Zum Hauptinhalt springen
Menü
FragDenStaat
Spenden
Spenden
Anfragen
Anfragen entdecken
Anfrage stellen
Einsteiger-Guide
Recherchen
Klagen
Aktionen
Alle Aktionen
Beratung
Gegenrechtsschutz
Klima-Helpdesk
Über uns
Newsletter
Spenden
Anmelden
Konto erstellen
Anfragen
Behörden
Dokumente
Recherchen
Handbuch der Informationsfreiheit
Hilfe
Suchen
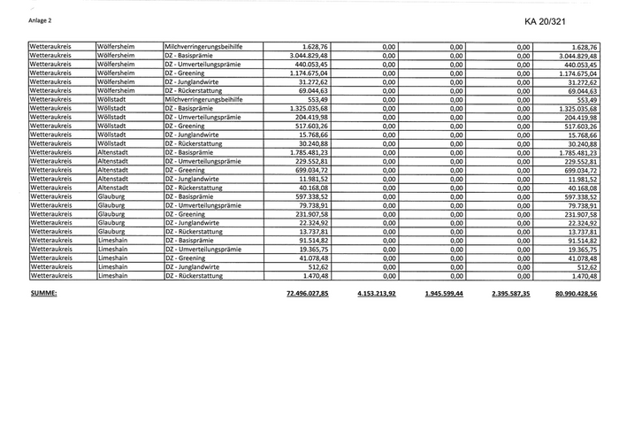
Verteilung von EU-Mitteln im Landkreis Wetterau
/ 12
Dokumentendetails
Zeige/verstecke Text
PDF herunterladen
11
12
KA 20/321
KA 20/321