Verteilung von EU-Mitteln im Landkreis Main-Taunus-Kreis

/ 8
PDF herunterladen
20. Wahlperiode                                                                    Drucksache 20/326 HESSISCHER LANDTAG                                                                          06. 05. 2019 Kleine Anfrage Nancy Faeser (SPD) vom 19.03.2019 Verteilung von EU-Mitteln und Bundesmitteln im Landkreis Main-Taunus und Antwort Ministerin für Bundes- und Europaangelegenheiten und Bevollmächtigten des Landes Hessen beim Bund Vorbemerkung Ministerin für Bundes- und Europaangelegenheiten und Bevollmächtigten des Landes Hessen beim Bund: Es wird darauf hingewiesen, dass zur Beantwortung der Kleinen Anfrage nur geförderte Maß- nahmen im Bereich der dezentral, in den Hessischen Ministerien verwalteten EU-Strukturfonds (sowie den hierzu erforderlichen Landes- und Bundesmitteln zur Kofinanzierung) im Zeitraum 2014 bis 2018 aufgeführt werden: des Europäischen Fonds für die regionale Entwicklung (EFRE), des Europäischen Landwirtschaftsfonds für die Entwicklung des ländlichen Raums (ELER), des Europäischen Garantiefonds für die Landwirtschaft (EGFL) und des Europäischen Sozialfonds (ESF). Darüber hinausgehende, in anderen Förderprogrammen aus rein nationalen oder supranationalen Mitteln gewährte Förderungen sind nicht enthalten. Bei der Beantwortung der Fragen in Bezug auf EFRE wurden die Daten zum IWB-Programm Hessen EFRE 2014 bis 2020 des WIBank Infoportals als Grundlage genommen. Zu den Sum- men ist anzumerken, dass es angesichts der zwei Jahre nachlaufenden Förderperiode 2007 bis 2013 (bzw. drei Jahre: Förderperiode 2014 bis 2020) höhere Zahlungen aus EU-Mitteln seit 2014 gegeben haben kann. Die Antwort bezieht sich nur auf Mittel, die aus der Förderperiode 2014 bis 2020 stammen. Für einige Vorhaben kann der Fall entstehen, dass die Summe aus den bewilligten kommunalen Mitteln und den bewilligten EFRE-Mitteln einen höheren Betrag ergibt als jener der förderfähigen Gesamtausgaben. Dies ist damit zu erklären, dass kommunale Mittel zusätzlich auch zur Deckung der nicht förderfähigen Ausgaben eingesetzt werden. Zu den Förderungen im Bereich Landwirtschaft ist festzuhalten: Die Direktzahlungen aus dem EGFL umfassen überwiegend die jährlich gezahlte sog. Betriebsprämie und darüber hinaus sek- torale Stützungsprogramme (z. B. Obst/Gemüse, Wein) und bestehen zu 100 % aus Mitteln der Europäischen Union. Die Mittel des ELER umfassen verschiedene Fördermaßnahmen und wer- den in der Regel zu 50 % (z. T. zu 25 %) aus nationalen Mitteln kofinanziert. Die ELER-Förderung wird in Hessen über den „Entwicklungsplan für den ländlichen Raum 2014-2020“ (EPLR) umgesetzt und unterteilt sich in investive Projektförderungen (z. B. das Einzelbetriebliche Förderprogramm Landwirtschaft (Agrarinvestitionsförderprogramm, Förde- rung von Investitionen zur Diversifizierung), die Förderung der Dorf- und Regionalentwicklung (einschließlich LEADER), die Förderung des Breitbandausbaus im ländlichen Raum, die Förde- rung der Flurneuordnung, Förderungen im Forstbereich) sowie Flächenfördermaßnahmen (z. B. die Förderung der Ausgleichszulage für die Bewirtschaftung von Flächen in von Natur aus be- nachteiligten Gebieten (AGZ) oder die Förderung für die Teilnahme am Hessischen Programm für Agrarumwelt- und Landschaftspflege-Maßnahmen (HALM)). Die nationale Kofinanzierung kann sich je nach Maßnahme aus Bundes-, Landes- und kommu- nalen Mitteln zusammensetzen. Die Bundesmittel werden für eine Vielzahl von Fördermaßnah- men im Rahmen der Gemeinschaftsaufgabe zur Verbesserung der Agrarstruktur und des Küs- tenschutzes (GAK) gewährt. Die GAK-Mittel setzen sich zu 60 % aus Bundes- und zu 40 % aus Landesmitteln zusammen. Diese Mittel werden in Abhängigkeit einzelner Fördermaßnahmen entweder ausschließlich oder als nationale Kofinanzierung der ELER-Mittel eingesetzt. Die jeweilige Förderquote ist in den verschiedenen Fördermaßnahmen unterschiedlich. In den Flächenförderungen (z. B. in der Ausgleichszulage und in einem Großteil der Förderung von Eingegangen am 6. Mai 2019 · Bearbeitet am 6. Mai 2019 · Ausgegeben am 9. Mai 2019 Herstellung: Kanzlei des Hessischen Landtags · Postfach 3240 · 65022 Wiesbaden · www.Hessischer-Landtag.de
1

