Wohnraumversorgung von Studierenden I

/ 11
PDF herunterladen
20. Wahlperiode                                                                    Drucksache 20/1072 HESSISCHER LANDTAG                                                                            22. 01. 2020 Kleine Anfrage Jan Schalauske (DIE LINKE) vom 22.08.2019 Wohnraumversorgung von Studierenden – Teil I und Antwort Ministerin für Wissenschaft und Kunst Vorbemerkung Fragesteller: Der Mangel an bezahlbarem Wohnraum ist an hessischen Hochschulstandorten ein großes Problem, welches dort auch zunehmend Studierende betrifft. Studierende sind in besonderer Weise von den Mietsteigerungen betroffen, da sie als hochmobile Bevölkerungsgruppe oftmals auf Neuvermietungen auf dem „freien“ Markt angewiesen sind, bei denen die Mietenexplosion besonders greifen. In Hessen ist der Anteil der in Wohnhei- men untergebrachten Studierenden im Vergleich zu anderen Bundesländern deutlich unterdurchschnittlich (er 1 lag 2018 in Hessen bei 6,92 %, bundesweit bei 9,6 % ). Die zunehmende Knappheit an bezahlbaren Woh- nungen sowie die damit verbundenen negativen Folgen für Studierende und Hochschulstandorte sind während der letzten Jahre wiederholt in der Presseberichterstattung aufgegriffen worden. Nach dem „Gesetz über die Studentenwerke bei den Hochschulen des Landes Hessen“ ist es u.a. die Aufgabe von Studierendenwerken, die sozialen Belange von Studierenden und den studentischen Wohnraum zu fördern. Zudem wurde während der letzten Legislaturperiode die Möglichkeit geschaffen, gezielt studentisches Wohnen auf Basis der Rege- lungen der sozialen Wohnraumförderung zu fördern („FR“ vom 07.08.2019). 1  https://www.studentenwerke.de/sites/default/files/181029_dsw_wohnen18_web_2.pdf (Abruf 20.08.2019) Vorbemerkung Ministerin für Wissenschaft und Kunst: Das Land unternimmt große Anstrengungen, um Studierenden bezahlbaren Wohnraum anbieten zu können. Von 2013 bis 2018 hat Hessen gemäß der bundesweiten statistischen Übersicht „Wohnraum für Studierende“, die das Deutsche Studentenwerk“ DSW als Dachverband der Studierendenwerke jährlich herausgibt, mit +13,33 % (bzw. + 1.864 Plätze) den prozentual höchsten Anstieg an Wohnheimplätzen aller Bundesländer erreicht (Bundesdurchschnitt: 5,6 %). Allerdings hat Hessen im gleichen Zeitraum mit +18,81 % (bzw. + 36.255 Studierenden) pro- zentual auch den dritthöchsten Zuwachs bei den Studierendenzahlen (durchschnittlicher Zu- wachs bundesweit: 11,39 %), so dass trotz dieser Anstrengungen die Unterbringungsquote in Wohnheimen nicht gestiegen ist. Im August 2019 konnten dem DSW zur Fortschreibung der o.a. Statistik zum Stichtag 01.01.2019 insgesamt 16.490 und damit 647 öffentlich geförderte Studierendenwohnplätze mehr als im Vorjahr (15.843 Plätze) gemeldet werden. Bezogen auf 227.660 Studierende im Winter- semester 2018/19 beträgt die Versorgungsquote in Hessen rund 7,2 %. Durch das seit 2014 laufende Landesförderprogramm zur Schaffung von günstigem Wohnraum für Studierende konnten bis jetzt bereits 1.014 zusätzliche Wohnheimplätze hergestellt werden. Weitere 297 Wohnplätze befinden sich im Bau und 1.240 Plätze in der Planung, die durch Zu- schüsse oder zinsgünstige Darlehen des Landes Hessen unterstützt werden. Das Angebot wird sich damit allein durch die bereits im Förderverfahren befindlichen Plätze in den nächsten Jah- ren noch um insgesamt weitere 1.537 Plätze verbessern. Das Land Hessen will die Mittel für den sozialen Wohnungsbau – die auch die Förderung von studentischem Wohnraum beinhaltet – bis 2024 weiter auf 2,2 Mrd. € steigern und damit einen weiteren Ausbau ermöglichen. Diese Vorbemerkung vorangestellt, beantworte ich die Kleine Anfrage im Einvernehmen mit dem Hessischen Minister für Wirtschaft, Energie, Verkehr und Wohnen wie folgt: Eingegangen am 22. Januar 2020 · Bearbeitet am 22. Januar 2020 · Ausgegeben am 27. Januar 2020 Herstellung: Kanzlei des Hessischen Landtags · Postfach 3240 · 65022 Wiesbaden · www.Hessischer-Landtag.de
1

