Nachhaltigkeitsstandards bei der Beschaffung von IT-Geräten

/ 53
PDF herunterladen
Anlage KA 20/2980 Zugesicherte Eigenschaften Los 1 (PC) Es dürfen nur die gelb markierten Felder ausgefüllt werden! Bieter: Ökologische Anforderungen an die PC (s. unten): x = wird erfüllt Bewertung Nr.                 Bezeichnung                            Ö1       Ö2     Ö3 *)    Ö4     Ö5 *)    Ö6 *)     Ö7 *)      Ö8       Ö9         Ö10    Ö11 *) (0-5 Punkte) Bew ertung:    5,0      5,0             5,0                                  5,0      5,0        5,0 1  HessenPC 1                                              x               x        x       x       x          x         x        x          x       x                25 Durchschnittliche Bewertung aller Anforderungen aller Geräte:                                     4,1667 *) Die Anforderungen in den Spalten Ö3, Ö5, Ö6, Ö7 und Ö11 sind Ausschlusskriterien und müssen erfüllt werden! Vorgehen bei der Bewertung: Ein leeres gelbes Bewertungsfeld wird mit 0 Punkten bewertet, ein gelbes Bewertungsfeld mit "x" oder "X" darin wird mit 5 Punkten bewertet. Bitte entweder nur "x" oder "X" eingeben oder das Feld leer lassen. Bitte keine sonstigen Zeichen eingeben! Als letzter Schritt wird die durchschnittliche Punktzahl über alle Artikel berechnet, d.h. die Summe der Bewertungspunkte wird durch die Anzahl der Felder dividiert. Als Ergebnis erhält man einen Wert zwischen 0 und 5, der ein Maß für die Erfüllung der ökologischen Anforderungen ist und zu 30% in die Bewertung des Kriterienkatalogs eingeht (Register "Bewertungskriterien", Kriterienhauptgruppe B3 - Ökologie). Ökologische Anforderungen (PC) Konstruktive Anforde rungen Die Geräte sind so gestaltet, dass im Fachbetrieb eine effiziente (manuelle) Zerlegung des Gehäuses, des Chassis, der Bildschirmeinheiten (wenn Ö1 vorhanden), der Batterien (wenn vorhanden) und der Leiterplatten unterstützt wird oder mit Universalwerkzeugen vorgenommen werden kann. Die Demontage des Gehäuses, des Chassis, der Bildschirmeinheiten (wenn vorhanden), der Batterien (wenn vorhanden) und der Leiterplatten kann eine Ö2 Person alleine durchführen. W e rkstoffw a hl und Ke nnze ichnung Ausschlusskrite rium: Ö3 Kunststoffbauteile mit einer Masse über 25 g müssen entsprechend der Norm ISO 11469 gekennzeichnet sein. Kunststoffteile mit einer Masse über 25 g bestehen aus einem Polymer oder einem recyclingkompatiblen Polymerblend. Es sind maximal vier Ö4 Kunststoffsorten für diese Teile zugelassen. Die Kunststoffgehäuse bestehen insgesamt nur aus zwei voneinander trennbaren Polymeren oder Polymerblends. Ma teriala nforde rungen Ausschlusskrite rium: Halogenhaltige Polymere und Zusätze von halogenorganischen Verbindungen als Flammschutzmittel sind nicht zulässig. Von dieser Regelung ausgenommen sind: ヌ #ioxrurujdqlvfkh#Dgglwlyh#+zlh#}1#E1#Dqwl0Gulsslqj0Uhdjhq}lhq,/#glh#}xu#Yhuehvvhuxqj#ghu#sk|vlndolvfkhq#Hljhqvfkdiwhq#ghu#Nxqvwvwriih#hlqjhvhw}w#zhughq/# Ö5 sofern sie einen Gehalt von 0,5 Gewichtsprozent nicht überschreiten, ヌ #ioxrulhuwh#Nxqvwvwriih#zlh#}1#E1#SWIH/ ヌ #Nxqvwvwriiwhloh/#glh#zhqljhu#dov #58#j#zlhjhq1#Glhvh#gチuihq#mhgrfk#nhlqh#SEE#+sro|eurplhuwh#Elskhq|oh,/#SEGH#+sro|eurplhuwh#Glskhq|ohwkhu,#rghu# Chlorparaffine