2                                  Hessischer Landtag · 20. Wahlperiode · Drucksache 20/326 Agrarumweltmaßnahmen) wird ein Wert je Hektar gewährt, in den Bereichen der investiven Förderung ein Fördersatz von in der Regel 20 % bis 40 % der förderfähigen Projektkosten. Diese Vorbemerkung vorangestellt, beantworte ich die Kleine Anfrage im Einvernehmen mit dem Hessischen Minister für Wirtschaft, Energie, Verkehr und Wohnen, dem Hessischen Mi- nister für Soziales und Integration und der Hessischen Ministerin für Umwelt, Klimaschutz, Landwirtschaft und Verbraucherschutz wie folgt: Frage 1.   Für welche Projekte, in welcher Höhe und mit welcher Förderquote flossen EU-Mittel seit Be- ginn der Förderperiode 2014 in den Landkreis Main-Taunus? Frage 2.   a) Welche Projekte wurden in welcher Höhe und mit welcher Förderquote im Landkreis Main- Taunus bezuschusst? b) Wie sah die Komplementärfinanzierung durch das Land, den Kreis und die Stadt/Gemeinde aus? Frage 3.   Welche Bundesmittel flossen seit 2014 mit welcher Förderquote, für welche Projekte in den Landkreis Main-Taunus und wie sieht die Komplementärfinanzierung aus? Die Fragen 1 bis 3 werden aufgrund des Sachzusammenhangs gemeinsam beantwortet. Europäischer Fonds für die regionale Entwicklung (EFRE) In der aktuellen Förderperiode wurde bisher 11 Projekten aus dem Main-Taunus-Kreis eine Förderung mit EFRE-Mitteln in Höhe von insgesamt 7.016.477,00 € zugesagt. Die einzelnen Projekte inkl. der Förderquote sowie die Angaben für die Komplementärfinanzierung sind der in Anlage 1 beigefügten Übersicht zu entnehmen. Europäischer Landwirtschaftsfonds für die Entwicklung des ländlichen Raums (ELER) und Europäischer Garantiefonds für die Landwirtschaft (EGFL) Aus Datenschutzgründen sowie wegen der in der Regel hohen Fallzahlen bei einzelnen Maß- nahmen (z. B. EU-Direktzahlungen des EGLF mit jährlich bis zu 20.000 Antragstellern, Aus- gleichszulage für benachteiligte Gebiete mit bis zu 10.000 Antragstellern) beschränkt sich die Beantwortung der Fragen auf die Darstellung der Ergebnisse in den einzelnen Fördermaßnah- men auf Ebene der Kommune und kann nicht auf Einzelvorhaben heruntergebrochen werden. Aus der in Anlage 2 beigefügten Übersicht geht hervor, in welcher Höhe EU-Mittel in den je- weiligen Fördermaßnahmen in der laufenden Förderperiode 2014 - 2020 im Landkreis Main- Taunus bis zum 31. Dezember 2018 ausgezahlt wurden. Bundesmittel werden für eine Vielzahl von Fördermaßnahmen im Rahmen der Gemeinschafts- aufgabe zur Verbesserung der Agrarstruktur und des Küstenschutzes (GAK) gewährt. Die GAK-Mittel setzen sich zu 60 % aus Bundes- und zu 40 % aus Landesmitteln zusammen. Unter Bezug auf die datenschutzrechtliche Problematik sind die Bundesmittel auf Ebene der Kommu- nen als Summe in den verschiedenen Fördermaßnahmen aufgeführt. Europäischer Sozialfonds (ESF) Mit Stand 21.03.2019 wurden dem LK Main-Taunus ESF-Mittel in Höhe von 431.320,20 € bewilligt. Die Förderquote bemisst sich als Quotient aus den bewilligten ESF-Mitteln und den förderfähigen Gesamtkosten und liegt bei 50,0 %. Die bewilligten Landesmittel aus ESF-Programmen betragen insgesamt 39.900,00 €. Die kommunale Kofinanzierung liegt insge- samt bei 274.700,00 €, die Kofinanzierung aus Bundesmitteln bei insgesamt 0,00 €. Informatio- nen, wie sich die Mittel auf Städte/Gemeinden bzw. den LK verteilen und welche einzelnen Projekte gefördert wurden, können der in Anlage 3 beigefügten Übersicht entnommen werden. Frage 4.   Wie hoch sind die zugesagten und am 31.12.2018 noch nicht abgerufenen Mittel getrennt nach Stadt bzw. Gemeinde und Projekt? Europäischer Fonds für die regionale Entwicklung (EFRE) Die Angaben sind der in Anlage 1 beigefügten Übersicht zu entnehmen Europäischer Landwirtschaftsfonds für die Entwicklung des ländlichen Raums (ELER) und Europäischer Garantiefonds für die Landwirtschaft (EGFL) Vergleiche Antwort zu den Fragen 1 bis 3. Die Umsetzung investiver Fördervorhaben erstreckt sich in der Regel über mehrere Jahre. In diesen Fällen werden neben den Bewilligungsmitteln des laufenden Jahres auch Verpflichtungs- ermächtigungen kommender Jahre bewilligt. Die Fördermittel werden im Rahmen von Auszah- lungsanträgen mit Verwendungsnachweisen nach Baufortschritt im Bewilligungsjahr bzw. in den
2

