Zusammenarbeit mit den Gesellschaften für christlich-jüdische Zusammenarbeit in Hessen

/ 4
PDF herunterladen
20. Wahlperiode                                                                       Drucksache 20/1771 HESSISCHER LANDTAG                                                                               10. 03. 2020 Kleine Anfrage Dr. h.c. Jörg-Uwe Hahn (Freie Demokraten) und Dr. Stefan Naas (Freie Demokraten) vom 03.01.2020 Zusammenarbeit mit den Gesellschaften für christlich-jüdische Zusammenarbeit in Hessen und Antwort Kultusminister Vorbemerkung Kultusminister: Unter dem Dach des Deutschen Koordinierungsrats der Gesellschaften für christlich-jüdische Zu- sammenarbeit gibt es in der Bundesrepublik Deutschland mehr als 80 Gesellschaften für christlich- jüdische Zusammenarbeit, darunter 15 Gesellschaften in Hessen. Gegründet wurden die Gesell- schaften nach dem Ende des Zweiten Weltkriegs. Sie setzen sich insbesondere für die Verständi- gung und Zusammenarbeit zwischen Christen und Juden, für die Entfaltung freien, ungehinderten jüdischen Lebens in der Bundesrepublik Deutschland und gegen Intoleranz, Fanatismus, Rechts- extremismus und Diskriminierung ein. Die 15 hessischen Gesellschaften haben im Jahr 2011 eine Arbeitsgemeinschaft gegründet, deren gewählte Vertreterinnen und Vertreter administrative Auf- gaben für alle Gesellschaften wahrnehmen. Das Land Hessen fördert die Gesellschaften für christ- lich-jüdische Zusammenarbeit in Hessen seit Anfang der 1950er Jahre. Diese Vorbemerkung vorangestellt, beantworte ich die Kleine Anfrage wie folgt: Frage 1.     Wie bewertet die Landesregierung die Zusammenarbeit mit den Gesellschaften für christlich-jüdi- sche Zusammenarbeit in Hessen (GcjZ)? Die im Jahr 2011 gegründete Dachorganisation der 15 Gesellschaften für christlich-jüdische Zu- sammenarbeit in Hessen ist direkter Ansprechpartner des für die Förderung der Gesellschaften zuständigen Hessischen Kultusministeriums. Die Zusammenarbeit des Kultusministeriums mit den Gesellschaften ist gleichermaßen konstruktiv und zielführend wie vertrauensvoll und freund- lich. Frage 2.     Inwiefern sieht sich das Land in der Verpflichtung, die GcjZ in Hessen immateriell und materiell zu unterstützen? Die Gesellschaften für christlich-jüdische Zusammenarbeit tragen in vielfältiger Weise zum kul- turellen wie auch staatsbürgerlichen Bildungsangebot in ihren Regionen bei. Das Spektrum reicht hierbei von Konzerten, Lesungen, Vortragsabenden und Gesprächsrunden über Exkursionen so- wie mehrtägige Bildungsreisen, Gedenkveranstaltungen und Denkmalpflege bis hin zu Deutsch- kursen und weiteren Integrationsangeboten. Seit dem Jahr 1951 richten die Gesellschaften jedes Jahr im März die Woche der Brüderlichkeit aus. Einen besonderen Platz nimmt die Bildungs- und Aufklärungsarbeit an und mit Schulen ein. Zeitzeugen besuchen Schulklassen, vielfach werden auch gemeinsame Projekte durchgeführt. Mit ihren Veranstaltungen leisten die Gesellschaften für christlich-jüdische Zusammenarbeit einen bedeutsamen, aus Sicht des Landes unverzichtbaren Beitrag zur Aufklärung sowie Verständigung und Zusammenarbeit zwischen Christen und Juden bei gegenseitiger Achtung. Die historisch ge- wachsene Verpflichtung der Zusammenarbeit mit den Gesellschaften für christlich-jüdische Zu- sammenarbeit ist daher mit entsprechender Begründung im Landeshaushalt im Buchungskreis Fördermittel (2395) bei Kapitel 04 02, Förderprodukt 4 (Fachziel Förderung von Kultureinrich- tungen) dauerhaft abgebildet. Im Haushalt 2020 wurde die Förderung der christlich-jüdischen Gesellschaften durch die Landesregierung verdoppelt. Eingegangen am 10. März 2020 · Bearbeitet am 10. März 2020 · Ausgegeben am 12. März 2020 Herstellung: Kanzlei des Hessischen Landtags · Postfach 3240 · 65022 Wiesbaden · www.Hessischer-Landtag.de
1