enthalten. (Diese Ausnahmeregelung gilt jedoch nicht für Tastaturen.) Ausschlusskrite rium: Die in Kunststoffteilen mit einer Masse größ er als 25 g eingesetzten Flammschutzmittel sind durch die CAS-Nummern zu charakterisieren. Weitere Stoffverbote gemäß § 5 ElektroG sind zu beachten. Ferner dürfen den Kunststoffen keine Stoffe zugesetzt sein, die nach Tabelle 3.2 des Anhangs VI der EG-Verordnung 1272/2008 als Ö6 ヌ #nuhevhu}hxjhqg#qdfk#Ndwhjrulh#4/#5#rghu#6/ ヌ #huejxwyhuャqghuqg#qdfk#Ndwhjrulh#4/#5#rghu#6/ ヌ #iruwsiodq}xqjvjhiャkughqg#qdfk#Ndwhjrulh#4/#5#rghu#6 eingestuft sind. Ausschlusskrite rium: Ö7 Dem Trägermaterial der Leiterplatten dürfen keine PBB (polybromierte Biphenyle), PBDE (polybromierte Diphenylether) oder Chlorparaffine zugesetzt sein. Prozessbedingte, technisch unvermeidbare Verunreinigungen sind ausgenommen. Ene rgie verbra uch Lqwhuqh#Qhw}whloh#huuhlfkhq#hohnwulvfkh#Zlunxqjvjudgh#+η,#yrq ヌ #η#ユ#;5#( #ehl#53#( #ghu#Qhqqohlvwxqj/ Ö8 ヌ #η#ユ#;8#( #ehl#83#( #ghu#Qhqqohlvwxqj#xqg ヌ #η#ユ#;5#( #ehl#433#( #ghu#Qhqqohlvwxqj1 Die Nennleistung ist dabei die auf dem Typenschild aufgedruckte Ausgangsleistung (PN) des Netzteils. Ö9 Ghu#Ohlvwxqjvidnwru#+frv #φ,#ghv #Qhw}whlov/#ghu#gdv #Yhukャowqlv #yrq#Zlun0#}x#Vfkhlqohlvwxqj#dqjlew/#lvw#ユ#3/<#ehl#Hqwqdkph#ghu#yroohq#Qhqqohlvwxqj#+433#(,1 Ge rä usche mission Für die angegebenen Schallleistungspegel (Kriterien im Abschnitt B2 im Register "Bewertungskriterien") gilt: Die Bewertung der Geräuschemissionen beruht auf der Angabe der garantierten A-bewerteten Schallleistungspegel in Dezibel (dB) mit einer Qdfknrppdvwhooh1# Glh# D0ehzhuwhwhq# Vfkdooohlvwxqjvshjho# OZD+4ᆱ6,# zhughq# dxi# ghu# Juxqgodjh# ghu# LVR2IGLV# :::<=5343# jhphvvhq# xqg# ehuhfkqhw1# Gdehl# ist sicherzustellen, dass bei Konfigurationsvarianten baugleicher Geräte die jeweils lautesten Einzelkomponenten berücksichtigt werden. Die Messungen sind in folgenden Betriebszuständen vorzunehmen: 1. Das Gerät arbeitet im Leerlaufbetrieb. Die Messung des LW A(1) erfolgt entsprechend ISO/FDIS 7779:2010 im Betriebszustand gemäß ECMA-74:2008 Anhang C.15.3.1. Ö10 2. Das Festplattenlaufwerk (HDD oder SSD) ist aktiviert. Die Messung des LWA(2) erfolgt entsprechend ISO/FDIS 7779:2010 im Betriebszustand gemäß ECMA-74:2008 Anhang C.9.3.2. 3. Ein optisches Laufwerk in typischer Konfiguration ist aktiviert. Die Messung des LWA(3) erfolgt entsprechend ISO/FDIS 7779:2010 im Betriebszustand gemäß ECMA-74:2008 Anhang C.19.3.2. Die Messung kann entfallen, wenn kein optisches Laufwerk vorhanden ist. Dann gilt der W ert für 2. (aktiviertes Festplattenlaufwerk). Damit der Schallleistungspegel als garantiert gelten kann, sind entsprechend ISO 9296:1988 mindestens drei Geräte in jedem Betriebszustand zu prüfen. Glh# jdudqwlhuwhq# Vfkdooohlvwxqjvshjho# OZDg+4ᆱ6,# zhughq# lq# Dqohkqxqj# dq# LVR# <5<9=4<;;# huplwwhow# xqg# lq# Gh}leho# +gE,# plw# hlqhu# Qdfknrppdvwhooh# angegeben. Ta staturen Ausschlusskrite rium: 34 Ö11 Die ergonomischen Eigenschaften der angebotenen Volltastaturen für Arbeitsplatzcomputer         entsprechen den Normen DIN EN ISO 9241-400 und DIN EN ISO 9241-410.