2                                  Hessischer Landtag · 20. Wahlperiode · Drucksache 20/1072 Frage 1.   Wie viele Wohnheimplätze für Studierende stehen in Hessen derzeit insgesamt zur Verfügung? (Gebeten wird um Aufschlüsselung nach einzelnen Hochschulstandorten, der Art der Unterbrin- gung (Einzelapartment, Wohngemeinschaft) und Wohnheimträger bzw. Vermieter (Studieren- denwerke, privat betriebene Wohnheime)). In Hessen stehen zum Stichtag 30.06.2019 insgesamt 16.444 öffentlich geförderte Studieren- denwohnheimplätze der hessischen Studierendenwerke und anderer Träger zur Verfügung. Die gegenüber dem zum Stichtag 01.01.2019 geringere Anzahl ergibt sich aus der Sanierung von Wohnheimplätzen in Darmstadt im Sommer 2019, die im Anschluss zum Wintersemester 2019/2020 in renoviertem Zustand wieder zur Verfügung gestellt worden sind. Eine Aufschlüs- selung nach einzelnen Hochschulstandorten, der Art der Unterbringung (Einzelapartments oder Wohngemeinschaften) und Wohnheimträger ist der beigefügten Anlage „Frage 1 und 2 Wohn- heimplätze 01.01.2014 und 30.06.2019 sowie Veränderung“ zu entnehmen, soweit diese Anga- ben den Studentenwerken bekannt sind. Frage 2.   Wie hat sich die Zahl der öffentlich geförderten sowie privat betriebenen Studierendenwohnungen in Hessen zwischen 01.01.2014 und 30.06.2019 verändert? (Um Aufschlüsselung analog zu Fra- ge 1 wird gebeten) Im Zeitraum vom 01.01.2014 bis zum 30.06.2019 ergibt sich ein Anstieg von 14.960 Plätze auf 16.444 Plätze und damit ein Zuwachs um 1.484 Plätze (entspricht ca. + 10 %). Die hessischen Studierenden- und Studentenwerke haben zu den ihnen im Detail bekannten Wohnheimplätzen in Hessen eine Aufschlüsselung nach einzelnen Hochschulstandorten, der Art der Unterbringung (Einzelapartments oder Wohngemeinschaften) und Wohnheimträger für den Zeitraum zwischen 01.01.2014 und 30.06.2019 erstellt, die der beigefügten Anlage „Frage 1 und 2 Wohnheimplätze 01.01.2014 und 30.06.2019 sowie Veränderung“ zu entnehmen ist. Frage 3.   Wie hat sich der Anteil der in Wohnheimplätzen untergebrachten Studierenden in Hessen zwi- schen dem 01.01.2014 und dem 30.09.2019 verändert (um eine Aufschlüsselung analog zu Frage 1 sowie nach Semestern wird gebeten)? Bei der Beantwortung der Frage wurde davon ausgegangen, dass – analog zu Frage 2 – der Zeitraum bis zum 30.06.2019 gemeint ist. Die Veränderung des Anteils der in Wohnheimplätzen der Studierendenwerke untergebrachten Studierenden in Hessen zwischen dem 01.01.2014 und dem 30.06.2019 wird in der beiliegende Anlage „Frage 3 Anteil der Studierenden an den Wohnheimplätzen“ dargestellt. Zum Wintersemester 2013/2014 gab es 14.960 Studierendenwohnheimplätze bei 208.145 Stu- dierenden. Die Unterbringungsquote betrug rund 7,2 %. Im Wintersemester 2018/2019 gab es 16.444 Studierendenwohnheimplätze bei 227.660 Studie- renden. Die Unterbringungsquote beträgt rund 7,2 %. Frage 4.   Wie hat sich die Quadratmeter-Warmmiete in den Wohneinheiten in den letzten fünf Jahren ent- wickelt (um Aufschlüsselung analog zu Frage 1 wird gebeten)? Die beigefügte Tabelle „Frage 4 Entwicklung der Warmmiete in den letzten fünf Jahren“ veran- schaulicht die Entwicklung der den Studentenwerken bekannten monatlichen Warmmieten. Da den Wohnheimplätzen in der Regel Gemeinschaftsbereiche wie beispielsweise Gemeinschaftskü- chen, Aufenthaltsräume, Musikräume, Fitnessräume u. ä. zugeordnet sind und diese Wohn- heimplätze möbliert vermietet werden, werden von den Studentenwerken die monatlichen Warmmieten je Wohnheimplatz angegeben. Die Angabe eines Quadratmeterpreises, der sich al- lein auf die Fläche des jeweiligen Wohnraums zur Alleinbenutzung bezieht, ist häufig nicht möglich bzw. wäre mit den auf dem Wohnungsmarkt genannten Quadratmeterpreisen nicht ver- gleichbar. Die Höhe der Warmmieten für privat betriebene Wohnheime ist den hessischen Studierenden- und Studentenwerken nicht bekannt. Frage 5.   Wie hat sich seit dem 01.01.2014 die Höhe des Einkommensanteils verändert, den Studierende – nicht nur die in Wohnheimen untergebrachten – für die Wohnkosten ausgeben müssen? Um Auf- schlüsselung analog zu Frage 1 wird gebeten Zur Entwicklung der Einkommen der Studierenden und zum Anteil der Wohnkosten an dem Einkommen der Studierenden liegen keine Angaben vor. Zur allgemeinen Orientierung hinsichtlich der Aufwendungen von Studierenden für Miete und Nebenkosten wird auf die 21. Sozialerhebung des Deutschen Studentenwerks „Die wirtschaftli- che und soziale Lage der Studierenden in Deutschland 2016“, Seiten 47 - 51 verweisen.