Hessischer Landtag · 20. Wahlperiode · Drucksache 20/326           3 jeweiligen Verpflichtungsjahren abgerufen. Es ist davon auszugehen, dass fast alle bewilligten Mittel auch abgerufen werden. Europäischer Sozialfonds (ESF) Von den bewilligten Mitteln wurden bislang Mittel in Höhe von insgesamt 114.823,24 € noch nicht abgerufen. Informationen, wie sich die noch nicht abgerufenen Mittel auf Städ- te/Gemeinden bzw. den Landkreis sowie auf die einzelnen Projekte verteilen, können der in An- lage 3 beigefügten Übersicht entnommen werden. Eine Auswertung der noch nicht abgerufenen Mittel zum 31.12.2018 wäre technisch sehr aufwendig, so dass nur der aktuelle Stand zum 21.03.2019 mitgeteilt werden kann. Frage 5.   Welche EU-Fördermittel und Bundesmittel konnten von den Gemeinden und dem Landkreis Main-Taunus nicht abgerufen werden, weil Komplementärmittel des Landes fehlten? Für alle in den jeweiligen Haushaltsplänen veranschlagten EU- und Bundesmittel waren die notwendigen hessischen Komplementärmittel vorhanden. Insofern konnten alle verfügbaren und bewilligten EU- und Bundesmittel auch abgerufen werden. Wiesbaden, 6. Mai 2019 Lucia Puttrich Anlagen
3

CA 23%

Anlage 1

   
        
    

  

     

    

       
      

        
      

 

   

Gesamtbetrag der
förderfähigen Ausgaben

 
   

  
  
 

Bewilligte EFRE-Mittel Komplementärfinanzierung

durch Bundesmittel in€

Komplementärfinanzierung
durch Landesmittelin€

Komplementärfinanzierung
durch kommunale Mittel in €

Bisher nicht abgerufene EFRE-Mittel in
€- Stand 21.03.2019

 
  
  

       

   
 
 
 
  
   
   

Name des Begünstigten Bezeichnung des Vorhabens EFRE-Förderquote

 

     

 

jo ae one
[RKW HessenGmbH  _ _ ________|Beratung-Innovationsförderprogrammeundpus | 250418194] __1.252.090,00€| 0 00 70 od _______180.,570,20€|
[RW Hessen Gmbh |peratung-Innovationsförderprogrammeundplus | ____gso.sooo 000 sol one on oo ________358.016,64€|
[RKW Hessen GmbH _  _ |Beratung-innovationsförderprogrammeundPlüs | ____6500.00225£] 3300000] sol 2 oo  omfJ  ooed _________3.300.000.00.€|
[RW Hessen GmbH _ Maßnahmen zursteigerungderGründungsbereitschaft __ | _____eo.0o0.00c] ze sl one nooLl on __________0o0e
314.400 __157.222.00€| SO 00 10 one —2.,686,88€
[Rcw HessenGmbh _ Maßnahmen zursteigerungderGründungsbereitschaft | _____co.conoo sol sol one sun on ________19.925,25€|
[RW HessenGmbH _ Maßnahmen zursteigerungderGründungsbereitschaft _ | 31450000] 12000 a] onl  ıaumrLa [oo _______50.22100€
[Rıcw Hessen Gmbn_ — —  —[perriebsbertug ——L——— N | __120.00c| oral sol ol Val om ________152.619,92€)
[RW Hessen GmbH _  [Berriebsberatung —— | ___ snsase  zır0on0l mM om om on ________52.930,50€|
Betriebsberatung 164152000]  sos00cd a om zul om  246.272,73€|
[re Sr |serer se green 2 SR Teen BCE TED EEE WERBEN | EEE EEE | BERGEN EEE HERREN
Pe le te se Sn ER PEN | PIIOrP SEP. | SPOT BE | BE 1er SEE Sun BE ur sr ar agree Jet er BEE EBENE
[me pe Tg Fre 7 CE > wem VCH BETEN RT BES HEE AR | HLR OLEE = =BEHRCRNRENÄ 13 L
el ern ET BRUCE en spe Er | U GE LEHE SERUM EEE NER HE PS HE RUHE „FE |
er je er BE Fee Be EEE | EEE BEE | EEE BEN EEEE EEE  EEEELEEEEEE
BEE EUEEEEEEENEESEE EEE EB ETSEESFENIT HET BEUTE VERGEHEN FL SSRESERTEEO EG EHE OR ÜAUEFFAOSFEN 2 OBNNJE: BEFEHL HELGE ESER ESSENER]
DO er al © Sur SER Bee Ense ERBE | EEE EEE | BERGE ES EEE BEER | EEE EEE
a ee En | | BEER | BET EEE BIENEN EEE JENANNEENGEREEE EEE
4