41

Anlage KA 20/2980 Tab. 12:            Beispiel für ein Preisblatt PC (Los 1): Investitionskosten + Stromkosten Bitte nur die gelb markierten Felder ausfüllen! Bieter: Berechnung der Stromkosten Cstrom Bitte die Leistungsaufnahme der Geräte im Register "Stromverbrauch" eintragen! Wenn LTEC = T ypischer, jährlicher Stromverbrauch pro Gerät [kWh/Jahr], dann gilt für die Stromkosten C Strom#iチu #7#Mdkuh#ehl#3/4;#ᄐ#2nZk= CStrom = LTEC#-#3/4;#-#7#^ᄐ` Aufschlag auf             Einkaufspreis des                          Gewichteter Gefordertes Produkt / geforderte                                                                                                         Dqjherwvsuhlv#+ᄐ,# Pos.                                                    Erläuterung              Artikel-Nr.    Einka ufspreis Gewichtung   Elhwhuv#+ᄐ,#sur#                      Dqjherwvsuhlv#+ᄐ,/# Dienstleistung                                                              des Bieters (%) pro Stück, netto Stück, netto                                netto A               HessenPC 1 HessenPC 1: Hardware inklusive PC inkl. dt. Tastatur und Servicepaket S0 1                                                  kabelgebundener opt.                          10,00%         3.000        633/33#ᄐ             663/33#ᄐ          <<31333/33#ᄐ (= gesetzliche Gewährleistung); Wheel-Maus ohne Betriebssystem Aktuelles Microsoft Windows- 2 Betriebssystem, 64 bit                                                                                        3.000                              :3/33#ᄐ          5431333/33#ᄐ (Version 8.1 Prof. oder höher) Servicepaket S1: 3 36 Monate Gewährleistung mit                                                                                   700                               93/33#ᄐ           751333/33#ᄐ vor-Ort Service für HessenPC 1 Servicepaket S2: 4 48 Monate Gewährleistung mit                                                                                  2.000                              <3/33#ᄐ          4;31333/33#ᄐ vor-Ort Service für HessenPC 1 Eingebaute Komponenten/                         Angebotene Ausstattung Pos. Leistung des HessenPC 1:                              /Stromverbrauch: a                  Hersteller des HessenPC 1: b       Modellbezeichnung des HessenPC 1: c                Prozessor (Hersteller/Modell): Die Gewichtung ist nicht identisch mit den späteren, d                          Taktfrequenz [GHz]: tatsächlichen Bestellmengen. e                     Prozessorkerne [Anzahl]: f            Gehäuse: Breite/Höhe/Tiefe [cm]:                                                                   Das Gesamtvolumen dieses Preisblattes sollte aber in etwa Benchmarkwert des Prozessors                                                                     dem jährlichen Volumen der PC-/Thin Client - Beschaffungen g                    (SPECint2006, mind. 40): entsprechen. Laufwerksschächte intern, 3,5" h                                      [Anzahl]: Laufwerksschächte intern, 2,5" i                                      [Anzahl]: Laufwerksschächte extern, 3,5" j                                      [Anzahl]: Laufwerksschächte extern, 2,5" k                                      [Anzahl]: l             Betriebslage [vertikal/horizontal]: