Verteilung von EU-Mitteln im Landkreis Wetterau

/ 12
PDF herunterladen
20. Wahlperiode                                                                    Drucksache 20/321 HESSISCHER LANDTAG                                                                          30. 04. 2019 Kleine Anfrage Lisa Gnadl (SPD) vom 12.03.2019 Verteilung von EU-Mitteln im Landkreis Wetterau und Antwort Ministerin für Bundes- und Europaangelegenheiten und Bevollmächtigten des Landes Hessen beim Bund Vorbemerkung Ministerin für Bundes- und Europaangelegenheiten und Bevollmächtigten des Landes Hessen beim Bund: Es wird darauf hingewiesen, dass zur Beantwortung der Kleinen Anfrage nur geförderte Maß- nahmen im Bereich der dezentral, in den Hessischen Ministerien verwalteten EU-Strukturfonds (sowie den hierzu erforderlichen Landes- und Bundesmitteln zur Kofinanzierung) im Zeitraum 2014 bis 2018 aufgeführt werden: des Europäischen Fonds für die regionale Entwicklung (EFRE), des Europäischen Landwirtschaftsfonds für die Entwicklung des ländlichen Raums (ELER), des Europäischen Garantiefonds für die Landwirtschaft (EGFL) und des Europäischen Sozialfonds (ESF). Darüber hinausgehende, in anderen Förderprogrammen aus rein nationalen oder supranationalen Mitteln gewährte Förderungen sind nicht enthalten. Bei der Beantwortung der Fragen in Bezug auf EFRE wurden die Daten zum IWB-Programm Hessen EFRE 2014 bis 2020 des WIBank Infoportals als Grundlage genommen. Zu den Sum- men ist anzumerken, dass es angesichts der zwei Jahre nachlaufenden Förderperiode 2007 bis 2013 (bzw. drei Jahre: Förderperiode 2014 bis 2020) höhere Zahlungen aus EU-Mitteln seit 2014 gegeben haben kann. Die Antwort bezieht sich nur auf Mittel, die aus der Förderperiode 2014 bis 2020 stammen. Für einige Vorhaben kann der Fall entstehen, dass die Summe aus den bewilligten kommunalen Mitteln und den bewilligten EFRE-Mitteln einen höheren Betrag ergibt als jener der förderfähigen Gesamtausgaben. Dies ist damit zu erklären, dass kommunale Mittel zusätzlich auch zur Deckung der nicht förderfähigen Ausgaben eingesetzt werden. Zu den Förderungen im Bereich Landwirtschaft ist festzuhalten: Die Direktzahlungen aus dem EGFL umfassen überwiegend die jährlich gezahlte sog. Betriebsprämie und darüber hinaus sek- torale Stützungsprogramme (z. B. Obst/Gemüse, Wein) und bestehen zu 100 % aus Mitteln der Europäischen Union. Die Mittel des ELER umfassen verschiedene Fördermaßnahmen und wer- den in der Regel zu 50 % (z. T. zu 25 %) aus nationalen Mitteln kofinanziert. Die ELER-Förderung wird in Hessen über den „Entwicklungsplan für den ländlichen Raum 2014-2020“ (EPLR) umgesetzt und unterteilt sich in investive Projektförderungen (z.B. das Einzelbetriebliche Förderprogramm Landwirtschaft (Agrarinvestitionsförderprogramm, Förde- rung von Investitionen zur Diversifizierung), die Förderung der Dorf- und Regionalentwicklung (einschließlich LEADER), die Förderung des Breitbandausbaus im ländlichen Raum, die Förde- rung der Flurneuordnung, Förderungen im Forstbereich) sowie Flächenfördermaßnahmen (z. B. die Förderung der Ausgleichszulage für die Bewirtschaftung von Flächen in von Natur aus be- nachteiligten Gebieten (AGZ) oder die Förderung für die Teilnahme am Hessischen Programm für Agrarumwelt- und Landschaftspflege-Maßnahmen (HALM)). Die nationale Kofinanzierung kann sich je nach Maßnahme aus Bundes-, Landes- und kommu- nalen Mitteln zusammensetzen. Die Bundesmittel werden für eine Vielzahl von Fördermaßnah- men im Rahmen der Gemeinschaftsaufgabe zur Verbesserung der Agrarstruktur und des Küs- tenschutzes (GAK) gewährt. Die GAK-Mittel setzen sich zu 60 % aus Bundes- und zu 40 % aus Landesmitteln zusammen. Diese Mittel werden in Abhängigkeit einzelner Fördermaßnahmen entweder ausschließlich oder als nationale Kofinanzierung der ELER-Mittel eingesetzt. Eingegangen am 30. April 2019 · Bearbeitet am 30. April 2019 · Ausgegeben am 3. Mai 2019 Herstellung: Kanzlei des Hessischen Landtags · Postfach 3240 · 65022 Wiesbaden · www.Hessischer-Landtag.de
1