2

Hessischer Landtag · 20. Wahlperiode · Drucksache 20/1072             3 Frage 6.    Wie viele Studierende verfügen über einen Wohnberechtigungsschein, stehen auf der Warteliste für Sozialwohnungen oder leben derzeit in öffentlich geförderten Wohnungen? (Um Aufschlüsse- lung Hochschulstandort und Prozent der gesamten Studierenden eines Hochschulstandorts wird gebeten) Für die Erteilung von Wohnberechtigungsscheinen ist die jeweils zuständige Wohnungsbehörde der Stadt- oder Gemeindeverwaltung zuständig. Hierüber und über die Belegung sonstiger bele- gungsgebundener Sozialwohnungen liegen der Landesregierung keine Informationen vor. Frage 7.    Wie viele öffentlichen Gelder werden in Hessen seit 2014 pro Jahr für die Wohngeldförderung von Studierenden ausgegeben und wie hat sich dabei der Zuschussanteil an Landesfördermitteln verändert? Laut amtlicher Wohngeldstatistik ergaben sich für die reinen Wohngeldhaushalte der Studieren- den/Auszubildenden (soziale Stellung der Haupteinkommensbezieherin/des Haupteinkommens- beziehers) folgende Wohngeldausgaben für Hessen: 2014                  2015                2016                   2017              2018 318.318 €             305.993 €            414.540 €             377.715 €          352.638 € Diese Wohngeldausgaben wurden vom Bund und dem Land Hessen jeweils zur Hälfte getragen. Das Wohngeld wird als Zuschuss zur Miete gewährt. Studierende haben grundsätzlich keinen Anspruch auf Wohngeld, wenn sie dem Grunde nach einen Anspruch auf BAföG haben, da im BAföG-Bedarf bereits ein Teil für die Wohnkosten vorgesehen ist. Ob tatsächlich BAföG bean- tragt wurde oder bezogen wird, ist für den Anspruch auf Wohngeld unerheblich. In Ausnahme- fällen kann jedoch auch für Studierende ein Anspruch auf Wohngeld bestehen. Beispielsweise wenn BAföG ausschließlich als Bankdarlehen bezogen wird oder, wenn es im Haushalt der/des Studierenden mindestens eine weitere Person (Kinder und/oder sonstige Familienmitglieder bzw. Partner/in) gibt, die weder dem Grunde nach einen Anspruch auf BAföG noch auf Berufs- ausbildungsbeihilfe oder Ausbildungsgeld hat. Frage 8.    Welche Studierendenwohneinheiten werden in den nächsten fünf Jahren nicht mehr als solche ge- nutzt werden können (um Aufschlüsselung analog zu Frage 1 wird gebeten)? Was sind jeweils die Gründe dafür, dass sie umgenutzt werden (um Aufschlüsselung nach einzel- nen Standorten und Projekten wird gebeten)? Alle derzeitigen Studentenwohnheime des Studentenwerks Marburg sollen auch in 5 Jahren noch genutzt werden. Dies gilt nach heutigem Stand auch für das Studierendenwerk Darmstadt. Auch seitens des Studierendenwerks Kassel sind keine Gebäudeabrisse und Umnutzungen ge- plant. Das Wohnheim Gaffkystraße 9 (66 Einzelzimmer) in Gießen ist zurzeit durch das Universitäts- klinikum Gießen und Marburg (UKGM) an das Studentenwerk Gießen überlassen. Die Nutzung kann ab November 2021 wegen Eigenbedarf des UKGM nicht mehr fortgeführt werden. Die beigefügte Anlage „Frage 8 Tabelle des Studentenwerks Frankfurt“ zeigt die aktuell er- folgten und zu erwartenden Abgänge und deren Gründe in den nächsten Jahren. Um diese Abgänge aufzufangen und weiteren Wohnraum für Studierende zu schaffen, sind in Frankfurt am Main diverse bauliche Vorhaben und Mietprojekte in Planung. So ist für 2021 mit dem Wohnheim und International House Riedberg ein Bauvorhaben vorgesehen, mit dem 359 Wohnheimplätze neu geschaffen werden. Darüber hinaus werden seit Herbst 2019 schrittweise zusätzliche Wohneinheiten in der Plattensiedlung in Frankfurt am Main von der ABG Holding angemietet, wodurch in der Summe 173 zusätzliche Plätze entstehen. Weitere Anmietungen in Frankfurt am Main sind für 2022 und 2023 geplant, zum einen in der Saonestraße (60 Plätze), zum anderen im Schönhofquartier (170 Plätze). Ausführlichere Informationen hierzu finden sich in der Beantwortung zur Kleinen Anfrage 20/1073. Wiesbaden, 14. Januar 2020 Angela Dorn Anlagen
3

Anlagen KA 20/1072 Frage 1 und 2 Wohnheimplätze 01.01.2014 und 30.06.2019 sowie Veränderung Studenten- Studenten-                                  Studenten- wohnplätze der davon Einzel-  davon Wohn-                    davon Einzel-  davon Wohn-                davon Einzel-  davon Wohn- Hochschulort     Studenten-     apartments   gemeinschaften wohnplätze apartments   gemeinschaften wohnplätze apartments   gemeinschaften anderer Träger                                insgesamt werke 1              2             3              4                5             6            7              8             9 Darmstadt 01.01.2014            2.745            93          2.652            982               0               0       3.727            93          2.652 30.06.2019            2.530            92          2.438            696               0               0       3.226            92          2.438 Differenz              -215            -1           -214           -286               0               0        -501             -1          -214 Frankfurt am Main 01.01.2014            2.004           638          1.366         1.686                                        3.690 30.06.2019            2.736        1.302           1.434         1.823                                        4.559 Differenz               732           664             68            137               0               0         869              0              0 Friedberg 01.01.2014              216            61            155              0               0               0         216            61            155 30.06.2019              216            61            155              0               0               0         216            61            155 Differenz                  0            0               0             0               0               0             0            0              0 Fulda 01.01.2014              239           116            123              0               0               0         239           116            123 30.06.2019              466           366            100             84               0               0         550           366            100 Differenz               227           250            -23             84               0               0         311           250            -23 Geisenheim 01.01.2014                 0            0               0            60                                           60 30.06.2019               27            27               0            60                                           87 Differenz                27            27               0             0               0               0           27             0              0 Gießen 01.01.2014            2.457           