Beraterverträge

/ 23
PDF herunterladen
20. Wahlperiode                                                                    zu Drucksache 20/154 HESSISCHER LANDTAG                                                                             27. 06. 2019 Korrektur zu Drucksache 20/154 Kleine Anfrage Rolf Kahnt (AfD) vom 14.02.2019 Beraterverträge und Antwort Chef der Staatskanzlei Die Landesregierung hat als Korrektur zur Antwort auf die Kleine Anfrage die beigefügte Anla- ge zum Austausch nachgereicht. Wiesbaden, 28. Juni 2019 Kanzlei des Landtags Anlage Eingegangen am 27. Juni 2019 · Ausgegeben am 2. Juli 2019 Herstellung: Kanzlei des Hessischen Landtags · Postfach 3240 · 65022 Wiesbaden · www.Hessischer-Landtag.de
1

Anlage zur Antwort auf die Kleine Anfrage 20/154 - Korrektur                                                       Zur Veröffentlichung bestimmt! Hessische Staatskanzlei Zeitpunkt des Fort- lfd.                                               Vertragsschlusses Ressort                                                    betroffener Fachbereich             Kostenvolumen     bestand Nr.                                               (19. WP / 20. WP bis in 20. WP einschließlich 14.02.2019) 1                  Staatskanzlei                       19. WP                   Tag der Deutschen Einheit              17.500,00 € 2                  Staatskanzlei                       19. WP                             Ehrenamt                     62.523,00 € 3                  Staatskanzlei                       19. WP                          Rechtsberatung                  11.902,67 € 4                  Staatskanzlei                       19. WP                             Rundfunk                      2.856,00 €        x 5                  Staatskanzlei                       19. WP                        Personalgewinnnung                 4.569,60 € 6                  Staatskanzlei                       19. WP                         Rechnungswesen                    2.856,00 € 7                  Staatskanzlei                       19. WP                             Ehrenamt                     20.972,00 € 8                  Staatskanzlei                       19. WP                             Ehrenamt                     11.812,00 € 9                  Staatskanzlei                       19. WP               Brexit - Europäische Bankenaufsicht        17.850,00 € 10                  Staatskanzlei                       19. WP                             Ehrenamt                      8.568,00 € 11                  Staatskanzlei                       19. WP                             Ehrenamt                     47.469,00 € Hessisches Ministerium des Innern und für Sport Zeitpunkt des Fort- lfd.                                               Vertragsschlusses Ressort                                                    betroffener Fachbereich             Kostenvolumen     bestand Nr.                                               (19. WP / 20. WP bis in 20. WP einschließlich 14.02.2019) 12       Ministerium des Innern und für Sport           19. WP                           Finanzwesen                   142.000,00 €        x 13       Ministerium des Innern und für Sport           19. WP                        Zentrale Fortbildung              39.000,00 € 14       Ministerium des Innern und für Sport           19. WP                        Zentrale Fortbildung               1.950,00 €        x 1 von 10
2

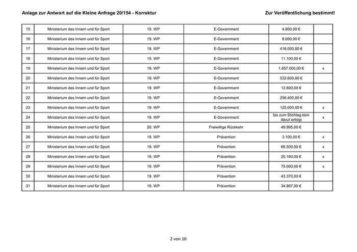
Anlage zur Antwort auf die Kleine Anfrage 20/154 - Korrektur                                 Zur Veröffentlichung bestimmt! 15        Ministerium des Innern und für Sport         19. WP             E-Government               4.800,00 € 16        Ministerium des Innern und für Sport         19. WP             E-Government               8.000,00 € 17        Ministerium des Innern und für Sport         19. WP             E-Government             416.000,00 € 18        Ministerium des Innern und für Sport         19. WP             E-Government              11.100,00 € 19        Ministerium des Innern und für Sport         19. WP             E-Government            1.657.000,00 €     x 20        Ministerium des Innern und für Sport         19. WP             E-Government             532.600,00 € 21        Ministerium des Innern und für Sport         19. WP             E-Government              12.800,00 € 22        Ministerium des Innern und für Sport         19. WP             E-Government             256.400,00 € 23        Ministerium des Innern und für Sport         19. WP             E-Government             125.000,00 €      x bis zum Stichtag kein 24        Ministerium des Innern und für Sport         19. WP             E-Government                               x Abruf erfolgt 25        Ministerium des Innern und für Sport         20. WP          Freiwillige Rückkehr         49.995,00 € 26        Ministerium des Innern und für Sport         19. WP               Prävention               3.100,00 €      x 27        Ministerium des Innern und für Sport         19. WP               Prävention              66.500,00 €      x 28        Ministerium des Innern und für Sport         19. WP               Prävention              20.160,00 €      x 29        Ministerium des Innern und für Sport         19. WP               Prävention              75.000,00 €      x 30        Ministerium des Innern und für Sport         19. WP               Prävention              43.370,00 € 31        Ministerium des Innern und für Sport         19. WP               Prävention              34.867,00 € 2 von 10
3