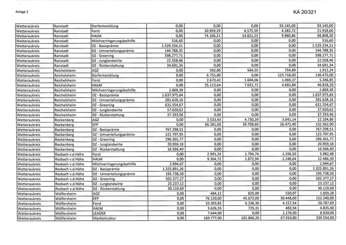
2                                  Hessischer Landtag · 20. Wahlperiode · Drucksache 20/321 Die jeweilige Förderquote ist in den verschiedenen Fördermaßnahmen unterschiedlich. In den Flächenförderungen (z. B. in der Ausgleichszulage und in einem Großteil der Förderung von Agrarumweltmaßnahmen) wird ein Wert je Hektar gewährt, in den Bereichen der investiven Förderung ein Fördersatz von in der Regel 20 % bis 40 % der förderfähigen Projektkosten. Diese Vorbemerkung vorangestellt, beantworte ich die Kleine Anfrage im Einvernehmen mit dem Hessischen Minister für Wirtschaft, Energie, Verkehr und Wohnen, dem Hessischen Mi- nister für Soziales und Integration und der Hessischen Ministerin für Umwelt, Klimaschutz, Landwirtschaft und Verbraucherschutz wie folgt: Frage 1.   Für welche Projekte, in welcher Höhe und mit welcher Förderquote flossen EU-Mittel seit Be- ginn der Förderperiode 2014 in den Landkreis Wetterau? Frage 2.   a) Welche Projekte wurden in welcher Höhe und mit welcher Förderquote im Landkreis Wetter- au bezuschusst? b) Wie sah die Komplementärfinanzierung durch das Land, den Kreis und die Stadt/Gemeinde aus? Frage 3.   Welche Bundesmittel flossen seit 2014 mit welcher Förderquote, für welche Projekte in den Landkreis Wetterau und wie sieht die Komplementärfinanzierung aus? Die Fragen 1 bis 3 werden aufgrund des Sachzusammenhangs gemeinsam beantwortet. Europäischer Fonds für die regionale Entwicklung (EFRE) In der aktuellen Förderperiode wurde bisher 4 Projekten aus dem Landkreis Wetterau eine För- derung mit EFRE-Mitteln in Höhe von insgesamt 839.307,00 € zugesagt. Die einzelnen Projek- te inkl. der Förderquote sind in der Anlage aufgelistet. Die einzelnen Projekte inkl. der Förder- quote sowie die Angaben für die Komplementärfinanzierung sind der in Anlage 1 beigefügten Übersicht zu entnehmen. Europäischer Landwirtschaftsfonds für die Entwicklung des ländlichen Raums (ELER) und Europäischer Garantiefonds für die Landwirtschaft (EGFL) Aus Datenschutzgründen sowie wegen der in der Regel hohen Fallzahlen bei einzelnen Maß- nahmen (z. B. EU-Direktzahlungen des EGLF mit jährlich bis zu 20.000 Antragstellern, Aus- gleichszulage für benachteiligte Gebiete mit bis zu 10.000 Antragstellern) beschränkt sich die Beantwortung der Fragen auf die Darstellung der Ergebnisse in den einzelnen Fördermaßnah- men auf Ebene der Kommune und kann nicht auf Einzelvorhaben heruntergebrochen werden. Aus der in Anlage 2 beigefügten Übersicht geht hervor, in welcher Höhe EU-Mittel in den je- weiligen Fördermaßnahmen in der laufenden Förderperiode 2014 - 2020 im Landkreis Wetterau bis zum 31. Dezember 2018 ausgezahlt wurden. Bundesmittel werden für eine Vielzahl von Fördermaßnahmen im Rahmen der Gemeinschafts- aufgabe zur Verbesserung der Agrarstruktur und des Küstenschutzes (GAK) gewährt. Die GAK-Mittel setzen sich zu 60 % aus Bundes- und zu 40 % aus Landesmitteln zusammen. Unter Bezug auf die datenschutzrechtliche Problematik sind die Bundesmittel auf Ebene der Kommu- nen als Summe in den verschiedenen Fördermaßnahmen aufgeführt. Europäischer Sozialfonds (ESF) Mit Stand 21.03.2019 wurden dem LK Wetterau ESF-Mittel in Höhe von 1.872.194,74 € be- willigt. Die Förderquote bemisst sich als Quotient aus den bewilligten ESF-Mitteln und den för- derfähigen Gesamtkosten und liegt bei 41,1 %. Die bewilligten Landesmittel aus ESF- Programmen betragen insgesamt 764.600,00 €. Die kommunale Kofinanzierung liegt insgesamt bei 115.300,00 €, die Kofinanzierung aus Bundesmitteln bei insgesamt 1.366.100,00 €. Infor- mationen, wie sich die Mittel auf Städte/Gemeinden bzw. den Landkreis verteilen und welche einzelnen Projekte gefördert wurden, können der in Anlage 3 beigefügten Übersicht entnommen werden. Frage 4.   Wie hoch sind die zugesagten und am 31.12.2018 noch nicht abgerufenen Mittel getrennt nach Stadt bzw. Gemeinde und Projekt? Europäischer Fonds für die regionale Entwicklung (EFRE) Die Angaben sind der in Anlage 1 beigefügten Übersicht zu entnehmen. Europäischer Landwirtschaftsfonds für die Entwicklung des ländlichen Raums (ELER) und Europäischer Garantiefonds für die Landwirtschaft (EGFL) Vergleiche Antwort zu den Fragen 1 bis 3. Die Umsetzung investiver Fördervorhaben erstreckt sich in der Regel über mehrere Jahre. In diesen Fällen werden neben den Bewilligungsmitteln des laufenden Jahres auch Verpflichtungs-
2