395          2.062              0               0               0       2.457           395          2.062 30.06.2019            2.723           654          2.069              0               0               0       2.723           654          2.069 Differenz               266           259               7             0               0               0         266           259               7 Kassel 01.01.2014            1.082           488            594            244               0               0       1.326           482            594 30.06.2019            1.091           497            594            330               0               0       1.421           497            594 Differenz                  9            9               0             0               0               0           95           15               0 Marburg 01.01.2014            2.072           294          1.778            495               0               0       2.567           294          1.778 30.06.2019            2.008           320          1.688            495               0               0       2.503           320          1.688 Differenz               -64            26            -90              0               0               0          -64           26            -90 Offenbach 01.01.2014                 0            0               0            21                                           21 30.06.2019                 0            0               0            80                                           80 Differenz                  0            0               0            59               0               0           59             0              0 Rüsselsheim 01.01.2014               94            35             59            124                                         218 30.06.2019               94            35             59            124                                         218 Differenz                  0            0               0             0               0               0             0            0              0 Wetzlar 01.01.2014                 0            0               0             0               0               0             0            0              0 30.06.2019                 0            0               0             0               0               0             0            0              0 Differenz                  0            0               0             0               0               0             0            0              0 Wiesbaden 01.01.2014                 0            0               0           439                                         439 30.06.2019               87            87               0           774                                         861 Differenz                87            87               0           335               0               0         422              0              0 Gesamt 01.01.2014          10.909         2.120           8.789         4.051                                       14.960 30.06.2019          11.978         3.441           8.537         4.466                                       16.444 Differenz             1.069        1.321            -252            329               0               0       1.484           549           -320 Seite 1
4

Anlagen KA 20/1072 Frage 3 Anteil der Studierenden an den Wohnheimplätzen Wintersemester 2013/2014 Studenten-                                                                  Studenten- Studenten- wohnplätze der  Anteil in davon Einzel-  Anteil in  davon Wohn-    Anteil in wohnplätze Anteil in davon Einzel- Anteil in  davon Wohn-                                Anteil in davon Einzel-                    davon Wohn-   Anteil in   Anzahl Hochschulort        Studenten-     Prozent    apartments    Prozent   gemeinschaften  Prozent    anderer   Prozent    apartments    Prozent  gemeinschaften Anteil in Prozent wohnplätze Prozent    apartments Anteil in Prozent gemeinschaften Prozent   Studierende insgesamt werke                                                                       Träger 1            2            3           4            5            6          7         8            9          10           11               12            13        14          15               16              17         18           19 Darmstadt              2.745     6,86%              93   0,23%            2.652    6,63%          982    2,46%                                                                3.727     9,32%                                                               39.999 Frankfurt 2.005     3,48%             638   1,11%            1.366    2,37%        1.685    2,92%                                                                3.690     6,40%                                                               57.639 am Main Friedberg                216     4,24%              61   1,20%              155    3,05%                                                                                        216     4,24%            61          1,20%                155                 5.090 Fulda                    239     3,50%             116   1,70%              123    1,80%                                                                                        239     3,50%          116           1,70%                123                 6.835 Geisenheim                                                                                          60   4,95%                                                                    60    4,95%                                                                 1.211 Gießen                 2.457     6,79%             395   1,09%            2.062    5,70%                                                                                      2.457     6,79%          395           1,09%              2.062               36.206 Kassel                   996     4,35%             396   1,73%                                    330    1,44%                                                                1.326     5,79%          396           1,73%                                  22.877 Marburg                2.072     8,06%             294   1,14%            1.778    6,92%          495    1,93%                                                                2.567     9,99%          294           1,14%              1.778               25.700 Offenbach                                                                                           21   3,06%                                                                    21    3,06%                                                                   687 Rüsselshei 94    3,03%              35   1,13%               59    1,90%          