Anlage zur Antwort auf die Kleine Anfrage 20/154 - Korrektur                                                               Zur Veröffentlichung bestimmt! Hessisches Ministerium der Finanzen Zeitpunkt des Fort- lfd.                                               Vertragsschlusses Ressort                                                         betroffener Fachbereich                 Kostenvolumen     bestand Nr.                                               (19. WP / 20. WP bis in 20. WP einschließlich 14.02.2019) Haushaltsautomation, Prozessoptimierung und 32           Ministerium der Finanzen                   19. WP                                                                  906.719,00 € Verwaltungssteuerung Haushaltsautomation, Prozessoptimierung und 33           Ministerium der Finanzen                   19. WP                                                                 1.202.311,65 € Verwaltungssteuerung Landesbeteiligungen 34           Ministerium der Finanzen                   19. WP                                                                   11.834,55 € Kommunaler Finanzausgleich 35           Ministerium der Finanzen                   19. WP                                                                   67.414,00 € Energieeinsparung, Enegieeffizientes Bauen, 36           Ministerium der Finanzen                   19. WP                                                                   18.720,00 € Nachhaltigkeit Energieeinsparung, Enegieeffizientes Bauen, 37           Ministerium der Finanzen                   19. WP                                                                   25.935,00 € Nachhaltigkeit CO2-neutrale Landesverwaltung 38           Ministerium der Finanzen                   19. WP                                                                    4.500,00 € Landesbeteiligungen 39           Ministerium der Finanzen                   19. WP                                                                   72.774,55 € Landesbeteiligungen 40           Ministerium der Finanzen                   19. WP                                                                   77.790,30 € Kommunaler Finanzausgleich 41           Ministerium der Finanzen                   19. WP                                                                   53.407,00 € Kommunaler Finanzausgleich 42           Ministerium der Finanzen                   19. WP                                                                   43.849,00 € Kommunaler Finanzausgleich 43           Ministerium der Finanzen                   19. WP                                                                   41.550,00 € CO2-neutrale Landesverwaltung 44           Ministerium der Finanzen                   19. WP                                                                    2.142,00 € Energieeinsparung, Enegieeffizientes Bauen, 45           Ministerium der Finanzen                   19. WP                                                                    8.330,00 € Nachhaltigkeit Energieeinsparung, Enegieeffizientes Bauen, 46           Ministerium der Finanzen                   19. WP                                                                   18.817,00 € Nachhaltigkeit Energieeinsparung, Enegieeffizientes Bauen, 47           Ministerium der Finanzen                   19. WP                                                                   79.730,00 € Nachhaltigkeit Personal 48           Ministerium der Finanzen                   19. WP                                                                   54.740,00 € 3 von 10
4

