                                  Hessischer Landtag · 20. Wahlperiode · Drucksache 20/290 Agrarumweltmaßnahmen) wird ein Wert je Hektar gewährt, in den Bereichen der investiven Förderung ein Fördersatz von in der Regel 20 % bis 40 % der förderfähigen Projektkosten. Diese Vorbemerkung vorangestellt, beantworte ich die Kleine Anfrage im Einvernehmen mit dem Hessischen Minister für Wirtschaft, Energie, Verkehr und Wohnen, dem Hessischen Mi- nister für Soziales und Integration und der Hessischen Ministerin für Umwelt, Klimaschutz, Landwirtschaft und Verbraucherschutz wie folgt: Frage 1.   Für welche Projekte, in welcher Höhe und mit welcher Förderquote flossen EU-Mittel seit Be- ginn der Förderperiode 2014 in den Landkreis Limburg-Weilburg? Frage 2.   Welche Projekte wurden in welcher Höhe und mit welcher Förderquote im Kreis Limburg- Weilburg bezuschusst? Frage 3.   Wie sah die Komplementärfinanzierung durch das Land, den Kreis und die Stadt bzw. Gemeinde aus? Frage 4.   a) Welche Bundesmittel flossen seit 2014 mit welcher Förderquote? b) Für welches Projekt in den Landkreis Limburg-Weilburg und wie sieht die Komplementärfi- nanzierung aus? Die Fragen 1 bis 4 werden aufgrund des Sachzusammenhangs gemeinsam beantwortet. Europäischer Fonds für die regionale Entwicklung (EFRE) In der aktuellen Förderperiode wurde bisher 9 Projekten aus dem Landkreis Limburg-Weilburg eine Förderung mit EFRE-Mitteln in Höhe von insgesamt 1.222.418,42 € zugesagt. Die einzel- nen Projekte inkl. der Förderquote sowie die Angaben für die Komplementärfinanzierung sind der in Anlage 1 beigefügten Übersicht zu entnehmen. Europäischer Landwirtschaftsfonds für die Entwicklung des ländlichen Raums (ELER) und Europäischer Garantiefonds für die Landwirtschaft (EGFL) Aus Datenschutzgründen sowie wegen der in der Regel hohen Fallzahlen bei einzelnen Maß- nahmen (z. B. EU-Direktzahlungen des EGLF mit jährlich bis zu 20.000 Antragstellern, Aus- gleichszulage für benachteiligte Gebiete mit bis zu 10.000 Antragstellern) beschränkt sich die Beantwortung der Fragen auf die Darstellung der Ergebnisse in den einzelnen Fördermaßnah- men auf Ebene der Kommune und kann nicht auf Einzelvorhaben heruntergebrochen werden. Aus der in Anlage 2 beigefügten Übersicht geht hervor, in welcher Höhe EU-Mittel in den je- weiligen Fördermaßnahmen in der laufenden Förderperiode 2014 - 2020 im Landkreis Limburg-Weilburg bis zum 31. Dezember 2018 ausgezahlt wurden. Bundesmittel werden für eine Vielzahl von Fördermaßnahmen im Rahmen der Gemeinschafts- aufgabe zur Verbesserung der Agrarstruktur und des Küstenschutzes (GAK) gewährt. Die GAK-Mittel setzen sich zu 60 % aus Bundes- und zu 40 % aus Landesmitteln zusammen. Unter Bezug auf die datenschutzrechtliche Problematik sind die Bundesmittel auf Ebene der Kommu- nen als Summe in den verschiedenen Fördermaßnahmen aufgeführt. Europäischer Sozialfonds (ESF) Mit Stand 21.03.2019 wurden dem Kreis Limburg-Weilburg ESF-Mittel in Höhe von 2.808.996,89 € bewilligt. Die Förderquote bemisst sich als Quotient aus den bewilligten ESF-Mitteln und den förderfähigen Gesamtkosten und liegt bei 33,5 %. Die bewilligten Lan- desmittel aus ESF-Programmen betragen insgesamt 1.016.695,00 €. Die kommunale Kofinan- zierung liegt insgesamt bei 1.534.875,06 €, die Kofinanzierung aus Bundesmitteln bei insgesamt 518.500,00 €. Informationen, wie sich die Mittel auf Städte/Gemeinden bzw. den Landkreis verteilen und welche einzelnen Projekte gefördert wurden, können der in Anlage 3 beigefügten Übersicht entnommen werden. Frage 5.   Wie hoch sind die zugesagten und am 31.12.2018 noch nicht abgerufenen Mittel getrennt nach Stadt bzw. Gemeinde und Projekt im Kreis Limburg-Weilburg? Europäischer Fonds für die regionale Entwicklung (EFRE) Die Angaben sind der in Anlage 1 beigefügten Übersicht zu entnehmen Europäischer Landwirtschaftsfonds für die Entwicklung des ländlichen Raums (ELER) und Europäischer Garantiefonds für die Landwirtschaft (EGFL) Vergleiche Antwort zu den Fragen 1 bis 4. Die Umsetzung investiver Fördervorhaben erstreckt sich in der Regel über mehrere Jahre. In diesen Fällen werden neben den Bewilligungsmitteln des laufenden Jahres auch Verpflichtungs-
2

