Beraterverträge

/ 23
PDF herunterladen
Anlage zur Antwort auf die Kleine Anfrage 20/154 - Korrektur                                                       Zur Veröffentlichung bestimmt! Ministerium für Umwelt, Klimaschutz,                          Veterinärwesen/ Lebensmittelüber-wachung/ 153                                                    19. WP                                                             2.839,46 € Landwirtschaft und Verbraucherschutz                                           Tierschutz Ministerium für Umwelt, Klimaschutz, 154                                                    19. WP              Wald und nachhaltige Forstwirtschaft          70.210,00 € Landwirtschaft und Verbraucherschutz Ministerium für Umwelt, Klimaschutz,                             Wald und nachhaltige Forstwirtschaft; 155                                                    19. WP                                                             7.140,00 € Landwirtschaft und Verbraucherschutz                              Rechtsangelegenheiten der Abteilung Ministerium für Umwelt, Klimaschutz,                             Wald und nachhaltige Forstwirtschaft; 156                                                    19. WP                                                            13.090,00 € Landwirtschaft und Verbraucherschutz                              Rechtsangelegenheiten der Abteilung 10 von 10
11

20. Wahlperiode                                                                    Drucksache 20/154 HESSISCHER LANDTAG                                                                          27. 05. 2019 Kleine Anfrage Rolf Kahnt (AfD) vom 14.02.2019 Beraterverträge und Antwort Chef der Staatskanzlei Vorbemerkung Fragesteller: Anfang Februar 2019 wurde in Medien (u.a. „Focus Online“ und „FAZ“) berichtet, dass die Bundesregie- rung von 2005 bis heute gemäß einer Auflistung des Bundesfinanzministeriums weit mehr als 1,1 Mrd.€ für Berater- und Unterstützungsleistungen ausgegeben habe. Vorbemerkung Chef der Staatskanzlei: Der Landesregierung ist die Berichterstattung in den Medien zur Inanspruchnahme externer Be- ratung und Unterstützung durch die Bundesregierung von Anfang Februar 2019 bekannt. Sie geht zurück auf die Antwort der Bundesregierung auf eine Kleine Anfrage der Abgeordneten Matthias Höhn, Heike Hänsel, Doris Achelwilm, weiterer Abgeordneter und der Fraktion DIE LINKE zur externen Beratung in den Bundesministerien seit 2006 (BT-Drs. 19/7489). In der Antwort der Bundesregierung wird ausdrücklich darauf hingewiesen, dass der Begriff „Bera- tungs- und Unterstützungsleistungen“ in dieser Form weder haushaltsrechtlich noch haushalts- wirtschaftlich gebräuchlich und daher auch nicht allgemeingültig näher definiert ist. Dies gilt auch für den Bereich des hessischen Landesrechts. Für die Zwecke der Beantwortung der vorliegenden Anfrage und insbesondere um eine Antwort innerhalb eines angemessenen Zeitraums zu gewährleisten, beschränkt sich die Antwort der Landesregierung im Folgenden auf Verträge für Beratungsleistungen. Hierbei orientiert sich die Landesregierung an den Kriterien, die sie bislang zur methodischen Abgrenzung von Berater- verträgen verwendet hat (vgl. etwa Antwort der Landesregierung auf die Große Anfrage der Fraktion der SPD betreffend Beraterverträge und Gutachtertätigkeit – LT-Drs. 16/8289), er- gänzt um diejenigen Kriterien, welche die Bundesregierung in ihrer Antwort auf die Kleine An- frage der Abgeordneten Rüdiger Lucassen, Jan Ralf Nolte, Gerold Otten, weiterer Abgeordne- ter und der Fraktion der AfD zur Vergabe von Aufträgen an externe Beratungsunternehmen durch das Bundesministerium der Verteidigung (BT-Drs. 19/5646) zugrunde gelegt hat. Danach ist unter einem Beratervertrag ein Vertrag über eine entgeltliche Leistung zu verstehen, die von natürlichen oder juristischen Personen außerhalb der unmittelbaren oder mittelbaren Landesverwaltung erbracht wird und die dem Ziel dient, im Hinblick auf konkrete Entschei- dungssituationen des Auftraggebers praxisorientierte Handlungsempfehlungen zu entwickeln und zu bewerten, den Entscheidungsträgern zu vermitteln und ggf. ihre Umsetzung zu begleiten. Nicht als Beraterverträge gelten:  Verträge zur Beantwortung von technischen oder rechtlichen Fragestellungen der laufenden Verwaltung in Einzelfällen oder zur Beantwortung von Fragen durch Kommissionen,  in der Regel Werkverträge,  Gutachten oder Beratungen im Zusammenhang mit Forschungsförderprojekten oder beglei- tende wissenschaftliche Evaluierungen zu Fördermaßnahmen. Die Beantwortung der Kleinen Anfrage beschränkt sich zudem auf solche Maßnahmen, die durch die Staatskanzlei und die Ministerien bis zum Zeitpunkt des Eingangs der Kleinen Anfra- ge (14. Februar 2019) beauftragt worden sind. Eingegangen am 27. Mai 2019 · Bearbeitet am 27. Mai 2019 · Ausgegeben am 29. Mai 2019 Herstellung: Kanzlei des Hessischen Landtags · Postfach 3240 · 65022 Wiesbaden · www.Hessischer-Landtag.de
12