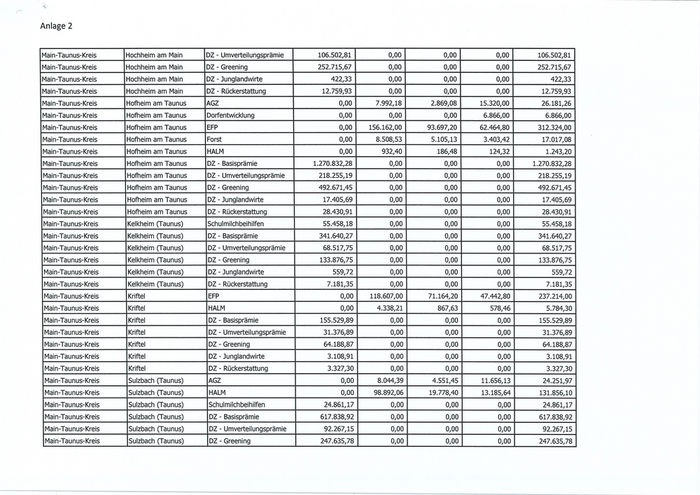
Anlage 2

EU-Förderung im Landkreis Main-Taunus
Landwirtschaftsförderung und Förderung des ländlichen Raumes
Ausgezahlte Fördermittel 2014 - 2018

Hinweis: nicht berücksichtigt wurden Auszahlungen aus rein nationalen Mitteln außerhalb des Entwicklungsplans für den ländlichen Raum (EPLR)

Zuordnungsbasis: Wohnort des Zuwendungsempfängers

     
  
  
 
  

          
 
  

Main-Taunus-kreis |[BadsodenamTamıs ız_2D2DOD |
Main-TaunusKreis __|Badsodenam Taunus PD |
Main-Taunus-Kreis
Main-Taunus-Kreis
-Taunus-Kreis

6.286,70 7.951,46
6.499,00 3.899,40
35.411,01 7.082,19

  

0,00

26.118,76
12.998,00
47.214,70
271.256,28
34.153,55
100.472,87
136,36
6.221,62
68.896,57
1.107.531,78
0,00 vo] 16720144 |
| 00] 00] oo] 40.01808|
00

  
  
  
   
  
   
  
  

  
   
 

 

    
 
 

zZ
.I2
53

D
N
)

 
   
     

Kreis

212
2. |
71?
[a
eg; IE
> 13
ce Ic
5 [&

AGZ
EFP
Bad Soden am Taunus DZ - Junglandwirte 136,36
Bad Soden am Taunus DZ - Rückerstattung 6.221,62
Flörsheim am Main 68.896,57

Kreis

zZ
©
53

-Taunus-Kreis

      
  
     
      

-Taunus-Kreis

<
8
=

  
 
  
    
    
     
  
  
  
 

      
     
  

in- Kreis

5
©
3
—
©
c
=)
E
”

Main-Taunus-Kreis

  

  

Flörsheim am Main DZ - Basisprämie 1.107.531,78
Flörsheim am Main DZ - Umverteilungsprämie 167.241,44
Flörsheim am Main DZ - Greening 440.018,08

Main-Taunus-Kreis

     

Main-Taunus-Kreis

vol oo] 1409311
[Försheim am Main __|pz-Rückerstattunge_ | 2unsm]l oo] om] oo] 24.2092
[Hattersheim am man [am — | oo] zum) on] ars] 4175101
[Hattersheim am Main _|DZ-Basispräme | rrar0sel oo] oo] oo] 778.70508|
[Hattersheim am main _|pz-Umverteilungspramie | 111038 l 00] oo] oo] 11.303881
[Hattersheim am Main |pz-Geninnsö” 3 ÜJ zoo] oo] oo] oo] _302.100,37|

   
     

-Taunus-Kreis

  
  
  
 
   
    
  
 
 

-Taunus-Kreis
- Kreis

=
v
5
a
e
3
=
”

zZ |Z&
© |©
"1515

 

Main-Taunus-Kreis
Main-Taunus-Kreis

     
       

  

Main-Taunus-Kreis

  
      
    
  
   