Hessischer Landtag · 20. Wahlperiode · Drucksache 20/290          3 ermächtigungen kommender Jahre bewilligt. Die Fördermittel werden im Rahmen von Auszah- lungsanträgen mit Verwendungsnachweisen nach Baufortschritt im Bewilligungsjahr bzw. in den jeweiligen Verpflichtungsjahren abgerufen. Es ist davon auszugehen, dass fast alle bewilligten Mittel auch abgerufen werden. Europäischer Sozialfonds (ESF) Von den bewilligten Mitteln wurden bislang Mittel in Höhe von insgesamt 1.204.158,01 € noch nicht abgerufen. Informationen, wie sich die noch nicht abgerufenen Mittel auf Städ- te/Gemeinden bzw. den Landkreis sowie auf die einzelnen Projekte verteilen, können der in An- lage 3 beigefügten Übersicht entnommen werden. Eine Auswertung der noch nicht abgerufenen Mittel zum 31.12.2018 wäre technisch sehr aufwendig, so dass nur der aktuelle Stand zum 21.03.2019 mitgeteilt werden kann. Frage 6.   Welche EU-Fördermittel und Bundesmittel konnten von den Städten, Gemeinden und dem Kreis Limburg-Weilburg nicht abgerufen werden, weil Komplementärmittel des Landes fehlten? Für alle in den jeweiligen Haushaltsplänen veranschlagten EU- und Bundesmittel waren die notwendigen hessischen Komplementärmittel vorhanden. Insofern konnten alle verfügbaren und bewilligten EU- und Bundesmittel auch abgerufen werden. Wiesbaden, 6. Mai 2019 Lucia Puttrich Anlagen
3

KA Dla0

Anlage 1

    

 
   
  

 
   
   
 
  

  
   
   
  
    
    
  

   
   
   
   
 

   
   

Gesamtbetrag der

   
   
  

Bewilligte EFRE-Mittel

 
 
    

Komplementärfinanzierung |Komplementärfinanzierung |Komplementärfinanzierung Bisher nicht abgerufene EFRE-Mittel in

   
  

 

    
 
  

 
      

Name des. begünstigten Bezeichnung desVorhabens förderfähigen Ausgaben |, . EFRE-Förderquote |) rch Bundesmitteline |durchlandesmitteline |durch kommunale Mittelin€ |E- Stand 21.03.2019
des Vorhabens in€