124    4,00%                                                                  218     7,03%                                                                 3.100 m Wetzlar                                                                                                                                                                                                                                                       1.191 Wiesbaden                                                                                         439    5,77%                                                                  439     5,77%                                                                 7.610 Gesamt                10.824     5,20%          2.028    0,97%            8.195    3,94%        4.136    1,99%                                                               14.960     7,19%                                                              208.145 Wintersemester 2014/2015 Studenten-                                                                  Studenten- Studenten- wohnplätze der  Anteil in davon Einzel-  Anteil in  davon Wohn-    Anteil in wohnplätze Anteil in davon Einzel- Anteil in  davon Wohn-                                Anteil in davon Einzel-                    davon Wohn-   Anteil in   Anzahl Hochschulort        Studenten-     Prozent    apartments    Prozent   gemeinschaften  Prozent    anderer   Prozent    apartments    Prozent  gemeinschaften Anteil in Prozent wohnplätze Prozent    apartments Anteil in Prozent gemeinschaften Prozent   Studierende insgesamt werke                                                                       Träger Darmstadt              2.765     6,63%              93   0,22%            2.672    6,41%          855    2,05%                                                                3.620     8,68%                                                               41.704 Frankfurt 2.694     4,52%          1.302    2,19%            1.392    2,34%        1.685    2,83%                                                                4.379     7,35%                                                               59.565 am Main Friedberg                216     3,91%              61   1,10%              155    2,81%                                                                                        216     3,91%            61          1,10%                155                 5.521 Fulda                    239     3,15%             116   1,53%              123    1,62%                                                                                        239     3,15%          116           1,53%                123                 7.595 Geisenheim                                                                                          60   4,64%                                                                    60    4,64%                                                                 1.294 Gießen                 2.567     7,04%             513   1,41%            2.054    5,63%                                                                                      2.567     7,04%          513           1,41%              2.054               36.473 Kassel                 1.082     4,57%             482   2,03%                                    330    1,39%                                                                1.412     5,96%          482           2,03%                                  23.696 Marburg                1.889     7,07%             336   1,26%            1.553    5,81%          495    1,85%                                                                2.384     8,92%          336           1,26%              1.553               26.727 Offenbach                                                                                           21   3,02%                                                                    21    3,02%                                                                   696 Rüsselshei 94    2,87%              35   1,07%               59    1,80%          124    3,79%                                                                  218     6,66%                                                                 3.275 m Wetzlar                                                                                                                                                                                                                                                       1.196 Wiesbaden                                                                                         439    5,31%                                                                  439     5,31%                                                                 8.271 Gesamt                11.546     5,35%          2.938    1,36%            8.008    3,71%        4.009    1,86%                                                               15.555     7,20%                                                              216.013 Seite 2
5

Anlagen KA 20/1072 Wintersemester 2015/2016 Studenten-                                                                 Studenten- Studenten- wohnplätze der Anteil in davon Einzel-  Anteil in  davon Wohn-    Anteil in wohnplätze Anteil in davon Einzel- Anteil in  davon Wohn-                                Anteil in davon Einzel-                    davon Wohn-   Anteil in   Anzahl Hochschulort      Studenten-    Prozent    apartments    Prozent   gemeinschaften  Prozent    anderer   Prozent    apartments    Prozent  gemeinschaften Anteil in Prozent wohnplätze Prozent    apartments Anteil in Prozent gemeinschaften Prozent   Studierende insgesamt werke                                                                      Träger Darmstadt            2.536    5,90%              93   0,22%            2.443    5,68%          701    1,63%                                                                3.237     7,53%                                                               42.992 Frankfurt 2.694    4,42%          1.302    2,14%            1.392    2,29%        1.685    2,77%                                                                4.379     7,19%                                                               60.901 am Main Friedberg              216    4,22%              61   1,19%              155    3,03%                                                                                        216     4,22%           61           1,19%                155                 5.115 Fulda                  239    3,42%            116    1,66%              123    1,76%                                                                                        239     3,42%          