Zustand von Straßen und Brücken im Landkreis Limburg-Weilburg - Teil II

/ 5
PDF herunterladen
20. Wahlperiode                                                                       Drucksache 20/3268 HESSISCHER LANDTAG                                                                               09. 10. 2020 Kleine Anfrage Tobias Eckert (SPD), vom 21.07.2020 Zustand von Straßen und Brücken im Landkreis Limburg-Weilburg – Teil II und Antwort Minister für Wirtschaft, Energie, Verkehr und Wohnen Vorbemerkung Minister für Wirtschaft, Energie, Verkehr und Wohnen: Bei Regierungsantritt der Landesregierung in der 19. Legislaturperiode im Jahre 2014 befand sich über ein Fünftel des Landesstraßennetzes in einem sehr schlechten Zustand. Der Sanie- rungsstau hatte sich teilweise über Jahrzehnte aufgebaut. Als Reaktion startete die Landesregie- rung die Sanierungsoffensive 2016 - 2022, die schrittweise in Einzelmaßnahmen investiert und den Grundsatz „Sanierung vor Neubau“ verfolgt. Hierfür wurde anhand einer Prioritätensetzung nach fachlichen, objektiven und transparenten Kriterien, wie Verkehrssicherheit, Verkehrsbe- deutung, Verkehrsqualität, Umfeldsituation und Straßenzustand ein Straßenbauprogramm für sieben Jahre aufgestellt. Mit diesem Programm werden mittlerweile rund 600 Mio. € für gut 700 Einzelmaßnahmen auf- gewendet. Dadurch konnte der Anteil von Sanierungs- und Erhaltungsausgaben an den Investiti- onsmitteln von ca. 72 % im Jahr 2014 auf ca. 90 % im Jahr 2019 gesteigert werden. Insgesamt konnten die Investitionen in die Landesstraßen erheblich gesteigert werden. Wurden im Jahr 2013 lediglich 86,5 Mio. € in den Landesstraßenbau einschließlich des Radwegebaus investiert, sind für das Jahr 2020 Landestraßenbaumittel in Höhe von 132,1 Mio. € eingeplant, einschließlich 8 Mio. € für den Radwegebau. Vor dem Hintergrund dieser positiven Entwicklung wurde das Programm der Sanie- rungsoffensive aktuell fortgeschrieben, indem weitere 465 Sanierungsmaßnahmen mit einem Gesamtvolumen von 325 Mio. € neu aufgenommen wurden, die bis zum Jahr 2025 umgesetzt werden sollen. Damit beläuft sich das Finanzvolumen der gesamten „Sanierungsoffensive 2016 - 2025“ inzwischen auf ein Budget von 930 Mio. € und umfasst 1138 einzelne Sanierungspro- jekte. Diese Vorbemerkungen vorangestellt, beantworte ich die Kleine Anfrage wie folgt: Frage 1.     Welche der Streckenabschnitte der sog. „Sanierungsoffensive 2016-2022“ wurden bisher saniert? (Bitte listen Sie die einzelnen, sanierten Streckenabschnitte auf und der zeitliche Abschluss der Sanierung) a) Wie hoch waren die dafür jeweils eingesetzten originären Landesmittel? (Bitte listen Sie die Mittel zugehörig zu den einzelnen Projekten auf) In der nachfolgenden Tabelle sind sämtliche Baumaßnahmen im Zuge des Landesstraßennetzes im Landkreis Limburg-Weilburg gelistet, die innerhalb der Sanierungsoffensive in den Jahren 2016 bis 2019 umgesetzt wurden, mit der jeweiligen Angabe der aufgewendeten Landesmittel. Projektlänge Straße    Projektbezeichnung                                             Gesamtkosten    Verkehrsfreigabe [Kilometer] Grundhafte Erneuerung zwischen Lim- L 3020                                                       0,6           520.000 €     August 2019 burg/Eschhofen und Runkel/Ennerich Grundhafte Erneuerung zwischen L 3021                                                       2,2         1.360.000 €     Dezember 2016 Weinbach und Weinbach/Elkerhausen Eingegangen am 9. Oktober 2020 · Bearbeitet am 9. Oktober 2020 · Ausgegeben am 13. Oktober 2020 Herstellung: Kanzlei des Hessischen Landtags · Postfach 3240 · 65022 Wiesbaden · www.Hessischer-Landtag.de
1