2                                  Hessischer Landtag · 20. Wahlperiode · Drucksache 20/154 Diese Vorbemerkungen vorangestellt, beantworte ich die Kleine Anfrage im Einvernehmen mit dem Minister des Innern und für Sport, dem Minister der Finanzen, der Ministerin der Justiz, dem Kultusminister, der Ministerin für Wissenschaft und Kunst, dem Minister für Wirtschaft, Verkehr, Energie und Wohnen und der Ministerin für Umwelt, Klimaschutz, Landwirtschaft und Verbraucherschutz wie folgt: Frage 1.   Hat die Landesregierung seit Beginn der 19. Wahlperiode Verträge für Beratungs-und Unterstüt- zungsleistungen geschlossen? Ja. Frage 2.   Gibt es Verträge, die in der 19. Wahlperiode geschlossen wurden und in der 20. Wahlperiode weiteren Bestand haben? Ja. Die entsprechenden Verträge sind in der als Anlage beigefügten Tabelle gekennzeichnet. Frage 3.   Welche Ministerien haben zu welchen Fachbereichen Beraterverträge geschlossen? Frage 4.   An welche Beratungsfirmen wurden die Aufträge vergeben? Frage 5.   Welches Kostenvolumen haben die in der 19. Wahlperiode geschlossenen Beraterverträge? Die Fragen 3 bis 5 werden zusammen beantwortet. Die gewünschten Angaben können der als Anlage beigefügten Tabelle entnommen werden. Zugleich wird darauf hingewiesen, dass in der zur Veröffentlichung vorgesehenen Antwort auf die Kleine Anfrage nur eine Übersicht über die betroffenen Fachbereiche und das Kostenvolu- men enthalten ist, da nicht ausgeschlossen werden kann, dass der Veröffentlichung der Firmen- namen der Auftragnehmer berechtigte Interessen Dritter (Betriebs-/Geschäftsgeheimnisse) ent- gegenstehen. Ein Exemplar der Antwort auf die Kleine Anfrage, in dem die erbetenen Informa- tionen zu den einzelnen Beratungsfirmen enthalten sind, ist in der Kanzlei des Hessischen Land- tags zur Einsichtnahme für die Abgeordneten des Hessischen Landtags hinterlegt. Frage 6.   Welche Ausgaben für Beraterverträge sind für die 20. Wahlperiode vorgesehen, für welche Mi- nisterien und in welchem Kostenvolumen bewegen sich diese? Soweit Beratungsverträge in der 20. Wahlperiode weiteren Bestand haben, ist dies in der als Anlage beigefügten Tabelle gekennzeichnet. Das Ministerium für Wissenschaft und Kunst beabsichtigt, die in der 19./20. Wahlperiode in Hessen geschaffenen Promotionszentren der hessischen Hochschulen für Angewandte Wissen- schaften, die zunächst befristet auf fünf Jahre genehmigt wurden, rechtzeitig vor Ablauf der Frist einer Evaluierung zu unterziehen. Hierzu sind Dienstleister eingeplant. Die Kosten hierfür lassen sich jedoch noch nicht beziffern. Das Ministerium für Wirtschaft, Energie, Verkehr und Wohnen beabsichtigt, in der 20. Wahl- periode einen Beratungsvertrag im Zusammenhang mit der Einführung mobilen Arbeitens abzu- schießen. Das Kostenvolumen wird auf 30.000,00 € geschätzt. Frage 7.   Welche Umweltorganisationen sind mit welchen Beträgen unterstützt worden? Im Rahmen der Auftragsvergabe für Beratungsleistungen sind im Bereich der Staatskanzlei und der Ministerien keine Umweltorganisationen unterstützt worden. Wiesbaden, 23. Mai 2019 Axel Wintermeyer Anlagen
13