116           1,66%                123                 6.996 Geisenheim                                                                                       60   4,32%                                                                   60     4,32%                                                                 1.390 Gießen               2.567    6,63%            513    1,32%            2.054    5,30%                                                                                      2.567     6,63%          513           1,32%              2.054               38.738 Kassel               1.088    4,47%            482    1,98%              606    2,49%          330    1,36%                                                                1.418     5,83%          482           1,98%                606               24.318 Marburg              1.889    7,06%            336    1,26%            1.553    5,80%          495    1,85%                                                                2.384     8,91%          336           1,26%              1.553               26.763 Offenbach                                                                                        21   2,99%                                                                   21     2,99%                                                                   702 Rüsselshei 94   2,82%              35   1,05%               59    1,77%          124    3,73%                                                                  218     6,55%                                                                 3.328 m Wetzlar                                                                                                                                                                                                                                                    1.225 Wiesbaden                                                                                      439    4,97%                                                                  439     4,97%                                                                 8.830 Gesamt             11.323     5,12%          2.938    1,33%            8.385    3,79%        3.855    1,74%                                                               15.178     6,86%                                                              221.298 Wintersemester 2016/2017 Studenten-                                                                 Studenten- Studenten- wohnplätze der Anteil in davon Einzel-  Anteil in  davon Wohn-    Anteil in wohnplätze Anteil in davon Einzel- Anteil in  davon Wohn-                                Anteil in davon Einzel-                    davon Wohn-   Anteil in   Anzahl Hochschulort      Studenten-    Prozent    apartments    Prozent   gemeinschaften  Prozent    anderer   Prozent    apartments    Prozent  gemeinschaften Anteil in Prozent wohnplätze Prozent    apartments Anteil in Prozent gemeinschaften Prozent   Studierende insgesamt werke                                                                      Träger Darmstadt            2.524    5,84%              93   0,22%            2.431    5,62%          701    1,62%                                                                3.225     7,46%                                                               43.222 Frankfurt 2.706    4,41%          1.302    2,12%            1.404    2,29%        1.685    2,74%                                                                4.391     7,15%                                                               61.429 am Main Friedberg              216    3,66%              61   1,03%              155    2,62%                                                                                        216     3,66%           61           1,03%                155                 5.906 Fulda                  307    3,59%            116    1,36%              191    2,24%            84   0,98%                                                                  391     4,58%          116           1,36%                191                 8.541 Geisenheim                                                                                       60   4,02%                                                                   60     4,02%                                                                 1.493 Gießen               2.648    6,84%            579    1,50%            2.069    5,35%                                                                                      2.648     6,84%          579           1,50%              2.069               38.696 Kassel               1.090    4,32%            492    1,95%              598    2,37%          330    1,31%                                                                1.420     5,63%          492           1,95%                598               25.220 Marburg              1.949    7,32%            336    1,26%            1.613    6,06%          495    1,86%                                                                1.949     7,32%          336           1,26%              1.613               26.627 Offenbach                                                                                        21   2,94%                                                                   21     2,94%                                                                   714 Rüsselshei 94   2,54%              35   0,95%               59    1,59%          124    3,35%                                                                  218     5,89%                                                                 3.700 m Wetzlar                                                                                                                                                                                                                                                    1.261 Wiesbaden                87   0,95%              87   0,95%                                    643    6,99%                                                                  730     7,94%                                                                 9.195 Gesamt             11.621     5,14%          3.101    1,37%            8.520    3,77%        4.143    1,83%                                                               15.269     6,76%                                                              226.004 Seite 3
6