Hessischer Landtag · 20. Wahlperiode · Drucksache 20/321        3 ermächtigungen kommender Jahre bewilligt. Die Fördermittel werden im Rahmen von Auszah- lungsanträgen mit Verwendungsnachweisen nach Baufortschritt im Bewilligungsjahr bzw. in den jeweiligen Verpflichtungsjahren abgerufen. Es ist davon auszugehen, dass fast alle bewilligten Mittel auch abgerufen werden. Europäischer Sozialfonds (ESF) Von den bewilligten Mitteln wurden bislang Mittel in Höhe von insgesamt 675.823,04 € noch nicht abgerufen. Informationen, wie sich die noch nicht abgerufenen Mittel auf Städ- te/Gemeinden bzw. den Landkreis sowie auf die einzelnen Projekte verteilen, können der in An- lage 3 beigefügten Übersicht entnommen werden. Eine Auswertung der noch nicht abgerufenen Mittel zum 31.12.2018 wäre technisch sehr aufwendig, so dass nur der aktuelle Stand zum 21.03.2019 mitgeteilt werden kann. Frage 5.   Welche EU-Fördermittel und Bundesmittel konnten von den Gemeinden und dem Landkreis Wet- terau nicht abgerufen werden, weil Komplementärmittel des Landes fehlten? Für alle in den jeweiligen Haushaltsplänen veranschlagten EU- und Bundesmittel waren die notwendigen hessischen Komplementärmittel vorhanden. Insofern konnten alle verfügbaren und bewilligten EU- und Bundesmittel auch abgerufen werden. Wiesbaden, 29. April 2019 Lucia Puttrich Anlagen
3

KA 20/321
4

KA 20/321
5

KA 20/321
6

KA 20/321
7

KA 20/321
8

KA 20/321
9

KA 20/321
10

Zur nächsten Seite