[Hattersheim am main _|pz-Rückerstattung | 1752| oo) oo] om] 17.552,88
Hochheim ammain rer — | ooo| or] anse2eo| 271080] 135.542,00|
Hochheim am man [am _—[—[— | 000] sro] 1e220| 1ossol 10816001
Itochheim am man [en — | nmel oo]l oo] _ooo| _192.85908|
DZ - Basisprämie | mu] 0ml  om| 000] e2ssınss|

-Taunus-Kreis

 
   
   
 
   

-Taunus-Kreis

 

Main-Taunus-Kreis

    
 

     
 

IS
© |®
3.13

  

Main-Taunus-Kreis
5

Anlage 2

   
    
        
   
     
     
   
 

[Main-TaunusKreis __|Hochheimam Main _|D2-Umverteilungsprämie | 106,501 | oo] 0,01

[Main-Taunuskreis __|HochheimamMain _|pz-Greningö 2 | rise] om] 000|

[Main-Taunuskreis __|Hochheimam main __[D2-Junglancwirte | 4223| oo] __000|

[Main-Taunuskreis __|HochheimamMain _|D2-Rückerstattug | 12793] 00] _000|

Main-Taunus-Kreis 00] 00

Main-Taunus-Kreis

Main-Taunus-Kreis

124,32

120022 | 0m] 0,00

2250| o0m| 0,00 0,00| __218.255,19
[Main-Taunuskreis __|Hoeimam Taunus |Dz-Geninnö— 2 | ansıs] om] 0,00 492.671,45
Main-Taunusreis __|Hofmeimam Taunus _|DZ-Junglandwite | rose] o0| om] 000] 17.405,69
[Main-Taunuskreis __|Homeimam Taunus _|D2-Rückerstattung | zeaoı] oo] oo] oo]| 28.001
Main-Taunus-Kreis __|Kelkheim (Taunus) |Schumichbeiniften | ss] ool oo] oo] 5545818|
Main-TaunusKreis __|keikheim (Taunus) _|D2-Basisprame 2 2 | 340027 ]| ool oo] oo] 341.640,27
[Main-Taunuskreis __|Kekheim (Taunus) __|DZ-Umverteilungspramie | _es5ı,5| o0| om] oo] 68.517,75]
[Main-Taunus-kreis Kelkheim (Taunus) _|Dz-Geninnö— 2 | ımu05| 00] oo| oo] 133.876,75|
[Main-TaunusKreis __|keikheim (Taunus) _|DZ-Jungiandwirte | sr] oo] om] om] 559,72
[Main-Taunus-kreis __|Keikheim (Taunus) _|DZ-Rückerstatung_ | zul o0l 00] 00] 7.18.35]
Main-Taunuskreis [et 2 — — — ÄE  —  | 000] a1s0ozoo| 7116420] 4720| 237.21400|
[Main-Taunuskreis [ee 2 — fu — | 00] as] ol sr] 5.78430|
[Main-Taunus-kreis [et 3 2 |pz-Basipme | sol ol oo] oo] 155.528,89|
[Main-Taunusreis Jette 2 2__|pz-Umverteilungsprämie | 313765| o0| om] 000] 31.3760]
[Main-Taunusckreis [et 2 2 2 |pz-cennn 2 2 | car ol om] oo] sa1sser|
Main-TaunuscKreis [Kite 2 2 Jpz-sungente 2 | sus 00l 00] oo] 310801]
v0] 00] 332730

Main-Taunuskreis _Isuzbach (Tan) 3 he | oo] som] assıa5| 11.65613 24.251,97
[Main-Taunus-kreis __ISuibach (Taunus) [Ham —2—2[— | 000] asss200| 19.7840] 131856] 131.856,10

106.502,81
252.715,67
422,33
12.759,93
26.181,26
6.866,00
312.324,00
17.017,08
1.243,20
1.270.832,28

  
   
  
 

0,00

15.320,00
6.866,00
62.464,80
3.403,42

 
 
      

.185,
Main-Taunuskreis __|subach (Taunus) |Schumiichbeiiten | 2asLız| oo] Do]  oo0| 24.861,17
[Main-Taunus-kreis __|Suizbach (Taunus) _|Dz-Basispame 2 | cırssnl on] oo] oo] Kızasasz
Main-Taunuskreis Sulzbach (Taunus) __|DZ-Umverteilungspramie | 9220,15] 00| om] om] 9227.15]
Sulzbach (Taunus) |DZ-Greningö— | zuusel 00] om] oo| 2u7.35,78|

Main-Taunus-Kreis
6

Anlage 2

          
  

  
 
  