Anlagen KA 20/1072 Wintersemester 2017/2018 Studenten-                                                                 Studenten- Studenten- wohnplätze der Anteil in davon Einzel-  Anteil in  davon Wohn-    Anteil in wohnplätze  Anteil in davon Einzel- Anteil in  davon Wohn-                                 Anteil in davon Einzel-                    davon Wohn-   Anteil in   Anzahl Hochschulort      Studenten-    Prozent    apartments    Prozent   gemeinschaften  Prozent    anderer    Prozent    apartments    Prozent  gemeinschaften Anteil in Prozent wohnplätze Prozent    apartments Anteil in Prozent gemeinschaften Prozent   Studierende insgesamt werke                                                                      Träger Darmstadt            2.508    5,78%              92   0,21%            2.416    5,56%          696     1,60%                                                                3.204      7,38%                                                               43.424 Frankfurt 2.720    4,30%          1.302    2,06%            1.418    2,24%        1.685     2,66%                                                                4.405      6,96%                                                               63.294 am Main Friedberg              216    3,72%              61   1,05%              155    2,67%                                                                                         216      3,72%           61           1,05%                155                 5.802 Fulda                  363    4,27%            239    2,81%              124    1,46%            84    0,99%                                                                  447      5,26%          239           2,81%                124                 8.495 Geisenheim               27   1,77%              27   1,77%                                      60    3,94%                                                                   87      5,71%                                                                 1.524 Gießen               2.648    6,79%            579    1,48%            2.069    5,30%                                                                                       2.648      6,79%          579           1,48%              2.069               39.010 Kassel               1.092    4,24%            497    1,93%              595    2,31%          330     1,28%                                                                1.422      5,52%          497           1,93%                595               25.740 Marburg              1.949    7,43%            336    1,28%            1.613    6,15%          495     1,89%                                                                2.444      9,32%          336           1,28%              1.613               26.214 Offenbach                                                                                        21    2,76%                                                                   21      2,76%                                                                   760 Rüsselshei 94   2,55%              35   0,95%               59    1,60%          124     3,36%                                                                  218      5,91%                                                                 3.688 m Wetzlar                                                                                                                                                                                                                                                      1.356 Wiesbaden                87   0,90%              87   0,90%                                    643     6,66%                                                                  730      7,57%                                                                 9.648 Gesamt             11.704     5,11%          3.255    1,42%            8.449    3,69%        4.138     1,81%                                                               15.842      6,92%                                                              228.955 Wintersemester 2018/2019 Studenten-                                                                 Studenten- Studenten- wohnplätze der Anteil in davon Einzel-  Anteil in  davon Wohn-    Anteil in wohnplätze  Anteil in davon Einzel- Anteil in  davon Wohn-                                 Anteil in davon Einzel-                    davon Wohn-   Anteil in   Anzahl Hochschulort      Studenten-    Prozent    apartments    Prozent   gemeinschaften  Prozent    anderer    Prozent    apartments    Prozent  gemeinschaften Anteil in Prozent wohnplätze Prozent    apartments Anteil in Prozent gemeinschaften Prozent   Studierende insgesamt werke                                                                      Träger Darmstadt            2.530    5,81%              92   0,21%            2.438    5,60%          696     1,60%                                                                3.226      7,41%                                                               43.532 Frankfurt 2.736    4,38%          1.302    2,08%            1.428    2,28%        1.823     2,92%                                                                4.559      7,29%                                                               62.512 am Main Friedberg              216    3,74%              61   1,06%              155    2,69%                                                                                         216      3,74%           61           1,06%                155                 5.768 Fulda                  466    4,90%            348    3,80%              101    1,10%            84    0,92%                                                                  550      6,00%          348           3,80%                101                 9.168 Geisenheim               27   1,75%              27   1,75%                                      60    3,88%                                                                   87      5,62%                                                                 1.547 Gießen               2.723    6,99%            654    1,68%            2.069    5,31%                                                                                       2.723      6,99%          654           1,68%              2.069               38.956 Kassel               1.091    4,28%            497    1,95%              594    2,33%          330     1,29%                                                                1.421      5,57%          497           1,95%                594               25.495 Marburg              2.008    8,14%            320    1,30%            1.688    6,84%          495     2,01%                                                                2.503    10,15%           320           1,30%              1.688               24.666 Offenbach                                                                                        80   10,31%                                                                   80    