2                                Hessischer Landtag · 20. Wahlperiode · Drucksache 20/3268 Projektlänge Straße Projektbezeichnung                                     Gesamtkosten  Verkehrsfreigabe [Kilometer] Ausbau Knotenpunkt zwischen Weil- L 3021 münster/Wolfenhausen und Weil-                 1,4       990.000 €   März 2017 münster/Laubuseschbach Grundhafte Erneuerung zwischen Bad L 3030 Camberg/Erbach und Bad Cam-                    2,4       560.000 €   August 2017 berg/Schwickershausen Grundhafte Erneuerung zwischen Bad L 3030 Camberg/Schwickershausen und Ab-               0,9       200.000 €   September 2017 zweig K 514 Grundhafte Erneuerung zwischen Bad L 3030 Camberg/Schwickershausen und                   2,6       510.000 €   November 2017 Kreisgrenze, 1. Bauabschnitt Grundhafte Erneuerung zwischen Bad L 3030 Camberg/Schwickershausen und                   0,6       210.000 €   November 2017 Kreisgrenze, 2. Bauabschnitt Grundhafte Erneuerung zwischen L 3030                                                2,9     1.280.000 €   Juli 2019 Hünfelden/Gnadenthal und der A 3 Grundhafte Erneuerung zwischen L 3030                                                1,1       500.000 €   November 2019 Hünfelden/Dauborn und Bad Camberg Grundhafte Erneuerung zwischen Bad L 3031                                                2,2       740.000 €   September 2018 Camberg und Kreisgrenze Grundhafte Erneuerung zwischen An- L 3031 schlussstelle A 3 (Bad Camberg) und            0,5       440.000 €   Dezember 2019 Bad Camberg Ausbau Knotenpunkt in der Ortsdurch- L 3046                                                0,1        40.000 €   November 2019 fahrt Elbtal/Dorchheim (B 54) Grundhafte Erneuerung in der Orts- L 3046                                                0,3       240.000 €   November 2019 durchfahrt Elbtal/Dorchheim Grundhafte Erneuerung zwischen L 3046 Dornburg/Frickhofen und Elb-                   1,8       560.000 €   Dezember 2019 tal/Dorchheim Grundhafte Erneuerung in der Orts- L 3063                                                0,7       530.000 €   April 2019 durchfahrt Villmar Grundhafte Erneuerung zwischen L 3109 Mengerskirchen/Waldernbacher Stock             3,3       950.000 €   August 2018 und Merenberg Grundhafte Erneuerung zwischen L 3277 Hünfelden/Kirberg und Hünfelden/               1,7       600.000 €   September 2016 Ohren Ausbau Knotenpunkt in Dornburg/ L 3278                                                0,2       220.000 €   Oktober 2018 Thalheim (Süd) Felssicherung zwischen L 3283 Braunfels/Oberndorf und Braunfels/             0,3        40.000 €   Februar 2017 Bonbaden Grundhafte Erneuerung zwischen L 3323 Weinbach/Gräveneck und Weilburg/               1,0       630.000 €   August 2018 Kirschhofen Grundhafte Erneuerung zwischen L 3370 Merenberg/Barig-Selbenhausen und               2,2       690.000 €   Oktober 2019 Mengerskirchen/Probbach Grundhafte Erneuerung zwischen L 3452 Weinbach/Gräveneck und Abzweig                 1,3     1.070.000 €   November 2018 L 3323
2

Hessischer Landtag · 20. Wahlperiode · Drucksache 20/3268               3 Projektlänge Straße   Projektbezeichnung                                            Gesamtkosten     Verkehrsfreigabe [Kilometer] Grundhafte Erneuerung zwischen L 3453                                                    3,4           600.000 €       Dezember 2017 Merenberg/Barig und Löhnberg Frage 1.    