Anlage zur Antwort auf die Kleine Anfrage 20/154 - Korrektur                                                        Zur Veröffentlichung bestimmt! Innerer Dienst 49            Ministerium der Finanzen                 19. WP                                                             162.163,00 € Landesbeteiligungen 50            Ministerium der Finanzen                 19. WP                                                               3.248,70 € Landesbeteiligungen 51            Ministerium der Finanzen                 19. WP                                                              14.244,30 € Landesbeteiligungen 52            Ministerium der Finanzen                 19. WP                                                              66.640,00 € CO2-neutrale Landesverwaltung 53            Ministerium der Finanzen                 19. WP                                                              26.537,00 € Energieeinsparung, Enegieeffizientes Bauen, 54            Ministerium der Finanzen                 19. WP                                                              10.534,00 € Nachhaltigkeit CO2-neutrale Landesverwaltung 55            Ministerium der Finanzen                 19. WP                                                               4.760,00 € CO2-neutrale Landesverwaltung 56            Ministerium der Finanzen                 19. WP                                                               6.188,00 € Baumaßnahmen des Landes 57            Ministerium der Finanzen                 19. WP                                                              35.700,00 € Vergaberecht 58            Ministerium der Finanzen                 19. WP                                                               5.569,20 € Kreditmanagement                 Rahmenvertrag, der bis zum Stichtag nicht in 59            Ministerium der Finanzen                 19. WP                                                                                x Anspruch genommen wurde Zentralabteilung 60            Ministerium der Finanzen                 19. WP                                                               8.270,50 € Haushalts-, Kassen- und Rechnungswesen 61            Ministerium der Finanzen                 19. WP                                                            1.490.394,00 €      x Co-CIO 62            Ministerium der Finanzen                 19. WP                                                              93.885,00 € Personal 63            Ministerium der Finanzen                 19. WP                                                              11.602,50 € Landesbeteiligungen 64            Ministerium der Finanzen                 19. WP                                                              94.434,20 € Landesbeteiligungen 65            Ministerium der Finanzen                 19. WP                                                               5.521,60 € Landesbeteiligungen 66            Ministerium der Finanzen                 19. WP                                                             146.642,75 € Landesbeteiligungen 67            Ministerium der Finanzen                 19. WP                                                              27.132,00 € 4 von 10
5

Anlage zur Antwort auf die Kleine Anfrage 20/154 - Korrektur                                                               Zur Veröffentlichung bestimmt! Landesbeteiligungen 68           Ministerium der Finanzen                   19. WP                                                                 191.775,20 € Landesbeteiligungen 69           Ministerium der Finanzen                   19. WP                                                                  16.449,06 € Kommunaler Finanzausgleich 70           Ministerium der Finanzen                   19. WP                                                                  30.000,00 € CO2-neutrale Landesverwaltung 71           Ministerium der Finanzen                   19. WP                                                                  16.000,00 € Co-CIO 72           Ministerium der Finanzen                   19. WP                                                                  82.451,34 € Organisation 73           Ministerium der Finanzen                   19. WP                                                                  62.865,47 €        x Strategisches Personalmanagement 74           Ministerium der Finanzen                   19. WP                                                                  38.604,00 € Strategisches Personalmanagement 75           Ministerium der Finanzen                   19. WP                                                                   9.996,00 € Energieeinsparung, Enegieeffizientes Bauen, 76           Ministerium der Finanzen                   19. WP                                                                  30.909,00 € Nachhaltigkeit Energieeinsparung, Enegieeffizientes Bauen, 77           Ministerium der Finanzen                   19. WP                                                                  25.011,00 € Nachhaltigkeit Hessisches Ministerium der Justiz Zeitpunkt des Fort- lfd.                                               Vertragsschlusses Ressort                                                         betroffener Fachbereich                 Kostenvolumen     bestand Nr.                                               (19. WP / 20. WP bis in 20. WP einschließlich 14.02.2019) 78            Ministerium der Justiz                    19. WP                              Justizvollzug                       77.760,00 € 79            Ministerium der Justiz                    19. WP                              Justizvollzug                       69.120,00 € 80            Ministerium der Justiz                    19. WP                              Justizvollzug                       34.560,00 € 81            Ministerium der Justiz                    19. WP                              Justizvollzug                        5.202,58 €        x 82            Ministerium der Justiz                    19. WP                              Justizvollzug                        5.754,59 € 83            Ministerium der Justiz                    19. WP                              Justizvollzug                        1.943,50 €        x 84            Ministerium der Justiz                    19. WP                              Justizvollzug                       18.070,90 € 5 von 10
6