10,31%                                                                    776 Rüsselshei 94   2,69%              35   1,00%               59    1,69%          124     3,54%                                                                  218      6,23%                                                                 3.498 m Wetzlar                                                                                                                                                                                                                                                      1.491 Wiesbaden                87   0,85%              87   0,85%                                    774     7,55%                                                                  861      8,40%                                                               10.251 Gesamt             11.978     5,26%          3.423    1,50%            8.532    3,75%        4.466     1,96%                                                               16.444      7,22%                                                              227.660 Seite 4
7

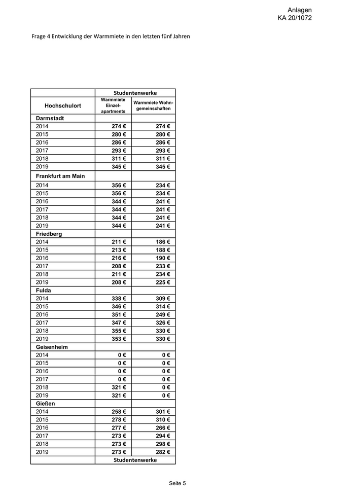
Anlagen KA 20/1072 Frage 4 Entwicklung der Warmmiete in den letzten fünf Jahren Studentenwerke Warmmiete Warmmiete Wohn- Hochschulort           Einzel- gemeinschaften apartments Darmstadt 2014                         274 €            274 € 2015                         280 €            280 € 2016                         286 €            286 € 2017                         293 €            293 € 2018                         311 €            311 € 2019                         345 €            345 € Frankfurt am Main 2014                         356 €            234 € 2015                         356 €            234 € 2016                         344 €            241 € 2017                         344 €            241 € 2018                         344 €            241 € 2019                         344 €            241 € Friedberg 2014                         211 €            186 € 2015                         213 €            188 € 2016                         216 €            190 € 2017                         208 €            233 € 2018                         211 €            234 € 2019                         208 €            225 € Fulda 2014                         338 €            309 € 2015                         346 €            314 € 2016                         351 €            249 € 2017                         347 €            326 € 2018                         355 €            330 € 2019                         353 €            330 € Geisenheim 2014                            0€              0€ 2015                            0€              0€ 2016                            0€              0€ 2017                            0€              0€ 2018                         321 €              0€ 2019                         321 €              0€ Gießen 2014                         258 €            301 € 2015                         278 €            310 € 2016                         277 €            266 € 2017                         273 €            294 € 2018                         273 €            298 € 2019                         273 €            282 € Studentenwerke Seite 5
8

Anlagen KA 20/1072 Warmmiete Warmmiete Wohn- Hochschulort   Einzel- gemeinschaften apartments Kassel 2014                 226 €          200 € 2015                 239 €          214 € 2016                 252 €          216 € 2017                 253 €          216 € 2018                 261 €          220 € 2019                 264 €          227 € Marburg 2014                 244 €          201 € 2015                 252 €          207 € 2016                 252 €          211 € 2017                 252 €          211 € 2018                 253 €          218 € 2019                 253 €          218 € Offenbach 2014                   0€             0€ 2015                   0€             0€ 2016                   0€             0€ 2017                   0€             0€ 2018                   0€             0€ 2019                   0€             0€ Rüsselsheim 2014                 285 €          245 € 2015                 285 €          245 € 2016                 285 €          245 € 2017                 285 €          245 € 2018                 285 €          245 € 2019                 285 €          245 € Wetzlar 2014                   0€             0€ 2015                   0€             0€ 2016                   0€             0€ 2017                   0€             0€ 2018                   0€             0€ 2019                   0€             0€ Wiesbaden 2014                   0€             0€ 2015                   0€             0€ 2016                   0€             0€ 2017                 332 €            0€ 2018                 332 €            0€ 2019                 332 €            0€ Gesamt 2014                 274 €            0€ 2015                 281 €            0€ 2016                 283 €            0€ 2017                 287 €            0€ 2018                 295 €            0€ 2019                 298 €            0€ Seite 6
9

Anlagen KA 20/1072 Frage 8 Tabelle des Studentenwerks Frankfurt Maßnahme            Partner              Plätz Bemerkungen e Platenstraße     4, Goethe-Universi-     -25   Abgabe 09/2019. Das Haus befand Frankfurt am Main   tät Frankfurt am           sich in der vertraglichen Zwischen- Main                       nutzung, bis zum geplanten Bezug der Wohnplätze durch die Studie- renden der Europäischen Akade- mie für Arbeit. Stralsunder         Goethe-Universi-     -150  Abgabe 03/2020 (recht sicher). Die Straße,   Frankfurt tät Frankfurt am           Häuser befinden sich in der vertrag- am Main             Main                       lichen Zwischennutzung, bis sie ab- gerissen und der Standort als Bibli- otheks- oder Schulstandort weiter genutzt wird. CUBITY,      Adolf- Nassauische          -12   Abgabe 12/2020 (unsicher). Bei Miersch-Straße,     Heimstätte Frank-          CUBITY handelt es sich um experi- Frankfurt am Main   furt am Main               mentelles    Wohnen     auf   einem Grundstück der Nass. Heimstätte, welches die Nass. Heimstätte nach Ende der Pilotphase für Wohnbe- bauung nutzen wird. Bockenheimer        ABG       Holding -81      Abgabe Mitte 2021 (recht sicher). Landstraße    135, Frankfurt      am           Das Haus befindet sich auf dem Frankfurt am Main   Main                       Campus Bockenheim, der vertrag- lich nach universitärer Nutzung in das Eigentum der ABG Frankfurt Holding fällt. Die weitere Nutzung für Studierendenwohnen ist nicht gesichert. Seite 7
10

Zur nächsten Seite