[Main-Taunuskreis __|surzbach (Taunus) [D2-Jungtancwite | zu] om) oo] oo] 2554138]
Main-Taunuskreis __|Suzbach (Taunus) |Dz-Rückerstattung | san] 0ml om| oo] 1431182]
[Main-Taunuskreis _|tiederbach am Taunus |D2- Basisprame 2 2 | ass] om] oo] oo] 450.3039|
Main-Taunuskreis __|tiederbach am Taunus |DZ2-Umverteilungsprämie | 7351,95] om] oo] oo] 73.561,59
[Main-Taunusreis __|iederbach am Taunus |pz-Greeninnö_—2—_| 17025] om] om|l oo] 176.006,25|
Main-TaunusKreis |tiederbach am Taunus |D2-Jungiandwirte | 7.53] om] oo] om] 7.425,53
Main-Taunus-Kreis _|Liederbach am Taunus |DZ- Rückerstattung | 1019,04] 0,00] 00| oo] 10.1904
Main-Taunuskreis _jEppstem ——___|Dz-Basisprame | zo) 0ml oo] oo] 307.50714|
[Main-Taunuskreis _lEppstem ___Jpz-umverteilungspramie | au] oml oo| oo] 013707]
Main-Taunuskreis __leppstem Jose 2 | mul oml oo] oo] 12010708]
[Main-Taunuskreis _jeppstem __|pz-Rückerstattung | cs] om] oo] om] ssaer|
DZ - Basisprämie sl 0ml oo] oo] e0c.aasse|
Main-Taunuskreis _lEschbem ____ |pz-umverteilungsprämie | ss] 0oml 2 om| om] 9561714]
Main-Taunuskreis _|Eschbom ___Ipz-Grennns 2 2 | ze] ool oo] oo] 13.008]
Main-Taunuskreis lEschbom __|pz-Rückersiattug | 1a] ol oo] om] sszarl
Main-TaunusKreis _|Schwalbach am Taunus |D2- Basisprame 2 2_| 5953631] 0,00 00| 000] 59.53631|
[Main-TaunusKreis __|schwabach am Taunus |D2-Umverteilungsprämie | 15.554] oo] cool oo] 15.655,44]
Main-Taunuskreis _|Schwalbach am Taunus |D2-Grening_— 2 ÄÜ mic) oml oo] oo] 22186:8|
Main-Taunus-Kreis DZ-Rückerstattung | 10] cool oo] oo] 1.261,60

      

SUMME: 11.072.240,01 530.637,79 260.063,837 208.850,81 12.071.842,48
7

Anlage 3

KA 20/326 Verteilung EU-Mittel im Main-Taunus-Kreis

 

 

 
 
 

 

 

 

 

Datenstand: 21.03.2019
Durchführun [Durchführun IR [Auszahlungsve] 1
jgszeitraum |gszeitraum bewilligte ESF- |bewilligte |Gesamtbewilliguausgezahlte |rpflichtung |Einnahmen/ Andere Kommunale |Sonstige öff. |förderf. Förder