Arbeitsspeicher (Dual Channel), mind. m                      8 GB, paarweise Module [Anzahl Module x GB]: n      Festplatte (HDD), mind. 500 GB [GB]: Digitale Schnittstellen Monitor, mind. 2 o                                 [Anzahl/Typ]: p         Onboard Grafik-Chip [Bezeichnung]: Maximale Grafikauflösung bei Anschluss q                von 2 Monitoren, jeweils mind. 1.920x1080 Pixel [Pixel]: r    DVD/BD-Laufwerk [mind. DVD-Brenner]: USB-Schnittstellen, mind. 4 x USB 3.0, s                   extern zugänglich [Anzahl]: Stromkosten Typischer Stromverbrauch/Gerät/Jahr pro Gerät      Stromkosten C Str om (LTEC) für 4 Jahre bei            ^ᄐ`= [kWh/Jahr]: 3/4;#ᄐ2nZk= Typischer Stromverbrauch (TEC) pro TEC          Gerät pro Jahr gemäß Energy Star                         141,91                                     3.000                             435/4;#ᄐ          639185</<5#ᄐ [kW h/a] Zwischensumme (HessenPC 1):                                                                 41:5;185</<5#ᄐ Summe Los 1:                                          41:5;185</<5#ᄐ Von 19% abweichende Umsatz steuer/Mehrwertsteuer bitte hier              19,00% eintragen: Gesamtpreis Los 1 (brutto):                                                         513891<83/93#ᄐ 35
42

Anlage KA 20/2980 Bitte nur die gelb markierten Felder ausfüllen! Bieter: Typischer jährlicher Energieverbrauch L TEC pro Gerätetyp Berechnung des Typischen Stromverbrauchs (LTEC) pro Jahr basierend         LTEC = 8,76 * (LAusgeschaltet * 0,55 + LRuhezustand * 0,05 + LLeerlauf * 0,4) auf ENERGY STAR 5 (Desktop): Einheiten: LTEC=#ᆱᆱᆱᆱᆱᆱᆱᆱᆱᆱᆱ1ᆱᆱ#Nlorzdwwvwxqghq#sur#Mdku#^nZk2d` LAusgeschaltet , LRuhezustand , Lleerlauf=#ᆱ1#Zdww#^Z` HessenPC 1                        Leistung Typischer Stromverbrauch (LTEC) pro Jahr Betriebszustand:                                   Beschreibung:                         Watt [W]                 [kWh/a] Leerlauf (LLe e r lauf)                      Der Stromversorgungszustand, in dem das Gerät nicht aktiv produziert, jedoch die Betriebsbedingungen (ready-mode / idle-mode, ACPI S0:                                                                    39,50 erreicht hat und noch nicht in einen Betriebssystem läuft)                        Stromsparzustand übergegangen ist. Ruhezustand (L Ruhe zus tand) Der Zustand verminderter Leistungsaufnahme, in den                             141,91 (sleep-mode / standby, ACPI S3,                                                                       2,50 das Gerät nach einer Zeit der Inaktivität eintritt. WOL enabled) Ausgeschaltet (L Aus ge s chalte t )         Der Stromversorgungszustand, in den das Gerät (off-mode, ACPI S5,                          übergeht, wenn es ausgeschaltet wurde, aber noch         0,50 WOL disabled)                                an das Stromnetz angeschlossen ist. 6 Qdfkzhlviチkuxqj Als Nachweis, dass die geforderten Anforderungen an das Umweltmanagement erfüllt sind, kann ein Umwelt- management gefordert werden, das nach dem europäischen Umweltmanagementsystem (EMAS) oder ver- gleichbaren, von den Mitgliedstaaten der Europäischen Union anzuerkennenden Normen oder Umweltmana- gementsystemen zertifiziert ist. Für die angebotenen Artikel können Auszeichnungen mit geeigneten