Anlage zur Antwort auf die Kleine Anfrage 20/154 - Korrektur                                                            Zur Veröffentlichung bestimmt! 85              Ministerium der Justiz                  19. WP                              Justizvollzug                    84.412,19 € Hessisches Kultusministerium Zeitpunkt des Fort- lfd.                                               Vertragsschlusses Ressort                                                        betroffener Fachbereich              Kostenvolumen     bestand Nr.                                               (19. WP / 20. WP bis in 20. WP einschließlich 14.02.2019) 86                Kultusministerium                     19. WP                              Schulaufsicht                    55.692,00 € 87                Kultusministerium                     19. WP                              Schulaufsicht                    27.532,00 € Allgemeinbildendes Schulwesen, 88                Kultusministerium                     19. WP                                                                3.164,00 € Bildungsplanung Allgemeinbildendes Schulwesen, 89                Kultusministerium                     19. WP                                                               29.750,00 € Bildungsplanung Allgemeinbildendes Schulwesen, 90                Kultusministerium                     19. WP                                                               28.228,00 € Bildungsplanung Hessisches Ministerium für Wissenschaft und Kunst Zeitpunkt des Fort- lfd.                                               Vertragsschlusses Ressort                                                        betroffener Fachbereich              Kostenvolumen     bestand Nr.                                               (19. WP / 20. WP bis in 20. WP einschließlich 14.02.2019) 91     Ministerium für Wissenschaft und Kunst           19. WP                                Personal                        7.794,50 € 92     Ministerium für Wissenschaft und Kunst           19. WP                                Personal                        1.700,00 € 93     Ministerium für Wissenschaft und Kunst           19. WP               Vietnamesisch-Deutsche Universität (VDU)        24.000,00 € 94     Ministerium für Wissenschaft und Kunst           19. WP                            Hochschulzugang                   699.058,36 € 95     Ministerium für Wissenschaft und Kunst           19. WP                         Hochschulentwicklung                 177.240,18 € 96     Ministerium für Wissenschaft und Kunst           19. WP                         Hochschulentwicklung                  54.894,04 € 97     Ministerium für Wissenschaft und Kunst           19. WP                         Hochschulbudgetierung                 12.000,00 €        x 98     Ministerium für Wissenschaft und Kunst           19. WP                            Historisches Erbe                 178.500,00 € 6 von 10
7

Anlage zur Antwort auf die Kleine Anfrage 20/154 - Korrektur                                                                     Zur Veröffentlichung bestimmt! 99      Ministerium für Wissenschaft und Kunst                 19. WP                        Kultur, Historisches Erbe                11.424,00 € 100      Ministerium für Wissenschaft und Kunst                 19. WP                              Staatsarchive                      49.980,00 € Hessisches Ministerium für Wirtschaft, Energie, Verkehr und Wohnen Zeitpunkt des Fort- lfd.                                                      Vertragsschlusses Ressort                                                             betroffener Fachbereich                 Kostenvolumen     bestand Nr.                                                      (19. WP / 20. WP bis in 20. WP einschließlich 14.02.2019) Ministerium für Wirtschaft, Energie, Verkehr und 101                                                             19. WP                                Tourismus                        35.426,30 € Wohnen Ministerium für Wirtschaft, Energie, Verkehr und 102                                                             19. WP                                Tourismus                       469.722,40 €        x Wohnen Ministerium für Wirtschaft, Energie, Verkehr und 103                                                             19. WP                                Tourismus                         5.959,00 € Wohnen Ministerium für Wirtschaft, Energie, Verkehr und 104                                                             19. WP                                Tourismus                         8.500,00 € Wohnen Ministerium für Wirtschaft, Energie, Verkehr und 105                                                             19. WP                          Versicherungswesen                     34.646,60 € Wohnen Ministerium für Wirtschaft, Energie, Verkehr und 106                                                             19. WP                                 Energie                        183.355,00 € Wohnen Ministerium für Wirtschaft, Energie, Verkehr und 107                                                             19. WP                              Nahmobilität                      450.367,40 € Wohnen Ministerium für Wirtschaft, Energie, Verkehr und 108                                                             19. WP                              Nahmobilität                      147.431,48 € Wohnen Ministerium für Wirtschaft, Energie, Verkehr und 109                                                             19. WP                              Nahmobilität                      650.216,00 € Wohnen Ministerium für Wirtschaft, Energie, Verkehr und 110                                                             19. WP                                  ÖPNV                           11.900,00 € Wohnen Ministerium für Wirtschaft, Energie, Verkehr und 111                                                             19. WP                                  ÖPNV                           17.850,00 € Wohnen Ministerium für Wirtschaft, Energie, Verkehr und 112                                                             19. WP                                  ÖPNV                          175.000,00 € Wohnen Ministerium für Wirtschaft, Energie, Verkehr und 113                                                             19. WP                                  ÖPNV                           99.000,00 € Wohnen Ministerium für Wirtschaft, Energie, Verkehr und 114                                                             19. WP               Schlüsseltechnologien, Ressourceneffizienz        65.446,50 € Wohnen Ministerium für Wirtschaft, Energie, Verkehr und 115                                                             19. WP                                 Personal                         4.679,56 € Wohnen 7 von 10
8

