Wohnungsbestand in öffentlicher Hand

/ 14
PDF herunterladen
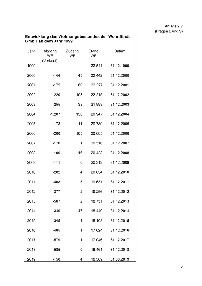
Anlage 2.2 (Fragen 2 und 9) Entwicklung des Wohnungsbestandes der WohnStadt GmbH ab dem Jahr 1999 Jahr    Abgang    Zugang   Stand        Datum WE        WE      WE (Verkauf) 1999                        22.541    31.12.1999 2000         -144       45  22.442    31.12.2000 2001         -175       60  22.327    31.12.2001 2002         -220      108  22.215    31.12.2002 2003         -255       38  21.998    31.12.2003 2004       -1.207      156  20.947    31.12.2004 2005         -178       11  20.780    31.12.2005 2006         -200      105  20.685    31.12.2006 2007         -170        1  20.516    31.12.2007 2008         -109       16  20.423    31.12.2008 2009         -111        0  20.312    31.12.2009 2010         -282        4  20.034    31.12.2010 2011         -408        5  19.631    31.12.2011 2012         -377        2  19.256    31.12.2012 2013         -507        2  18.751    31.12.2013 2014         -349       47  18.449    31.12.2014 2015         -345        4  18.108    31.12.2015 2016         -485        1  17.624    31.12.2016 2017         -579        1  17.046    31.12.2017 2018         -585        0  16.461    31.12.2018 2019         -156        4  16.309    31.08.2019 6
11

Anlage 3 (Frage 3) Übersicht des Wohnungsbestandes mit indirekter Beteiligung durch das Land Hessen (Stand: 30.09.2019) Das Land Hessen ist aktuell mit 8,1% an der Landesbank Hessen-Thüringen (Helaba) beteiligt. Aufgrund der Minderheitenbeteiligung der DKB an der GWH mit 5,1% und einer Beteiligung von 5,1% von Fremden bei der Merian, liegt die indirekte Beteiligung des Landes Hessen bei der GWH und darunter bei der G+S sowie bei der Merian somit bei nur noch 7,7%. Alle anderen Gesellschaften wie GSG und Mavest haben eine indirekte Beteiligung des Landes Hessen von 8,1%. Zeilenbeschrif-    WE       WE       davon      davon        WE       davon       Indirek- tungen             Ge-      Preis-   WE oh-     WE mit       Preis-   WE mit      te Betei- samt     frei     ne Bele-   Bele-        gebun-   Bele-       ligung gungs-     gungs-       den      gungs-      Land bindung    bindung               bindung2    Hessen in % innerhalb Hes-     37.515 30.990     30.632     358          6.525    6.525       7,7 sens G+S Wohnen         647      517      517                     130      130         7,7 Bad Nauheim        18       18       18                                           7,7 Bad Schwalbach     49       49       49                                           7,7 Eltville am Rhein  64       52       52                      12       12          7,7 Frankfurt am       110                                       110      110         7,7 Main Geisenheim         21       21       21                                           7,7 Gelnhausen         62       54       54                      8        8           7,7 Gießen             63       63       63                                           7,7 Idstein            6        6        6                                            7,7 Kassel             230      230      230                                          7,7 Königstein         24       24       24                                           7,7 (Taunus) GSG Siedlung       2.250    2.073    2.073                   177      177         8,1 Altenstadt         12       12       12                                           8,1 Bad Nauheim        63       63       63                                           8,1 Bad Vilbel         611      611      611                                          8,1 Darmstadt          87       87       87                                           8,1 Dreieich           37       18       18                      19       19          8,1 Frankfurt am       825      748      748                     77       77          8,1 Main Friedrichsdorf     88       88       88                                           8,1 Gelnhausen         6        6        6                                            8,1 Langen (Hessen)    54       54       54                                           8,1 7
12

Maintal         48     48     48                     8,1 Messel          42     42     42                     8,1 Neu-Anspach     36     18     18         18    18    8,1 Offenbach am    99     78     78         21    21    8,1 Main Sulzbach        48     48     48                     8,1 (Taunus) Wiesbaden       194    152    152        42    42    8,1 GWH             33.500 27.470 27.112 358 6.030 6.030 7,7 Bad Hersfeld    338    281    281        57    57    7,7 Bad Homburg     549    354    354        195   195   7,7 vor der Höhe Bad Nauheim     44                       44    44    7,7 Bad Soden       46     46     46                     7,7 Bad Vilbel      24     24     24                     7,7 Baunatal        1.412  1.340  1.340      72    72    7,7 Bensheim        48     48     48                     7,7 Bischofsheim    64     64     64                     7,7 Darmstadt       1.378  1.271  1.250  21  107   107   7,7 Dietzenbach     301    173    173        128   128   7,7 Erzhausen       54     54            54              7,7 Eschborn        135    135    135                    7,7 Frankfurt am    10.190 7.335  7.287  48  2.855 2.855 7,7 Main Friedberg (Hes- 95     95     95                     7,7 sen) Friedrichsdorf  216    197    197        19    19    7,7 Fritzlar        382    333    333        49    49    7,7 Fulda           1.163  1.115  1.004  111 48    48    7,7 Gelnhausen      80     80     80                     7,7 Gernsheim       8      8      8                      7,7 Gießen          364    262    262        102   102   7,7 Ginsheim-       466    466    466                    7,7 Gustavsburg Haiger          171    133    117    16  38    38    7,7 Hanau           873    841    841        32    32    7,7 Hattersheim     57     57     57                     7,7 Heppenheim      149    149    149                    7,7 Hochheim am     412    379    379        33    33    7,7 Main Homberg (Ohm)   118    118    118                    7,7 Kassel          5.401  5.028  4.932  96  373   373   7,7 Kelsterbach     165    165    165                    7,7 Korbach         466    437    437        29    29    7,7 Kronberg        32     32     32                     7,7 8
13

(Taunus) Lampertheim     88    88    88               7,7 Langen (Hessen) 26    26    26               7,7 Lohfelden       206   198   198      8   8   7,7 Marburg         1.615 1.029 1.029    586 586 7,7 Melsungen       108   108   108              7,7 Offenbach am    288   288   288              7,7 Main Pfungstadt      66    66    66               7,7 Raunheim        903   796   796      107 107 7,7 Rodgau          120   120   120              7,7 Roßdorf         24    24    24               7,7 Schlüchtern     269   269   269              7,7 Stadtallendorf  416   264   252   12 152 152 7,7 Sulzbach        24    24    24               7,7 (Taunus) Usingen         54    54    54               7,7 Vellmar         98                   98  98  7,7 Weiterstadt     8     8     8                7,7 Wettenberg      10                   10  10  7,7 Wetzlar         67    67    67               7,7 Wiesbaden       3.909 3.021 3.021    888 888 7,7 Mavest Wohnen   595   492   492      103 103 8,1 Frankfurt am    425   322   322      103 103 8,1 Main Langen (Hessen) 72    72    72               8,1 Maintal         32    32    32               8,1 Offenbach am    66    66    66               8,1 Main Merian          523   438   438      85  85  7,7 Dreieich        32    32    32               7,7 Flörsheim am    209   149   149      60  60  7,7 Main Frankfurt am    241   233   233      8   8   7,7 Main Maintal         24    24    24               7,7 Offenbach am    17                   17  17  7,7 Main 9
14