b) Welcher dieser Streckenabschnitte wurden bisher nicht saniert? c) Warum wurden diese Abschnitte bisher nicht saniert? (Bitte listen Sie auf) d) Wann plant sie, diese Streckenabschnitte zu sanieren? e) Wie hoch sind die dafür eingeplanten, originären Landesmittel? (Bitte listen Sie diese zuge- ordnet zu den einzelnen ausstehenden Sanierungsprojekten auf) Das Bauprogramm jedes Landkreises in Hessen ergibt sich aus der Dringlichkeit einer Maß- nahme, der verfügbaren Netzkapazität (Anzahl an Streckensperrungen und Umleitungsoptionen) sowie der Personalkapazität zur Umsetzung dieser Maßnahmen. Für den Landkreis Limburg- Weilburg ist geplant, alle vorgesehenen Sanierungsmaßnahmen aus der Sanierungsoffensive 2016 - 2022 bis Ende des Jahres 2022 umgesetzt oder zumindest begonnen zu haben. Vor die- sem Hintergrund sind in der untenstehenden Auflistung all jene Projekte der Sanierungsoffensi- ve enthalten, deren Ausführungsbeginn bis zum Jahr 2022 geplant ist. Geplanter Projektlänge                                        Geplante Ver- Straße   Projektbezeichnung                                Gesamtkosten    Ausführungs- [Kilometer]                                        kehrsfreigabe beginn Grundhafte Erneuerung zwi- schen Waldbrunn/Hausen L 3022                                         0,7            480.000 €         2020             2020 und Landesgrenze Rhein- land-Pfalz Instandsetzung einer Stra- L 3063                                         0,1            100.000 €         2020             2020 ßenstützwand in Villmar Grundhafte Erneuerung L 3022   zwischen Runkel/Hofen und             2,0            900.000 €         2020             2020 Beselich/Niedertiefenbach Grundhafte Erneuerung zwischen Ernsthausen/ L 3025                                         2,1         2.150.000 €          2019             2020 Essershausen und Esels- berg/Freienfels Grundhafte Erneuerung in L 3022   der Ortsdurchfahrt Beselich/          0,6            600.000 €         2020             2021 Obertiefenbach Grundhafte Erneuerung zwi- L 3025   schen Weilburg/Guntersau              0,7            300.000 €         2021             2021 und Weilburg Deckenerneuerung zwi- L 3278   schen Dornburg/Wilsenroth             0,6            620.000 €         2021             2021 und Dornburg/Frickhofen Grundhafte Erneuerung in L 3109   der Ortsdurchfahrt Meren-             0,7            350.000 €         2021             2021 berg Grundhafte Erneuerung in L 3022   der Ortsdurchfahrt Wald-              0,6            430.000 €         2021             2021 brunn/Ellar Grundhafte Erneuerung L 3021   zwischen Brechen/Ober-                0,4            200.000 €         2022             2022 brechen und Villmar/Weyer Grundhafte Erneuerung zwischen Brechen/ L 3022                                         0,6            300.000 €         2022             2022 Werschau und Brechen/ Niederbrechen Grundhafte Erneuerung zwi- L 3281   schen Mengerskirchen/                 0,5            210.000 €         2022             2022 Probach und Löhnberg Grundhafte Erneuerung in L 3365   der Ortsdurchfahrt Brechen/           0,4            200.000 €         2022             2022 Niederbrechen
3

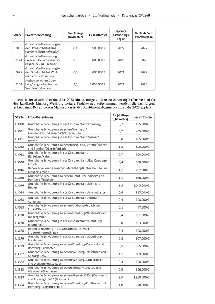
4                                  Hessischer Landtag · 20. Wahlperiode · Drucksache 20/3268 Geplanter Projektlänge                                Geplante Ver- Straße    Projektbezeichnung                             Gesamtkosten Ausführungs- [Kilometer]                                kehrsfreigabe beginn Grundhafte Erneuerung in L 3031    der Ortsdurchfahrt Bad              0,4           500.000 €      2022         2022 Camberg (Bahnhofstraße) Grundhafte Erneuerung L 3278    zwischen Hadamar/Nieder-            0,5           600.000 €      2022         2022 zeuzheim und Hadamar Grundhafte Erneuerung in L 3025    der Ortsdurchfahrt Weil-            0,8           600.000 €      2021         2022 münster/Ernsthausen Ausbau zwischen Dorn- L 3280    burg/Langendernbach und             2,3        1.090.000 €       2022         2023 Waldbrunn/Hausen Innerhalb der aktuell über das Jahr 2022 hinaus fortgeschriebenen Sanierungsoffensive sind für den Landkreis Limburg-Weilburg weitere Projekte neu aufgenommen worden, die nachfolgend gelistet sind. Bei