Anlage zur Antwort auf die Kleine Anfrage 20/154                                                                   Zur Veröffentlichung bestimmt! Hessische Staatskanzlei Zeitpunkt des Fort- lfd.                                               Vertragsschlusses Ressort                                                    betroffener Fachbereich             Kostenvolumen     bestand Nr.                                               (19. WP / 20. WP bis in 20. WP einschließlich 14.02.2019) 1                  Staatskanzlei                       19. WP                   Tag der Deutschen Einheit              17.500,00 € 2                  Staatskanzlei                       19. WP                             Ehrenamt                     62.523,00 € 3                  Staatskanzlei                       19. WP                          Rechtsberatung                  11.902,67 € 4                  Staatskanzlei                       19. WP                             Rundfunk                      2.856,00 €        x 5                  Staatskanzlei                       19. WP                        Personalgewinnnung                 4.569,60 € 6                  Staatskanzlei                       19. WP                         Rechnungswesen                    2.856,00 € 7                  Staatskanzlei                       19. WP                             Ehrenamt                     20.972,00 € 8                  Staatskanzlei                       19. WP                             Ehrenamt                     11.812,00 € 9                  Staatskanzlei                       19. WP               Brexit - Europäische Bankenaufsicht        17.850,00 € 10                  Staatskanzlei                       19. WP                             Ehrenamt                      8.568,00 € 11                  Staatskanzlei                       19. WP                             Ehrenamt                     47.469,00 € Hessisches Ministerium des Innern und für Sport Zeitpunkt des Fort- lfd.                                               Vertragsschlusses Ressort                                                    betroffener Fachbereich             Kostenvolumen     bestand Nr.                                               (19. WP / 20. WP bis in 20. WP einschließlich 14.02.2019) 12       Ministerium des Innern und für Sport           19. WP                           Finanzwesen                   142.000,00 €        x 13       Ministerium des Innern und für Sport           19. WP                        Zentrale Fortbildung              39.000,00 € 14       Ministerium des Innern und für Sport           19. WP                        Zentrale Fortbildung               1.950,00 €        x 1 von 10
14

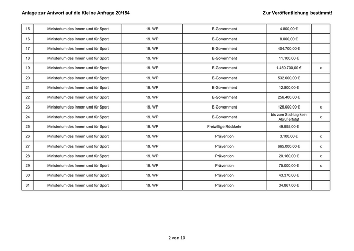
Anlage zur Antwort auf die Kleine Anfrage 20/154                                      Zur Veröffentlichung bestimmt! 15        Ministerium des Innern und für Sport  19. WP             E-Government               4.800,00 € 16        Ministerium des Innern und für Sport  19. WP             E-Government               8.000,00 € 17        Ministerium des Innern und für Sport  19. WP             E-Government             404.700,00 € 18        Ministerium des Innern und für Sport  19. WP             E-Government              11.100,00 € 19        Ministerium des Innern und für Sport  19. WP             E-Government            1.450.700,00 €     x 20        Ministerium des Innern und für Sport  19. WP             E-Government             532.000,00 € 21        Ministerium des Innern und für Sport  19. WP             E-Government              12.800,00 € 22        Ministerium des Innern und für Sport  19. WP             E-Government             256.400,00 € 23        Ministerium des Innern und für Sport  19. WP             E-Government             125.000,00 €      x bis zum Stichtag kein 24        Ministerium des Innern und für Sport  19. WP             E-Government                               x Abruf erfolgt 25        Ministerium des Innern und für Sport  19. WP          Freiwillige Rückkehr         49.995,00 € 26        Ministerium des Innern und für Sport  19. WP               Prävention               3.100,00 €      x 27        Ministerium des Innern und für Sport  19. WP               Prävention             665.000,00 €      x 28        Ministerium des Innern und für Sport  19. WP               Prävention              20.160,00 €      x 29        Ministerium des Innern und für Sport  19. WP               Prävention              75.000,00 €      x 30        Ministerium des Innern und für Sport  19. WP               Prävention              43.370,00 € 31        Ministerium des Innern und für Sport  19. WP               Prävention              34.867,00 € 2 von 10
15