Semeindebezeichnung Nameı Name2 von bis Förderp Landes-mittel [ng Gesamtsumme | Gesamt Projekt Private Mittel | BA-Mittel |Bundesmittel | Landesmittel [Mittel Mittel (Ausgaben _|quote
Bad Soden am Taunus, Stadt Bernard & Lohrmann Partnerschaft 10.10.2018] 31.07.2019 gut ausbilden 2.000,00 0,00 2.000,00, 0.00 2.000,00 0,00 2.156,00 0,00 0,00 0.00 0,00 0,00 4.156,00| 43,1%
Eschborn, Stadt Ramin Dell & Friseure 17.11.2016| 30.06.2017 |gut ausbilden 1.950,20 0,00 1.950,20 1.950,20 0.00 0,00 2.156,00 0,00 0,00 0,00 0.00 0,00 4.106,20| 47,5%
Eschborn, Stadt Ramin Dell & Friseure 17.11.2016] 30.06.2018]eutausblen | 2.000,00 0,00 2.000,00° 2.000,00 0,00 0,00 2.156,00 0,00 0.00 0,00 0,00 0,00 4.156,00| 48,1%
Eschborn, Stadt Ramin Dell & Friseure 17.11.2016] 30.06.2018 |rut ausbilden 2.000,00 0,00 2.000,00 1.573,76 420,24 0,00 2.156,00 0,00 0,00 0.00 0,00 0,00 4.156,00| 43.1%
Eschborn, Stadt [Andreas Schnepf‘ Medizinische Informatik 23.11.2017| 22.11.2018 ]gut ausbilden 2.000,00 0,00 2.000,00 0.00 2.000,00 0,00 2.156,00 0,00 0,00 0.00 0,00 0,00 4.156,00| 48.1%
Eschborn, Stadt MI Solutions GmbH 22.05.2018| 21.05.2019] gut ausbilden 2.000,00 0,00 200.000 ol 2.000,00 0,00 2.156,00 0,00 0,00 0,00 0,00 0,00 4.156,00] 48,1%
Flörsheim am Main, Stadt Steuerbüro Stühler 15.12.2017] 14.122018 er Ude DD | 2.000,00 0,00 2.000,00 0,00 2.000,00 0,00 2.156,00 0,00 0,00 0,00 0,00 0,00 4.156,00] 48,1%
Hochheim am Main, Stadt Steuerberater-Wirtschaftsprüfer 05.04.2018| 04.04.2019 gut ausbilden 12.000,00) 0,00 2.000,00 0,00 2.000,00) 0,00 2.156,00) 0,00 0,00 0,00 0,00 0,00 4.156,00] 43,1%
Hochheim am Main, Stadt Dorn Manhart Steuerberater-Wirtschaftsprüfer 05.04.2018] 04.04.2019 |zut ausbilden 2.000,00' 0,00) 2000| ____0.ool 2.000,00 0,00 2.156,00 0,00 00 __0,0ol 0,00 0,00 4.156,00| 48,1%
Hochhelm am Main, Stadt Dorn Manhart Steuerberater-Wirtschaftsprüfer 19.04.2018| 18.04.2019[gutausbien — | 2.000,00 0,00 2.000,00 0,00 2.000,00 0.00 2.156,00 0.00 0,00 0.00 0,00 0.00 4.156.00| 48.1%
Hofheim am Taunus, Kreisstadt ‚Tupperware Bezirkshandlun: Michaela Kunzo e.K. 01.02.2019| 31.01.2020 gut ausbilden 20000] ___o.ool 2.000,00 0,00, ‚2.000,00 0,00 2.156,00) 0,00 0,00 0.00 0,00 0,00 4.156,00| 48,1%
Kelkheim (Taunus), Stadt Werbeagentur gravhles Inh. Verena Haylegr 24.03.2016| 31.07.2017 |eutausbien 2 ____—— | 2.000,00) 0,00 2.000,00 2.000,00 0,00 0,00 2.156,00 0.00 0.00 0,00 0.00 0,00 4.156,00| 48,1%
Kelkheim (Taunus), Stadt [Aharon Restaurant GmbH 14.04.2016| 13.10.2017 |gutaustden | 745,00 0,00 745,00) 745,00] 0,00 0,00 1.617,00 0,00 0,00 0,00 0,00) 0,00 2362,00] 31,5%
[Kelkheim (Taunus), Stadt [Aharon Restaurant GmbH 30.03.2017| 31.07.2017 ]|gut ausbilden 225.00 0.00 225,00 225,00) 0,00 0,00 2.156,00 0.00 0,00 0.00 0.00 0,00 2381.00| 9,4%
Kelkheim (Taunus), Stadt Waldhotel Kelkhelm Inh. scra Prem — _ ______| 03.08.2017] 31.07.2018 ]eutausbilden 200000 0,00] 2.000,00 507.00 1.493,00 0,00 2.156,00 00l 000] 0,00 0,00 0,00 4.156,00| 48,1%
Kelkheim (Taunus), Stadt Engels + Partner Immobilien Inh. Ellen Ewgo .08.08.2017| 31.08.2018] gut ausbilden 2.000,00) 0,00) 200000 0.00 2.000,00 0,00 2.156,00 0,00 00 __o0ol 0,00 0,00 4.156,00] 48,1%
Kelkheim (Taunus), Stadt Ortwin Ges: Pumpen- und Druckerhähungsanlagen 04.10.2017| 03.10.2018 ut ausbilden 2.000,00] 0,00 2.000,00 2.000,00, 0.00 0.00 2.156,00 0,00 0,00 0,00 0,00 0,00 4.156,00] 48.1%
Kelkheim (Taunus), Stadt [Aharon Restaurant GmbH 05.10.2017 04.10.2018 ]gut ausbilden 2.000,00, 0,00 2.000,00 0,00 2.000,00, 0,00 2.156,00 0,00 0,00 0.00 0,00 0.00 4.156,00| 48.1%