Bauhandwerks-Innung [Förderung überbetrieblicher Berufsbildunsstäten | ars CL SL od Da 0,00€
andre umsure weibung — Technische Ausstattungvon beruflichen Schulen | 25732848] 128814006 sog —————gggel ————gggef ——1ppgngagel — 7agS;a00€
[Landkreis Limburg-Weilbug 2 ___|TechnischeAusstattungvonberfichenschien __— | — 10 | — TH SV oa — — on Tu DD 75.288,00€|
[Landkreis Limburg-Weilburg ___|TechnischeAusstattungvonberfichenschien ____—|_ _ 106020 | — ci — SL ol ol Bu 31.407,57]
[Landkreis Limburg-Weilburg _ ___|TechnischeAusstattungvonberuficenshien | —  :1700| sr VL od —— one EL ——165.887,00€|
[Landkreis Limburg-Weilburg _ __jAusstattungberuflicherSchulenmitPilot-undDemo.anagen | 2 2065750Cl ns — — SL DD — oo — oo nu — DD 102.877,00€]
[Landkreis Limburg-Weibug ________|AusstattungberuflicherSchulenmitPilot-undDemo anlagen | ı1572cl 720 — u oa om Tr DD DD 7.132,00€|
[OSL Präzisionsteile GmbH& Co.KG ___|BetriebicekM-Imestionoenö__2_2_2—__— |  30s000c| cırcn0La — 2 —— oda oa — 00d| — 617.600,00€|
Pauly Vertriebs GmbH _[_[_—_—_—_—_ | RuerunginiMUu_—_[_[_[_[_______— — — — | 110 — BL — u — od od oo —  _31.500,00€]
De Se Bon Be GE Sen EEE EEE ee ee ER | BGE RER RE EEE KEN an ERS Ee EE|
[TS Wr Bel TE BE TE | RTL VERRINGERN | BESSERES Zee FM SEEN ENERGIE) | FESTE EEE | SEE |
[ee ren EP We Sr Er BE EEE | EEE EEE | EEE EEE EEE GET | REES EEE | LUEEEN BEE Te [EEE Eee | EEE |
Ten, um 5 u u mm = Mr, Mm = Be ie STE ER EIERN | EEE TEE EEE | EEE | EEE | | BE EEE. IE]
en ET ee ee a Tre ER RER 7 | ERBEN FR Te, "Bor = MOON BEER VL HERREN = HE RENT RR STREET RP | RBB = Se a" ee el
I es el en: TG us Te ee Mk BCE TREE RS ERBFCHFICH | BC ELBE: RS 1 BSH ER HEREIN = CL FOSC GERT DR = BL He 7 TER Aal Tom OR
I ee BT ae TE ET = Si KT Tr a EHE | DR EEE | HEERES VEREDELTER BEHHEEER BE VEET EE TE E
[Eee vum 71 Täl]Pur'= Pay "Ti rg runs SEE | | | | ee ER EEE PER Ei
EEE NE EEE ER NEE rest ern er Dezmere
De Tee en = | — = Te Fee EEE FEN ER EEE [ENTE RER DE TEENS EEE EN SER | EUEWEENET SEELEN ERRIDESESEnIETrEee |
[ES ee en ro eRR RT Beer, TER Bunt er Er TEE | EEE EEE EEE | FURTHER BEREIT LEHE ee PEN ERBE | NE EEE HEBEL RE | BER RE REEL BEE | EEE EEE
a nn Ty yemudlen.” 1 Bra N Dre MR TE LE | ENGER En TEE ee | ee ER | | |
1 I EEE | | en | EEE EEE | EEE | |
4

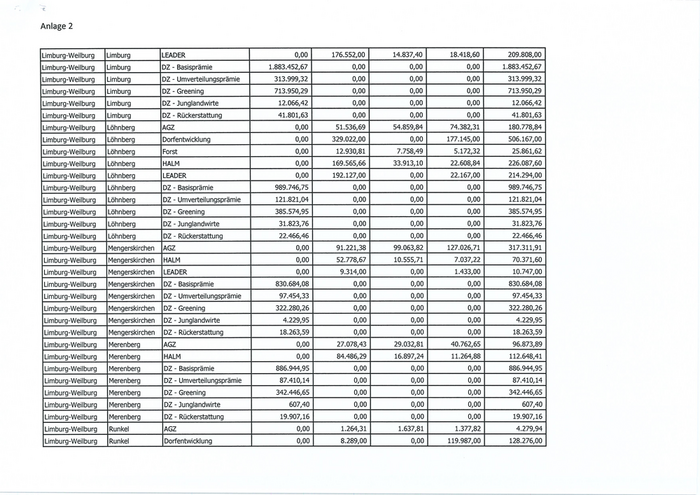
Anlage 2

EU-Förderung im Landkreis Limburg-Weilburg
Landwirtschaftsförderung und Förderung des ländlichen Raumes
Ausgezahlte Fördermittel 2014 - 2018