Anlage zur Antwort auf die Kleine Anfrage 20/154 - Korrektur                                                          Zur Veröffentlichung bestimmt! Ministerium für Wirtschaft, Energie, Verkehr und 116                                                             19. WP                             Personal                  5.784,93 € Wohnen Ministerium für Wirtschaft, Energie, Verkehr und 117                                                             19. WP               Straßen- und Verkehrsmanagement        49.980,00 € Wohnen Hessisches Ministerium für Umwelt, Klimaschutz, Landwirtschaft und Verbraucherschutz Zeitpunkt des Fort- lfd.                                                      Vertragsschlusses Ressort                                                          betroffener Fachbereich         Kostenvolumen     bestand Nr.                                                      (19. WP / 20. WP bis in 20. WP einschließlich 14.02.2019) Ministerium für Umwelt, Klimaschutz, 118                                                             19. WP                    Führungskräftefortbildung          6.601,06 € Landwirtschaft und Verbraucherschutz Ministerium für Umwelt, Klimaschutz, 119                                                             19. WP                    Führungskräftefortbildung          3.346,28 € Landwirtschaft und Verbraucherschutz Ministerium für Umwelt, Klimaschutz, 120                                                             19. WP                   Ressourcenschutzstrategie          24.957,87 € Landwirtschaft und Verbraucherschutz Ministerium für Umwelt, Klimaschutz, 121                                                             19. WP                          Innerer Dienst              31.500,00 € Landwirtschaft und Verbraucherschutz Ministerium für Umwelt, Klimaschutz, 122                                                             19. WP                      Personalentwicklung             13.582,50 € Landwirtschaft und Verbraucherschutz Ministerium für Umwelt, Klimaschutz, 123                                                             19. WP                      Personalentwicklung             20.944,00 € Landwirtschaft und Verbraucherschutz Ministerium für Umwelt, Klimaschutz, 124                                                             19. WP                          Innerer Dienst               5.000,00 € Landwirtschaft und Verbraucherschutz Ministerium für Umwelt, Klimaschutz, 125                                                             19. WP                          Innerer Dienst               5.000,00 € Landwirtschaft und Verbraucherschutz Ministerium für Umwelt, Klimaschutz, 126                                                             19. WP                     Abfallwirtschaftsplanung          7.497,00 € Landwirtschaft und Verbraucherschutz Ministerium für Umwelt, Klimaschutz, 127                                                             19. WP                      Spurenstoffstrategie             8.992,76 € Landwirtschaft und Verbraucherschutz Ministerium für Umwelt, Klimaschutz, 128                                                             19. WP                      Spurenstoffstrategie             8.532,26 € Landwirtschaft und Verbraucherschutz Ministerium für Umwelt, Klimaschutz, 129                                                             19. WP                      Spurenstoffstrategie             8.948,95 € Landwirtschaft und Verbraucherschutz Ministerium für Umwelt, Klimaschutz, 130                                                             19. WP                  Grundwasserangelegenheiten         925.379,70 € Landwirtschaft und Verbraucherschutz Ministerium für Umwelt, Klimaschutz, 131                                                             19. WP                  Grundwasserangelegenheiten         179.744,61 € Landwirtschaft und Verbraucherschutz Ministerium für Umwelt, Klimaschutz, 132                                                             19. WP                  Grundwasserangelegenheiten         167.550,00 € Landwirtschaft und Verbraucherschutz 8 von 10
9