all diesen Maßnahmen ist der Ausführungsbeginn bis zum Jahr 2025 geplant. Projektlänge Straße    Projektbezeichnung                                                     Gesamtkosten [Kilometer] L 3020    Grundhafte Erneuerung in der Ortsdurchfahrt Löhnberg            0,7      495.000 € Grundhafte Erneuerung zwischen Weinbach/ L 3021                                                                    0,7      495.000 € Blessenbach und Weinbach/Elkerhausen Grundhafte Erneuerung in der Ortsdurchfahrt Villmar/ L 3021                                                                    0,8      605.000 € Weyer Grundhafte Erneuerung zwischen Beselich/Niedertiefenbach L 3022                                                                    1,2      825.000 € und Beselich/Obertiefenbach Grundhafte Erneuerung in der Ortsdurchfahrt L 3022                                                                    0,7      550.000 € Hünfelden/Kirberg Grundhafte Erneuerung in der Ortsdurchfahrt Bad Camberg/ L 3030                                                                    0,4      308.000 € Erbach Deckenerneuerung zwischen Merenberg/Rückershausen und L 3046                                                                    1,1      737.000 € Mengerskirchen Grundhafte Erneuerung zwischen Dornburg/Thalheim und L 3046                                                                    1,1      836.000 € Dornburg/Frickhofen Grundhafte Erneuerung in der Ortsdurchfahrt Mengers- L 3046                                                                    1,3    1.045.000 € kirchen L 3054    Grundhafte Erneuerung in der Ortsdurchfahrt Weilmünster         0,6      517.000 € Grundhafte Erneuerung in der Ortsdurchfahrt Villmar/ L 3063                                                                    0,4      308.000 € Aumenau Grundhafte Erneuerung zwischen Limburg/Ahlbach und L 3063                                                                    0,1       77.000 € Runkel/Dehrn Grundhafte Erneuerung zwischen Dornburg/Wilsenroth und L 3278                                                                    0,4      231.000 € Landesgrenze Grundhafte Erneuerung in der Ortsdurchfahrt Dornburg/ L 3278                                                                    0,8      583.000 € Frickhofen Deckenerneuerung in der Ortsdurchfahrt Wald- L 3278                                                                    0,4      308.000 € brunn/Hintermeilingen Grundhafte Erneuerung in der Ortsdurchfahrt Dornburg/ L 3279                                                                    0,8      627.000 € Frickhofen Grundhafte Erneuerung zwischen Dornburg/Dorndorf und L 3279                                                                    0,5      385.000 € Dornburg/Frickhofen Grundhafte Erneuerung zwischen Weilburg/Hasselbach und L 3322                                                                    1,1      869.000 € Abzweig L 3020 Grundhafte Erneuerung zwischen Weilburg/Gaudernbach L 3322                                                                    0,4      308.000 € und Weilburg/Hasselbach Grundhafte Erneuerung zwischen Villmar/Aumenau und L 3323                                                                    0,5      396.000 € Weinbach/Elkerhausen Grundhafte Erneuerung zwischen Abzweig K 434 (Weinbach) L 3323                                                                    2,5    1.980.000 € und Abzweig L 3452 (Gräveneck) Grundhafte Erneuerung zwischen Dornburg/Frickhofen und L 3364                                                                    1,0      770.000 € Dornburg/Langendernbach
4