Hinweis: nicht berücksichtigt wurden Auszahlungen aus rein nationalen Mitteln außerhalb des Entwicklungsplans für den ländlichen Raum (EPLR)

Zuordnungsbasis: Wohnort des Zuwendungsempfängers

  
 
    
  
  

 
 
  
 

     
  
      
      
    
  
  

   

Limburg-Weilburg
Limburg-Weilburg
Limburg-Weilburg
Limburg-Weilburg

  
 

I 00| 000 246,08
00] 000] _1.975.863,10

 
 
  

 
 
 
 
  
   
 
  
 

  
   
    
  
  
   
  
    
  
  
  

oo] 56.760,30
I oml 00] 4537804]
|___ 557,0)

0,00

0,00
Limburg-Weilburg
Limburg-Weilburg
Limburg-Weilburg |Brechen __|acz 00] 5010| 557,40
Lmburg’weiburg |erechen [fort 22 | oo] ose|l sol z381200| 19.0599]
Limburg-Weilburg |prechen [mm _——[— | oo] am] some] ssensel socs10,
Lmburg-weilburg lerechen _ |pz-Basisprame 2 | 1er] 000]
Limburg-Weilburg lerechen __|bz-Umverteilungspramie | 16302011] 0,00]
Limburg-Weilburg 0,00
Limburg-Weilburg

  
   

   
  

  
  
    
 
    

   
  
  
    
  
 

  
 

00] 000

00] 000]
Dz | 0ol 00] 000]
| 00l oo] 000]
Limburg-Weilburg |Brechen _|Dz-Rückersatun | 20] oo] oo] oo] 23.891841
Limburg-Weilburg |Domburag jez_—„—„— | oo] sc] sur] essaura| 20331541
Imburg-Weilburg
Imburg-Weilburg
Limburg-Weilburg
Limburg-Weilburg
Limburg-Weilburg
Limburg-Weilburg
Limburg-Weilburg
Limburg-Weilburg IDornburg __ |pz- Greening

 

  
  
   
  
   
  
 

000| seoso0l 2 __o00| 10934500] 163.445,00|

  
  

  
  
  

 
   
  
 
   

   
  
  
  
 

   

   
  
 

000]
5

Anlage 2

   
   
    
   
     

   
  

umburgweiburg JDomburg _ Joz-sungtancurte 3 [| au] oo0|l om] ol 8.828]
Lmburgweiburg |Domburg |oz-Rücerstunn | zumssl om] oo] oo] 28.028281
Umburgweiburg [en — 3 Ser ——— | om] coll os Bea] 2138870
Dorfentwicklung 00] ss) oo] 5241900] 60.800,00 |

00
umburg.weiburg jenteı __ Joz-Basipame | zusmul oo] oo] oo] 204574461
umburg-weiburg jet ___|bz-Umverteilungsprämie | 7010| on] oo] om] 47.0619]
DZ - Greening | sono] oo] 000]
uimburg-weiburg [bt 2 __|pz-Rückersatung | 362] 000]
13.511,98

Limburg-Weilburg 446,
Limburg-Weilburg Dorfentwicklung 1.005,00 1.474,00 2.479,00
EFP .890,

80.011,49

34.175,40 6.835,08 4.556,72 45.567,20
00] 000] 3.846,62

    

AGZ i
Limburg-Weilburg |Elbtal 2.398,91 1.439,34 959,56 4.797,81
Limburg-Weilburg jElbtal h