Anlage zur Antwort auf die Kleine Anfrage 20/154 - Korrektur                                            Zur Veröffentlichung bestimmt! Ministerium für Umwelt, Klimaschutz, 133                                                    19. WP           Grundwasserangelegenheiten           148.000,00 € Landwirtschaft und Verbraucherschutz Ministerium für Umwelt, Klimaschutz, 134                                                    19. WP                   Bodenschutz                   24.000,00 € Landwirtschaft und Verbraucherschutz Ministerium für Umwelt, Klimaschutz, 135                                                    19. WP          Nachhaltigkeitsstrategie Hessen       536.974,00 € Landwirtschaft und Verbraucherschutz Ministerium für Umwelt, Klimaschutz, 136                                                    19. WP          Nachhaltigkeitsstrategie Hessen       272.272,00 € Landwirtschaft und Verbraucherschutz Ministerium für Umwelt, Klimaschutz, 137                                                    19. WP          Nachhaltigkeitsstrategie Hessen       524.625,00 € Landwirtschaft und Verbraucherschutz Ministerium für Umwelt, Klimaschutz, 138                                                    19. WP          Nachhaltigkeitsstrategie Hessen       178.500,00 € Landwirtschaft und Verbraucherschutz Ministerium für Umwelt, Klimaschutz, 139                                                    19. WP          Nachhaltigkeitsstrategie Hessen       938.820,00 € Landwirtschaft und Verbraucherschutz Ministerium für Umwelt, Klimaschutz, 140                                                    19. WP          Nachhaltigkeitsstrategie Hessen       535.500,00 € Landwirtschaft und Verbraucherschutz Ministerium für Umwelt, Klimaschutz, 141                                                    19. WP                 Klimakampagne                   30.345,00 € Landwirtschaft und Verbraucherschutz Ministerium für Umwelt, Klimaschutz, 142                                                    19. WP                 Klimakampagne                   22.643,00 € Landwirtschaft und Verbraucherschutz Ministerium für Umwelt, Klimaschutz, 143                                                    19. WP                Klimaschutzplan                  77.290,00 € Landwirtschaft und Verbraucherschutz Ministerium für Umwelt, Klimaschutz, 144                                                    19. WP                Klimaschutzplan                 372.234,00 € Landwirtschaft und Verbraucherschutz Ministerium für Umwelt, Klimaschutz, 145                                                    19. WP                Klimaschutzplan                 285.600,00 € Landwirtschaft und Verbraucherschutz Ministerium für Umwelt, Klimaschutz, 146                                                    19. WP                 Klimakampagne                   56.663,00 € Landwirtschaft und Verbraucherschutz Ministerium für Umwelt, Klimaschutz, 147                                                    19. WP                 Klimakampagne                   11.900,00 € Landwirtschaft und Verbraucherschutz Ministerium für Umwelt, Klimaschutz, 148                                                    19. WP                Klimaschutzplan                  80.000,00 € Landwirtschaft und Verbraucherschutz Ministerium für Umwelt, Klimaschutz, 149                                                    19. WP                 Klimakampagne                   11.900,00 € Landwirtschaft und Verbraucherschutz Ministerium für Umwelt, Klimaschutz, 150                                                    19. WP                Klimaschutzplan                  80.000,00 € Landwirtschaft und Verbraucherschutz Ministerium für Umwelt, Klimaschutz, 151                                                    19. WP                     Tierwohl                    43.050,00 € Landwirtschaft und Verbraucherschutz Ministerium für Umwelt, Klimaschutz, 152                                                    19. WP                     Tierwohl                    34.440,00 € Landwirtschaft und Verbraucherschutz 9 von 10
10

Zur nächsten Seite