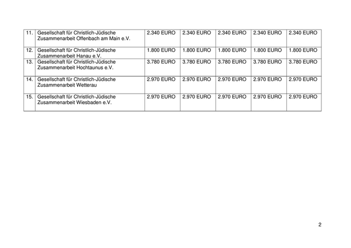
2                                 Hessischer Landtag · 20. Wahlperiode · Drucksache 20/1771 Frage 3.  Inwiefern unterstützt das Land die GcjZ bereits in ihrer Arbeit? In welcher Höhe flossen in den Jahren 2015 bis 2019 Zahlungen an die Gesellschaften für christlich-jüdische Zusammenarbeit in Hessen und wie und nach welchem Schlüssel wurden diese auf die einzelnen regionalen Gesell- schaften aufgeteilt? Die 15 Gesellschaften für christlich-jüdische Zusammenarbeit in Hessen werden vom Land in ihrer Arbeit finanziell unterstützt. Sie erhielten in den Jahren 2015 bis 2019 eine institutionelle Förderung in Höhe von 46.800 € p.A. Davon entfallen auf die einzelne Gesellschaft zwischen 1.800 € und 3.780 €. Die meisten Gesellschaften erhalten 2.970 €. Der Schlüssel wurde von den Gesellschaften im Einvernehmen selbst festgelegt und orientiert sich am jeweiligen Einzugsgebiet. Auf die Anlage wird verwiesen. Frage 4.  Ist für die Zukunft eine weitere und erhöhte finanzielle Unterstützung und in welcher jährlichen Höhe geplant? Mit Verabschiedung des Haushaltsplans 2020 durch den Hessischen Landtag wurde die finanzielle Unterstützung der Gesellschaften für christlich-jüdische Zusammenarbeit pro Jahr verdoppelt. Wiesbaden, 21. Februar 2020 Prof. Dr. R. Alexander Lorz Anlagen
2

Anlage zu KA 20/1771 2015       2016       2017       2018       2019 1.  Gesellschaft für Christlich-Jüdische     2.970 EURO 2.970 EURO 2.970 EURO 2.970 EURO 2.970 EURO Zusammenarbeit Darmstadt 2.  Gesellschaft für Christlich-Jüdische     2.970 EURO 2.970 EURO 2.970 EURO 2.970 EURO 2.970 EURO Zusammenarbeit Dillenburg e.V. 3.  Gesellschaft für Christlich-Jüdische     3.780 EURO 3.780 EURO 3.780 EURO 3.780 EURO 3.780 EURO Zusammenarbeit Frankfurt 4.  Gesellschaft für christlich-jüdische     2.970 EURO 2.970 EURO 2.970 EURO 2.970 EURO 2.970 EURO Zusammenarbeit Fulda 5.  Gesellschaft für Christlich-Jüdische     3.780 EURO 3.780 EURO 3.780 EURO 3.780 EURO 3.780 EURO Zusammenarbeit Gießen-Wetzlar e.V. 6.  Gesellschaft für Christlich-Jüdische     2.970 EURO 2.970 EURO 2.970 EURO 2.970 EURO 2.970 EURO Zusammenarbeit Hersfeld-Rotenburg e.V. 7.  Gesellschaft für Christlich-Jüdische     3.780 EURO 3.780 EURO 3.780 EURO 3.780 EURO 3.780 EURO Zusammenarbeit Kassel 8.  Gesellschaft für Christlich-Jüdische     2.970 EURO 2.970 EURO 2.970 EURO 2.970 EURO 2.970 EURO Zusammenarbeit Limburg e.V. 9.  Gesellschaft für Christlich-Jüdische     2.970 EURO 2.970 EURO 2.970 EURO 2.970 EURO 2.970 EURO Zusammenarbeit im Main-Taunus-Kreis e.V. 10. Gesellschaft für Christlich-Jüdische     3.780 EURO 3.780 EURO 3.780 EURO 3.780 EURO 3.780 EURO Zusammenarbeit Marburg
3

11. Gesellschaft für Christlich-Jüdische  2.340 EURO 2.340 EURO 2.340 EURO 2.340 EURO 2.340 EURO Zusammenarbeit Offenbach am Main e.V. 12. Gesellschaft für Christlich-Jüdische  1.800 EURO 1.800 EURO 1.800 EURO 1.800 EURO 1.800 EURO Zusammenarbeit Hanau e.V. 13. Gesellschaft für Christlich-Jüdische  3.780 EURO 3.780 EURO 3.780 EURO 3.780 EURO 3.780 EURO Zusammenarbeit Hochtaunus e.V. 14. Gesellschaft für Christlich-Jüdische  2.970 EURO 2.970 EURO 2.970 EURO 2.970 EURO 2.970 EURO Zusammenarbeit Wetterau 15. Gesellschaft für Christlich-Jüdische  2.970 EURO 2.970 EURO 2.970 EURO 2.970 EURO 2.970 EURO Zusammenarbeit Wiesbaden e.V. 2
4