000)
Umburgweiburg [Hadamar [rer — [oo] _sessoo| 350400] 23.0560] 110.78000|
Lmburgweiburg |Hacamar [am L—34 [| oo] 200] can] angıs| 42.081,30]
imburg-weiburg [Hadamar __pz-Basisprame 2 | 1scıns| om] om] | 1.946.192,35
mburg-weiburg [Hadamar __Dz-Umverteilungsprämie | z0206| 2 onl om|l ol 307.,720:36
umburg-weiburg [Hadamar _ pz-Greennnge FÜ vol 2 oml oml | 75002140
umburg-weiburg [Hadamar __oz-Jungtandvite [| sul om] oml oo] 56.697,80
umburg-weiburg [Hadamar __|oz-Rückerstattung | sl oml om| oo] 43.581,59
Lmburgweiburg [Hünteden zz | om] 22m] 20] 2600| 611604
imburg-weiburg [Hünfeten Ep DD | om] 1270| een] sis 25.548,00
umburg-weiburg [hünreden NL | oo] sc] nmuss| 7a] 72088
Lmburg-weiburg [Hünfeten _IMichveringerungsbeinite | 2100| om] 0,00

2.100,00
Limburg-Weilburg |Hünfelden 3.401.848,10
: 446.009,12

_____000| _3.401.848,10

     

AGZ e

EFP ,

FNO :

Limburg-weitburg JHünfeiten __[bz-Umverteilungsprämie | 44600012] 0,0)

Limburg-weitburg |Hünfeiten  |[oz-enin DD | mm] —  oml oo] oo] 1.314.70947|
7asa| ml ol oo] 47.485431
Limburg-weiburg |Hünfeiten _Dz-Rückerstattug | 758507] 0,00 0000| 7586507
Limburgweiburg lümbrg jez DD | 00] zo] sm] 5720| 87535]
Limburg-weiburg |uimrg jr — | 00] 10] scnsl srl 2.896,00
6

Anlage 2

   

Limburg-Weilburg 209.808,00
Limburg-Weibburg Jtmburg _|pz-Basispräme 2 | 18345207] 000] 00] _1.883.452,67
imburg-Weilburg |Limburg __|DZ-Umverteilungsprämie | 3139992] 0,00 | _____000| _313.999,32
iburg |timburg [Dz-ceninnö DD 2 | riss] 0,0

Limburg-Weilburg

„wei 00] ausonss
Limburg-Weilburg |Löhnberg jez | oo] sıs6enl sasssse| 7asszsıl 180.778,84
weiburg |töhnbergs _|Dorfentwickung—D3 | oo] z0220| ol 177.14500| 506.167,00

 

&1E
3 |3
o|Io
S|s
ao Jo
®
Oo
Sg
ao

713.950,29

vo] 12.066,42

    
  

imburg-Weilburg |Löhnberg 12.930,81 7.758,49 5.172,32 25.861,62
„Wei Löhnberg HALM 169.565,66 33.913,10 22.608,84 26.087,60
Limburg-Weilburg |Löhnberg LEADER 192.127, 0| 0,00] 22.167,00 214.294,00

3 3 |3 |3 3
Oo ololo o
S S IS |S S
So os |sS |S o
5 oO oO Ö
© Oo Oo So
S S S S
So So © o

   
  
    

91.221,38 99.063,82 127.026,71 317.311,91

weiburg |töhnbere _|Dz-Basisprame 2 | sur] 00] 00] Hol 989.746,75
Limburg-weitburg |töhnberes _[pz-Umverteitungsprämie | 10] 2 o0l oo| oo] 12182104
DZ - Greening | 5 | 0m  om| oo] 38557455
Limburg weiburg Jtöhnbers _|pz-Jungiandwirte | 236] o0l 00] oo] 31.823,76

Weiburg |töhnbere _|Dz-Rückerstattug | 2206| 2 oo|l oo] oo] 22.466,46
imburg-Weibburg [Mengersirhen ozZ_—LLN4 | 000] gn.221,3B| .063,