Hessischer Landtag · 20. Wahlperiode · Drucksache 20/3268              5 Grundhafte Erneuerung zwischen Merenberg und Meren- L 3370                                                                      1,5          858.000 € berg/Barig-Selbenhausen, einschl. Ortsdurchfahrt Merenberg Grundhafte Erneuerung in der Ortsdurchfahrt Wein- L 3451                                                                      0,6          440.000 € bach/Edelsberg Grundhafte Erneuerung in der Ortsdurchfahrt Hada- L 3462                                                                      1,6        1.200.000 € mar/Niederhadamar Frage 2.   Wie viele Meldungen weiterer sanierungsbedürftiger Streckenabschnitte wurden nach 2016 ge- meldet? (Bitte listen Sie diese auf) a) Wie viele dieser Abschnitte wurden durch das Land kontrolliert und für welche Abschnitte wurden daraufhin Maßnahmen eingeleitet? (Bitte listen Sie die Abschnitte und die eingeleite- ten Maßnahmen einzeln auf) Im Zuge der regelmäßigen Streckenkontrollen des Betriebsdienstes von Hessen Mobil werden die Landesstraßen auf ihre Verkehrssicherheit hin überprüft. Soweit hierbei deutliche Ver- schlechterungen von bislang in der Sanierungsoffensive nicht berücksichtigen Streckenabschnit- ten festzustellen sind, werden diese nachträglich in das Bauprogramm aufgenommen. In dieser Weise wurden seit dem Jahr 2017 folgende Maßnahmen in Angriff genommen: Projektlänge                      Verkehrs- Straße   Projektbezeichnung                                                  Gesamtkosten [Kilometer]                      freigabe Erneuerung eines Durchlasses zwischen Villmar/ L 3021                                                            0,1           40.000 €      2020 Weyer und Selters/Münster L 3021   Felshangsicherung bei Weinbach/Freienfels                0,1          160.000 €      2020 Deckenerneuerung zwischen Mengerskirchen und                                         November L 3046                                                            0,3           40.000 € Greifenstein/Arborn                                                                  2017 Beseitigung eines Böschungsrutsches bei Villmar/ L 3323                                                            0,8        1.280.000 €      2020 Aumenau Grundhafte Erneuerung zwischen Abzweig Wein- L 3323                                                            2,6        1.320.000 €      2021 bach und Abzweig Weinbach/Gräveneck Frage 3.   Welche Straßenbaumaßnahmen (Neubau und Sanierung von Kreisstraßen) hat das Land Hessen in den Jahren 2016 bis 2020 im Landkreis Limburg-Weilburg gefördert? (Bitte einzeln und mit der Zuwendungssumme auflisten) Die nachfolgende Tabelle enthält sämtliche Straßenbaumaßnahmen des Landkreises Limburg- Weilburg, die seitens des Landes Hessen seit dem Jahr 2016 nach den Bestimmungen des Ge- meindeverkehrsfinanzierungsgesetzes bzw. des Hessischen Mobilitätsfördergesetzes gefördert wurden. Straße   Projektbezeichnung                                                           Gesamtzuwendungen K 448    Ausbau der Kreuzung zum Kreisverkehrsplatz in Merenberg                              272.300 € K 450    Ausbau der Ortsdurchfahrt Löhnberg, Ortsteil Obershausen                             159.600 € K 451    Ortdurchfahrt Mengerskirchen, Ortsteil Waldernbach                                   228.200 € K 459    Ausbau der Ortsdurchfahrt Oberweyer, Stadt Hadamar                                   336.400 € K 477    Ersatzneubau Elbbachbrücke in Elz und Umbau                                        1.275.400 € K 483    Umbau des Knotenpunkts mit der L 3278                                                  58.100 € K 502/ Ausbau der Ortsdurchfahrt Hünfelden-Mensfelden                                       479.500 € K 501 K 503    Ausbau zwischen Heringen, Gemeinde Hünfelden und der B 417                           560.000 € Wiesbaden, 2. Oktober 2020 Tarek Al-Wazir
5