Anlage zur Antwort auf die Kleine Anfrage 20/154                                                                           Zur Veröffentlichung bestimmt! Hessisches Ministerium der Finanzen Zeitpunkt des Fort- lfd.                                               Vertragsschlusses Ressort                                                         betroffener Fachbereich                 Kostenvolumen     bestand Nr.                                               (19. WP / 20. WP bis in 20. WP einschließlich 14.02.2019) Haushaltsautomation, Prozessoptimierung und 32           Ministerium der Finanzen                   19. WP                                                                  906.719,00 € Verwaltungssteuerung Haushaltsautomation, Prozessoptimierung und 33           Ministerium der Finanzen                   19. WP                                                                 1.202.311,65 € Verwaltungssteuerung Landesbeteiligungen 34           Ministerium der Finanzen                   19. WP                                                                   11.834,55 € Kommunaler Finanzausgleich 35           Ministerium der Finanzen                   19. WP                                                                   67.414,00 € Energieeinsparung, Enegieeffizientes Bauen, 36           Ministerium der Finanzen                   19. WP                                                                   18.720,00 € Nachhaltigkeit Energieeinsparung, Enegieeffizientes Bauen, 37           Ministerium der Finanzen                   19. WP                                                                   25.935,00 € Nachhaltigkeit CO2-neutrale Landesverwaltung 38           Ministerium der Finanzen                   19. WP                                                                    4.500,00 € Landesbeteiligungen 39           Ministerium der Finanzen                   19. WP                                                                   72.774,55 € Landesbeteiligungen 40           Ministerium der Finanzen                   19. WP                                                                   77.790,30 € Kommunaler Finanzausgleich 41           Ministerium der Finanzen                   19. WP                                                                   53.407,00 € Kommunaler Finanzausgleich 42           Ministerium der Finanzen                   19. WP                                                                   43.849,00 € Kommunaler Finanzausgleich 43           Ministerium der Finanzen                   19. WP                                                                   41.550,00 € CO2-neutrale Landesverwaltung 44           Ministerium der Finanzen                   19. WP                                                                    2.142,00 € Energieeinsparung, Enegieeffizientes Bauen, 45           Ministerium der Finanzen                   19. WP                                                                    8.330,00 € Nachhaltigkeit Energieeinsparung, Enegieeffizientes Bauen, 46           Ministerium der Finanzen                   19. WP                                                                   18.817,00 € Nachhaltigkeit Energieeinsparung, Enegieeffizientes Bauen, 47           Ministerium der Finanzen                   19. WP                                                                   79.730,00 € Nachhaltigkeit Personal 48           Ministerium der Finanzen                   19. WP                                                                   54.740,00 € 3 von 10
16

Anlage zur Antwort auf die Kleine Anfrage 20/154                                                             Zur Veröffentlichung bestimmt! Innerer Dienst 49            Ministerium der Finanzen          19. WP                                                             162.163,00 € Landesbeteiligungen 50            Ministerium der Finanzen          19. WP                                                               3.248,70 € Landesbeteiligungen 51            Ministerium der Finanzen          19. WP                                                              14.244,30 € Landesbeteiligungen 52            Ministerium der Finanzen          19. WP                                                              66.640,00 € CO2-neutrale Landesverwaltung 53            Ministerium der Finanzen          19. WP                                                              26.537,00 € Energieeinsparung, Enegieeffizientes Bauen, 54            Ministerium der Finanzen          19. WP                                                              10.534,00 € Nachhaltigkeit CO2-neutrale Landesverwaltung 55            Ministerium der Finanzen          19. WP                                                               4.760,00 € CO2-neutrale Landesverwaltung 56            Ministerium der Finanzen          19. WP                                                               6.188,00 € Baumaßnahmen des Landes 57            Ministerium der Finanzen          19. WP                                                              35.700,00 € Vergaberecht 58            Ministerium der Finanzen          19. WP                                                               5.569,20 € Kreditmanagement                 Rahmenvertrag, der bis zum Stichtag nicht in 59            Ministerium der Finanzen          19. WP                                                                                x Anspruch genommen wurde Zentralabteilung 60            Ministerium der Finanzen          19. WP                                                               8.270,50 € Haushalts-, Kassen- und Rechnungswesen 61            Ministerium der Finanzen          19. WP                                                            1.490.394,00 €      x Co-CIO 62            Ministerium der Finanzen          19. WP                                                              93.885,00 € Personal 63            Ministerium der Finanzen          19. WP                                                              11.602,50 € Landesbeteiligungen 64            Ministerium der Finanzen          19. WP                                                              94.434,20 € Landesbeteiligungen 65            Ministerium der Finanzen          19. WP                                                               5.521,60 € Landesbeteiligungen 66            Ministerium der Finanzen          19. WP                                                             146.642,75 € Landesbeteiligungen 67            Ministerium der Finanzen          19. WP                                                              27.132,00 € 4 von 10
17