‚Weilburg |Mengerskirehen mm _—234—„n | oo] sarzasr| 1055571 70.371,60

‚Weiburg |Mengerskrchen ıeamerrR—D2— | oo] 930] oo] 14330] 10.797,00

-Wei Mengerskirchen |DZ - Umverteilungsprämie 97.454,33 wol ol 0,00] 97.454,33
Limburg-Weilburg |Mengerskirchen |Dz - Greening 322.280.6|  0o0l ol ——000| 322.280,26
Limburg-Weilburg |Mengerskirchen |Dz - Junglandwirte 2295| vol wol 000] 4.229,95

EBEBEBEBEBE:
slols|j|s|sle
S IS IS |S IS IS
GIG IS Is Is Is
® o|2 oO
oO: Io Oo
S S 15 S
{te} os |s o

Limburg-Weiburg |Mengerskirchen |DZ Rückerstattung | 1250| oo] 0,00 18.263,59

imburg-Weiburg |Merenters azz_D——LLDLD34 | om] zo] zoo] aore2es| 96.873,89

weiburg |Merendeg Ham DD—34— | om] wrrs60]| 1680720] sr2ase|l 112.648,41

imburg-Weilburg |Merenbers _|Dz-Basispräme 2 | ses) o0|l om] _oo00| _886.94455

Imburg-Weilburg 00] 000] 87a1014
00

imburg-Weilburg |Mengerskirchen |DZ - Basisprämie 830.688 | 0000| 0,00] 830.684,08
DZ - Greening 3424665 | 0,00] 0,00 342.446,65

"IE IDıIEIE
313 |3 |3
o|0I|0 Io
EIS IS |s
oa Jo Jo Jo

®
S
ce
S
ao

Z
®
Oo
=
3
oO

2
3
So
=
.
o

o

o

So

 
    

Limburg-Weilburg DZ - Rückerstattung 19.907,16 0,00 19.907,16
Limburg-Weilburg 1.264,31 1.637,81 1.377,82 4.279,94
Limburg-Weilburg Dorfentwicklung 0000| 8.289,00 119.987,00 128.276,00

Limburg-Weilburg IMerenderg |oz Junglandwirte 607,40 ol 0001 607,40
7

Anlage 2

      

   

AGZ

 
 
 
 

0,00

778.123,69
Limburg weiburg [runkel 2 _|pz-Jungiandwirte 2 | 2221300] 0,00 22.213,06
Limburg weiburg |runkei __|Dz-Rückerstatunne | a2] 0,00 45.243,42
Limburg-weitburg [sets jez | ol] 205232] 2ru2ssl 3623210| 90.278,37
Limburg-weitburg |setes 2 _|Dorfentwickng_— ——ÄJ oo] 5200] ooo| 132.37700| 137.603,00
Limburg-weitburg |setes]4 fm DD | oo] score] sanscol 1281252] 128.12430
Limburg-weilburg |setes 2 __|pz-Basisprame 2 | szı07150| 0001 1.321.971,50
Limburg-weitburg |setes 2 __|pz-Umverteilungsprämie | zn | om] 0,00] 232.685,84
Limburg-weiburg Iseters 2 _Ipz-sennn DD 2 | sus om] 000] 517.168,95
Limburg-weitburg |setes 2 __|pz-Jungianiite | 1657| _000| 16.527,54
Limburg-weitburg |setes 2 __|pz-Rückerstattung | zzel 2 o0| 00] oo] 29.112,48

K=)

00

 
 
 
 
 
  

Limburg-weitburg |vimer 2 |Dorfentwickung— 2 — ÜÄJ 00] oo] 000] 8797400] 87.9740
Limburg-weiburg vilmar 723 fort — | oo] 25050] 150337] 1.002,25 5.011,23
Limburg-weiburg vilmar 2 fm —— | 000]  2os1eu] A008] >7.ossss| 270.882,35
Lmburg-weitburg |vimer ___Michverringerungsbeihifte | 15.028,77] 00] 0,00] 15.022,77
i i 2.470.055,95
dmi 336.346,74

HAL
Limburg-Weilburg |villmar —— jez 000 9.790,30 11.065,61 16.514,95 37.370,86
HAL

lnrsweura [ms __joz-msorne | 2amassss| om] oe
ln webur [ms Jp2-Umetenspame | aa] om]
lnesweiou ins _jpz-omem _ | smasa2| om)