Kelkheim (Taunus), Stadt ‚Aharon Restaurant GmbH 05.10.2017| 04.10.2018] gut ausbilden 2.000,00 0,00 2.000,00 0,00 2.000,00 0,00 21560 __o.ool 0,00 0,00 0,00 0,00 4.156,00| 48,1%
Kelkheim (Taunus), Stadt Ortwin Geo: Pumpen- und Druckerhöhungsanlagen 08.03.2019| 31.08.2019 |gut ausbilden 200000 2 o00l 200.00] ___c0.o0| 2.000,00] 0,00 2.156,00) 0,00 0,00 0,00 0,00 0.00 4.156.00| 48.1%
Kriftel Netperformers |Marketing- & IT-Services GmbH 27.07.2017| 31.07.2018 ut ausbilden 2.000,00, 0,00 2.000,00 1.300,00) 700,00) 0.00 2.156,00 0.00 0.00 0,00 0,00 0.00 4.156,00| 48,1%
Kriftel ACUSplus GmbH 11.12.2017| 10.12.2018 Ude LLL | 2.000,00 0,00 2.000,00] 1.240,00 760,00 0,00 2.156,00) 0,00 0,00 0,00) 0,00 4.156,00] 48,1%
Kriftel Carle + Fatum GmbH & Co. KG 1 16.97.2018] 15.07.2019]eut ausbilden 2.000,00 0,00 2.000,00 0,00 2.000,00 0,00 2.156,00 0,00 0,00 0,00 0,00 4.156,00| 48,1%
Kriftel Carle + Fatum GmbH & Co. KG 16.07.2018| 15.07.2019 gut ausbilden 200001 0,00] 200.0] ___o.ool 2.000,00 0,00 2.156,00| 0.00) 0,00 0,00 000| __4.156.00] 48,1%
Kriftel [Carlo + Fatum GmbH & Co. KG 16.07.2018] 15.07.2019 gut ausbilden 2.000,00 0,00 20000) 0,0] 2.000,00 0,00 2.156,00 0,00 0,00 0,00 4.156,00| 48,1% |
Kriftel (Carle + Fatum GmbH & Co. KG 16.07.2018] 15.07.2019 gut ausbilden 2.000,00 0.00 2.000,00 0,00 2.000,00) 0.00 2.156,00 0,00 0,00 0,00 0,00 4.156,00| 48.1%
Kriftel Offsetdruck Ockel GmbH 14.09.2018| 13.09.2019 ]gut ausbilden 20000 2 ___o.ool 2.000,00 0,00 2.000,00 0,00 2.156,00 0,00) 0,00 0,00 0,00 4.156,00] 48.1%]
Kriftel Elektro Mario Palladino 21.09.2018] 20.09.2019 gut ausbilden 2.000,00 0,00 2.000,00 0,00 2.000,00 0,00 | ___ 0ool 0,00. 4.156,00| 48,1%
Kriftel Carle + Fatum GmbH & Co. KG 29.11.2018] 28.112010 eu Ude —— LT 20000 0.00] 200.000  ___0.ool 2.000,00 0,00 2.156,00 0,00) 0.00 0,00) 0,00 4.156,00| 48,1%
Liederbach am Taunus Werbeagentur gravhics Inh. Varena Häster” 01.08.2017| 31.07.2018 gut ausbilden 2.000,00 0.00 2.000,00 950,00 1.050,00) 0,00 2.156,00 0,00 0,00 0.00 0,00 4.156,00| 43,1%
|Liederbach am Taunus Werbeagentur gravhics Inh. Verena Hatster= 19.10.2018/ 18.10.2019 |gut ausbilden 2.000,00 0,00 2.000,00 0,00 2.000,00' 0,00 2.156,00 00 ___0,0ol 0,00 0,00 0,00 4.156,00| 48,1%
Maln-Taunus-Kreis Diakonie Hessen - Diakonisches Werk Hessen Nassau und Kurhessen 01.01.2016| 31.12.2017|QuAB8 83.200,00| 28.200,00 111.400,00 98.500.001 12.900,00 0,00 5.100,00 0,00 0,00 0,00 49.900,00 0,00|__186.00,00| 50,0%
Main-Taunus-Krels Frankfurter Verein für soziale Helmstätten e. V. 01.05.2016 30.04.2017 |Arbeitsmarktbudget 70.000,00 0,00 70.000.00 70.000,00 0,00 0,00 7377,44 0.00 0.00 0,00 70.000,00 0,00| _147.377,44| 47,5%
Maln-Taunus-Krels Frankfurter Vereln für s0zlale Heimstättan e. V. 01.05.2017 71.200,00 71.200,00 71.200,00 0,00 0,00 5.100,00 0.00 0.00 0,00 71.300,00 0,00| _147.600,00| 48,2%
Main-Taunus-Kreis Diakonie Hessen - Diakonisches Werk Hessen Nassau und Kurhessan 01.01.2018] 30.06.2019|auAs8 70.000,00| 11.700,00 0,00 0,00 0.00 0,00 0,00 7.500.00| 27.500,00| 116.700.00| 60,0%
Maln-Taunus-Krels Frankfurter Verein für soziale Heimstätten c. V. 01.05.2018| 30.04.2019 Arbeitsmarktbudget 75.000,00 0.00 75.000,00 48.400.00| 27.600,00 0.00 2.600,00 00] ___o.ol 0,00 76.000,00 0,00| _154.600,00| 49,2%
Schwalbach am Taunus, Stadt Friseursalon Nuran 31.03.2017| 31.01.2018 gut ausbilden 20000] __ 0,0] 2.000,00 0,00 2.000,00 0,00 2.156,00 0,00 oo ool 0,ool 0,00) 4.156,00| 48,1%

 

 

 

 

 

ESTER UT TETEREF ETF NOTEN SRFERBERFEE TB |
8