Umweltgütezeichen gefordert werden (zu weiteren Anforderungen an Gütezeichen vgl. Abschnitt 4). Andere Gütezeichen oder Nachweise, die bestätigen, dass die Anforderungen des geforderten Gütezeichens erfüllt sind, sind diesem gleichgestellt. Hatte ein Unternehmen aus Gründen, die es nicht zu vertreten hat, nachweislich keine Möglichkeit, das vom öffentlichen Auftraggeber oder Besteller angegebene oder ein gleichwertiges Gütezeichen innerhalb der ein- schlägigen Fristen zu erlangen, so muss der öffentliche Auftraggeber oder Besteller andere geeignete Nach- weise akzeptieren, zu denen auch ein technisches Dossier des Herstellers gehören kann. Für den Nachweis zur Einhaltung der geforderten Vertragsbedingungen sind Bietererklärungen ausreichend. Die Möglichkeit, vor Auftragserteilung in Textform ausgestellte Nachweise von den ausgewählten Bietern zu verlangen, kann in den Vergabeunterlagen vorbehalten werden, soweit sie im Einzelnen benannt sind.28 28   Vgl. § 13 Abs. 1 HVTG 36
43

Anlage KA 20/2980 7 Vdqnwlrqhq Nach § 18 Abs. 1 HVTG soll mit dem Auftragnehmer für den Fall der nicht vertragsgerechten Erfüllung über- nommener Verpflichtungen ein Strafversprechen vereinbart werden. Zur Sicherung der von den Auftragnehmern übernommenen vertraglichen Pflichten soll als Druckmittel eine Vertragsstrafe vereinbart und bei Verwirkung eingetrieben werden. Diese besteht unabhängig von sonstigen zivilrechtlichen Verpflichtungen (z. B. auf Zahlung von Schadensersatz). Die Vorschrift ist eine Soll-Regelung, d. h. der öffentliche Auftraggeber muss die Vertragsstrafe vereinbaren, wenn das zumutbar ist, was von der Beurteilung der Umstände des Einzelfalles abhängt. Das weitere Verfahren ergibt sich aus den §§ 341 ff. BGB. Für die Vereinbarung einer Vertragsstrafe wegen eines Verstoßes gegen die Verpflichtungen aus der Verpflich- tungserklärung zu Tariftreue und Mindestentgelt wird folgender Formulierungsvorschlag gemacht: „Für## jedeŶ# sĐhuldhafteŶ#ウ # erstoß#gegeŶ# #       eine sich aus der Verpflichtungserklärung zu Tariftreue und Mindes- tentgelt ergebende Verpflichtung hat der Auftragnehmer eine Vertragsstrafe in Höhe von einem Prozent der eettoauftragssuŵŵe#zu#zahleŶ.“# Es bleibt unbenommen, noch weitere Vertragsstrafen (z. B. wegen Fristüberschreitung) zu vereinbaren. Die Vertragsstrafen sind insgesamt auf 5 % der Nettoauftragssumme begrenzt. Wenn Bewerber, Bieter, Auftragnehmer, Nachunternehmer und Verleihunternehmer zu den vom Auftragge- ber auferlegten Verpflichtungen eine falsche Erklärung abgeben oder einen unzutreffenden Nachweis vorle- gen, so ist der Auftraggeber berechtigt, den Bieter wegen mangelnder Zuverlässigkeit wenigstens für sechs Monate bis zu drei Jahren von weiteren Vergabeverfahren auszuschließen. 29 8 Vfkoxvvzruw Für die Beschaffung und Nutzung nachhaltiger Produkte sind Vorgaben/Verpflichtungen durch den Dienst- herrn/Arbeitgeber sowie Informationen und Produktpräsentationen für die Beschäftigten nötig. Insofern ist die Einrichtung der Kompetenzstelle für nachhaltige Beschaffung sinnvoll.30 Aus Sicht der Autoren ist die Einhaltung der ökologischen Kriterien realisierbar und bei vielen namhaften Her- stellern von Computern und Monitoren bereits verwirklicht. Auch die Umsetzung der ökologischen