960.488,12

Limburg-Weilburg [Waldbrunn DZ - Umverteilungsprämie 147.156,19 147.156,19
Limburg-Weilburg [Waldbrunn 455.609,99
Limburg-Weilburg [Waldbrunn DZ - Junglandwirte 14.847,28

Limburg-Weilburg |Waldbrunn DZ - Basisprämie 1.160.254,57 1.160.254,57

 
  

455.609,99
14.847,28
8

Anlage 2

         

      

Limburg-Weilburg [Waldbrunn DZ - Rückerstattung 25.673,96
Limburg-Weilburg [Weilburg Rz
Limburg-Weilburg |Weilburg Ei

00] 00] 25.6736
AGZ 164,
EFP
Forst
i HAL
AGZ

59.439,37 63.644,68 85.164,70 208.248,75
20.786,00 12.471,60 8.314,40 41.572,00

wei 0000| 1.989,23 1.193,54 795,69 3.978,46
Limburg-Weilburg |weilburg Hm 000 | 108.067,03 21.613,39 14.408,98 14.089,40
Limburg-Weiburg |weibug finder —D2535—&—&—&— | 0001

 
 
 
  

134.083,00 10.315,00 14.398,00
Limburg-Weilburg DZ - Basisprämie 1.643.407,81
Limburg-Weilburg [Weilburg DZ - Umverteilungsprämie 231.589,92 0,00

00] 000] 1.63.007,81
00] 000] 231.589,92
00] 0000| 637.4467
00] oo] 1207215
00] 000] 36.121,05
Limburg-weitburg |weimünster  kz_—2—2— | 000] 125813 450.795,52
3830,00 | 000] 62.92.00] _100.709,00
Limburg-weilburg |weilmünster pr DD | oo] 80.264,00 160.528,00

i Er
Limburg-Weilburg HALM 1 222...000| __338.553,98 67.710,73 45.140,71 451.405,42
Limburg-Weilburg Milchverringerungsbeihilfe 7.198,88

Limburg-Weilburg DZ - Basisprämie 2.365.801,90
Limburg-Weilburg DZ - Umverteilungsprämie 263.211,09

Limburg-Weilburg [Weilburg DZ - Greening 637.444,67
Limburg-Weilburg |Weilburg DZ - Junglandwirte 12.972,15

7.198,88
2.365.801,90
263.211,09
894.886,77
33.315,75
52.418,15
337,54
1.174.069,58
164.902,15
459.619,90
32.472,36
26.847,12
1.753.767,03
235.188,35
665.916,95
33.221,58
38.894,38
396.755,82

0,00

  
 
    

’
0,00
0,00
4
4

‚00

Limburg-Weilburg DZ - Greening 894.886,77
Limburg-Weilburg DZ - Junglandwirte 33.315,75
Limburg-Weilburg DZ - Rückerstattung 52.418,15

Limburg-Weilburg Milchverringerungsbeihilfe 337,54 22.000]

0
0,00 0,

©

0

Limburg-Weilburg DZ - Basisprämie 1.174.069,58

Limburg-Weilburg DZ - Rückerstattung 26.847,12
Limburg-Weilburg DZ - Basisprämie 1.753.767,03

Z v 0,00

Limburg-Weilburg [iz 2 2___|DZ-Basispramie | 396.75582

Limburg-Weilburg DZ - Greening 459.619,90 0,00
Limburg-Weilburg DZ - Junglandwirte 32.472,36 o0ol 0,00]
9

Anlage 2

Limburg-Weilburg

DZ - Umverteilungsprämie 20350531  00|l 0,00] 40.385,03
Limburg-Weilburg

DZ - Greening 163.871,54 163.871,54

r
„
’
’

Limburg-Weilburg jez ____[Dz- Junglanduirte so) on] oo] 000} 588,09

 

Limburg-Weilburg DZ - Rückerstattung 8.894,80 8.894,80

SUMME: 45.008.660,07 3.375.418,67 1.030.545,51 1.857.612,29 51.272.236,54
10

Zur nächsten Seite