Anlage zur Antwort auf die Kleine Anfrage 20/154                                                                           Zur Veröffentlichung bestimmt! Landesbeteiligungen 68           Ministerium der Finanzen                   19. WP                                                                 191.775,20 € Landesbeteiligungen 69           Ministerium der Finanzen                   19. WP                                                                  16.449,06 € Kommunaler Finanzausgleich 70           Ministerium der Finanzen                   19. WP                                                                  30.000,00 € CO2-neutrale Landesverwaltung 71           Ministerium der Finanzen                   19. WP                                                                  16.000,00 € Co-CIO 72           Ministerium der Finanzen                   19. WP                                                                  82.451,34 € Organisation 73           Ministerium der Finanzen                   19. WP                                                                  62.865,47 €        x Strategisches Personalmanagement 74           Ministerium der Finanzen                   19. WP                                                                  38.604,00 € Strategisches Personalmanagement 75           Ministerium der Finanzen                   19. WP                                                                   9.996,00 € Energieeinsparung, Enegieeffizientes Bauen, 76           Ministerium der Finanzen                   19. WP                                                                  30.909,00 € Nachhaltigkeit Energieeinsparung, Enegieeffizientes Bauen, 77           Ministerium der Finanzen                   19. WP                                                                  25.011,00 € Nachhaltigkeit Hessisches Ministerium der Justiz Zeitpunkt des Fort- lfd.                                               Vertragsschlusses Ressort                                                         betroffener Fachbereich                 Kostenvolumen     bestand Nr.                                               (19. WP / 20. WP bis in 20. WP einschließlich 14.02.2019) 78            Ministerium der Justiz                    19. WP                              Justizvollzug                       77.760,00 € 79            Ministerium der Justiz                    19. WP                              Justizvollzug                       69.120,00 € 80            Ministerium der Justiz                    19. WP                              Justizvollzug                       34.560,00 € 81            Ministerium der Justiz                    19. WP                              Justizvollzug                        5.202,58 €        x 82            Ministerium der Justiz                    19. WP                              Justizvollzug                        5.754,59 € 83            Ministerium der Justiz                    19. WP                              Justizvollzug                        1.943,50 €        x 84            Ministerium der Justiz                    19. WP                              Justizvollzug                       18.070,90 € 5 von 10
18