Kriterien in die Vergabeunterlagen ist unproblematisch möglich. Durch die Bestimmungen des HVTG wurde die Implementierung von sozialen Kriterien möglich. Sie bleibt aber nach wie vor eine Herausforderung. Zur Stärkung der nachhaltigen Beschaffung von Produkten empfiehlt es sich, mit Nichtregierungsorganisatio- nen zusammenzuarbeiten, um einen kontinuierlichen Informationsaustausch zu gewähren. Dies ist insbeson- dere wichtig, wenn die Computer und Monitore in Schwellenländern produziert werden und sonst nur wenige Informationen über die gültigen Umwelt- und Sozialstandards bekannt werden. Für die Auftraggeber, aber auch für die Auftragnehmer sind die vielen verschiedenen am Markt befindlichen und kostenpflichtigen Gütezeichen problematisch. Diese bescheinigen zum Teil vergleichbare, aber auch nicht vergleichbare Anforderungen und führen somit auf beiden Seiten zu Irritationen, aber auch zu Mehraufwand bei der Erstellung der Vergabeunterlagen sowie im Prüfungsprozess. Der Auftraggeber sollte sich darüber bewusst sein, dass bei der Beschaffung nachhaltiger Computer und Mo- nitore gegenüber dem bislang üblicherweise beschafften Material Mehrkosten entstehen. 29   Vgl. § 18 Abs. 3 HVTG 30   Vgl. www.nachhaltige-beschaffung.info 37
44

Anlage KA 20/2980 9 Yhu}hlfkqlv#hpsihkohqvzhuwhu#Ehvfkdiixqjvkloihq 0  BITKOM; Umweltbundesamt; Beschaffungsamt des Bundesministeriums des Innern (2013): Empfehlungen für die umweltfreundliche Beschaffung von Desktop-PCs. Version 2.0: www.itk-beschaffung.de, www.beschaffung-info.de, www.bitkom.org 0  BITKOM; Umweltbundesamt; Beschaffungsamt des Bundesministeriums des Innern (2013): Empfehlungen für die umweltfreundliche Beschaffung von Notebooks. Version 2.0: www.itk-beschaffung.de, www.beschaffung-info.de, www.bitkom.org 0  BITKOM; Beschaffungsamt des Bundesministeriums des Innern (2012): Produktneutrale Leistungsbeschreibung Monitore. Version 1.0: www.itk-beschaffung.de, www.bitkom.org 0  BITKOM; Beschaffungsamt des Bundesministeriums des Innern (2011): Produktneutrale Leistungsbeschreibung x86-Server. Version 1.1: www.itk-beschaffung.de, www.bitkom.org 0  BITKOM; Beschaffungsamt des Bundesministeriums des Innern (2013): Produktneutrale Leistungsbeschreibung Thin Clients. Version 2.0: www.itk-beschaffung.de, www.bitkom.org 0  Blauer Engel: www.blauer-engel.de 0  Deutsche Energie-Agentur GmbH (dena): Office-Top-Ten: www.stromeffizienz.de 0  Deutsche Energie-Agentur GmbH (dena): Beschaffungsleitfaden. Energieeffiziente Büroge- räte professionell beschaffen: www.stromeffizienz.de 0  EU-Kriterien für die umweltorientierte öffentliche Beschaffung von IT-Geräten (2012): http://ec.europa.eu/environment/gpp/pdf/criteria/office_it_equipment_de.pdf 0  EU-Umweltzeichen Euroblume: www.eu-ecolabel.de 0  Kompetenzstelle für nachhaltige Beschaffung; Beschaffungsamt des Bundesministeriums des Innern: www.nachhaltige-beschaffung.info 0  Umweltbundesamt: www.beschaffung-info.de 0  TCO-Gütesiegel: www.tcodevelopment.de 0  Weltwirtschaft, Ökologie & Entwicklung e. V. (WEED): Buy it fair –#Leitfaden zur Beschaf- fung von Computern nach sozialen und ökologischen Kriterien: www.weed-online.org 10 Dxwruhq#ghv#Ohlwidghqv#+Dxjxvw#5345, 0  Keuch, Adolf Georg; Universität Kassel 0  Schwank, Peter; Hessische Zentrale für Datenverarbeitung 38