Anlage zur Antwort auf die Kleine Anfrage 20/154                                                                        Zur Veröffentlichung bestimmt! 85              Ministerium der Justiz                  19. WP                              Justizvollzug                    84.412,19 € Hessisches Kultusministerium Zeitpunkt des Fort- lfd.                                               Vertragsschlusses Ressort                                                        betroffener Fachbereich              Kostenvolumen     bestand Nr.                                               (19. WP / 20. WP bis in 20. WP einschließlich 14.02.2019) 86                Kultusministerium                     19. WP                              Schulaufsicht                    55.692,00 € 87                Kultusministerium                     19. WP                              Schulaufsicht                    27.532,00 € Allgemeinbildendes Schulwesen, 88                Kultusministerium                     19. WP                                                                3.164,00 € Bildungsplanung Allgemeinbildendes Schulwesen, 89                Kultusministerium                     19. WP                                                               29.750,00 € Bildungsplanung Allgemeinbildendes Schulwesen, 90                Kultusministerium                     19. WP                                                               28.228,00 € Bildungsplanung Hessisches Ministerium für Wissenschaft und Kunst Zeitpunkt des Fort- lfd.                                               Vertragsschlusses Ressort                                                        betroffener Fachbereich              Kostenvolumen     bestand Nr.                                               (19. WP / 20. WP bis in 20. WP einschließlich 14.02.2019) 91     Ministerium für Wissenschaft und Kunst           19. WP                                Personal                        7.794,50 € 92     Ministerium für Wissenschaft und Kunst           19. WP                                Personal                        1.700,00 € 93     Ministerium für Wissenschaft und Kunst           19. WP               Vietnamesisch-Deutsche Universität (VDU)        24.000,00 € 94     Ministerium für Wissenschaft und Kunst           19. WP                            Hochschulzugang                   699.058,36 € 95     Ministerium für Wissenschaft und Kunst           19. WP                         Hochschulentwicklung                 177.240,18 € 96     Ministerium für Wissenschaft und Kunst           19. WP                         Hochschulentwicklung                  54.894,04 € 97     Ministerium für Wissenschaft und Kunst           19. WP                         Hochschulbudgetierung                 12.000,00 €        x 98     Ministerium für Wissenschaft und Kunst           19. WP                            Historisches Erbe                 178.500,00 € 6 von 10
19

Anlage zur Antwort auf die Kleine Anfrage 20/154                                                                                 Zur Veröffentlichung bestimmt! 99      Ministerium für Wissenschaft und Kunst                 19. WP                        Kultur, Historisches Erbe                11.424,00 € 100      Ministerium für Wissenschaft und Kunst                 19. WP                              Staatsarchive                      49.980,00 € Hessisches Ministerium für Wirtschaft, Energie, Verkehr und Wohnen Zeitpunkt des Fort- lfd.                                                      Vertragsschlusses Ressort                                                             betroffener Fachbereich                 Kostenvolumen     bestand Nr.                                                      (19. WP / 20. WP bis in 20. WP einschließlich 14.02.2019) Ministerium für Wirtschaft, Energie, Verkehr und 101                                                             19. WP                                Tourismus                        35.426,30 € Wohnen Ministerium für Wirtschaft, Energie, Verkehr und 102                                                             19. WP                                Tourismus                       469.722,40 €        x Wohnen Ministerium für Wirtschaft, Energie, Verkehr und 103                                                             19. WP                                Tourismus                         5.959,00 € Wohnen Ministerium für Wirtschaft, Energie, Verkehr und 104                                                             19. WP                                Tourismus                         8.500,00 € Wohnen Ministerium für Wirtschaft, Energie, Verkehr und 105                                                             19. WP                          Versicherungswesen                     34.646,60 € Wohnen Ministerium für Wirtschaft, Energie, Verkehr und 106                                                             19. WP                                 Energie                        183.355,00 € Wohnen Ministerium für Wirtschaft, Energie, Verkehr und 107                                                             19. WP                              Nahmobilität                      450.367,40 € Wohnen Ministerium für Wirtschaft, Energie, Verkehr und 108                                                             19. WP                              Nahmobilität                      147.431,48 € Wohnen Ministerium für Wirtschaft, Energie, Verkehr und 109                                                             19. WP                              Nahmobilität                      650.216,00 € Wohnen Ministerium für Wirtschaft, Energie, Verkehr und 110                                                             19. WP                                  ÖPNV                           11.900,00 € Wohnen Ministerium für Wirtschaft, Energie, Verkehr und 111                                                             19. WP                                  ÖPNV                           17.850,00 € Wohnen Ministerium für Wirtschaft, Energie, Verkehr und 112                                                             19. WP                                  ÖPNV                          175.000,00 € Wohnen Ministerium für Wirtschaft, Energie, Verkehr und 113                                                             19. WP                                  ÖPNV                           99.000,00 € Wohnen Ministerium für Wirtschaft, Energie, Verkehr und 114                                                             19. WP               Schlüsseltechnologien, Ressourceneffizienz        65.446,50 € Wohnen Ministerium für Wirtschaft, Energie, Verkehr und 115                                                             19. WP                                 Personal                         4.679,56 € Wohnen 7 von 10
20

Zur nächsten Seite