45

Anlage KA 20/2980 11 Olwhudwxu02Txhoohqyhu}hlfkqlv Beschaffungsamt des Bundesministeriums des Innern: UfAB VI –#Unterlage für Ausschreibung und Bewertung von IT-Leistungen –#online: www.cio.bund.de/Web/DE/IT-Beschaffung/UfAB/ufab_node.html;jsessio- nid=1D9A71BF40178516B519A43A343F4B2E.2_cid324 Bundesministerium für Arbeit und Soziales: Öffentliche Aufträge –#sozial verantwortlich vergeben –#August 2009; online: www.bmas.de/SharedDocs/Downloads/DE/PDF-Publikationen/a172-Vergabe- recht.pdf;jsessionid=28CF46BFA806B606680D7298B75C8819?__blob=publicationFile Bundesministerium für Umwelt, Naturschutz, Bau und Reaktorsicherheit; Umweltbundesamt: Energiemana- gementsysteme in der Praxis –#ISO 50001: Leitfaden für Unternehmen und Organisationen –#Juni 2012 –# online: https://www.umweltbundesamt.de/sites/default/files/medien/publikation/long/3959.pdf Bundesverband Die VERBRAUCHER INITIATIVE e. V.: Blauer Engel (Computer) –#online: http://label-online.de/label/der-blaue-engel-arbeitsplatzcomputer-schuetzt-das-klima/ Bundesverband Die VERBRAUCHER INITIATIVE e. V.: Blauer Engel (Monitore) –#online: http://label-online.de/label/der-blaue-engel-monitore-schuetzt-das-klima/ Bundesverband Die VERBRAUCHER INITIATIVE e. V.: Energy Star –#online: http://label-online.de/label/energy-star/ Bundesverband Die VERBRAUCHER INITIATIVE e. V.: EU Ecolabel (Tischcomputer) –#online: http://label-online.de/label/europaeisches-umweltzeichen-tischcomputer/ Bundesverband Die VERBRAUCHER INITIATIVE e. V.: EU Ecolabel (Notebooks) –#online: http://label-online.de/label/europaeisches-umweltzeichen-notebooks/ Bundesverband Die VERBRAUCHER INITIATIVE e. V.: TCO Certified –#online: http://label-online.de/label/tco-certified/ Deutscher Städtetag, Bundesministerium für Arbeit und Soziales, Bundesministerium für wirtschaftliche Zu- sammenarbeit und Entwicklung: Die Berücksichtigung sozialer Belange im Vergaberecht: Hinweise für die kommunale Praxis –#Januar 2010 –#www.bmas.de/SharedDocs/Downloads/DE/PDF-Publikatio- nen/a393-vergaberecht.pdf?__blob=publicationFile EU Energy Star: www.eu-energystar.org/ EU Ecolabel: www.eu-ecolabel.de Europäische Kommission: Umweltorientierte Beschaffung! Ein umweltorientiertes öffentliches Beschaffungs- wesen in Europa –#2011; online: http://ec.europa.eu/environment/gpp/pdf/handbook_sum- mary_de.pdf Europäische Kommission: Sozialorientierte Beschaffung –#Ein Leitfaden für die Berücksichtigung sozialer Be- lange im öffentlichen Beschaffungswesen –#2011; online: http://ec.europa.eu/internal_market/publicprocurement/other_aspects/index_de.htm Hessisches Vergabe- und Tariftreuegesetz –#HVTG; online: www.absthessen.de/pdf/HVTG.pdf Informationsangebot der Europäischen Kommission zur umweltfreundlichen öffentlichen Beschaffung, inkl. Empfehlungen für umweltfreundliche öffentliche Beschaffung –#online: http://ec.europa.eu/environment/gpp/index_en.htm International Labour Organization (ILO): ILO-Kernarbeitsnormen –#Die Grundprinzipien der ILO –#online: www.ilo.org/public/german/region/eurpro/bonn/kernarbeitsnormen/index.htm Kompass Nachhaltigkeit –#öffentliche Beschaffung –#online: http://oeffentlichebeschaffung.kompass-nachhaltigkeit.de/ 39
46

Anlage KA 20/2980 MAK- und BAT-Werte-Liste 2014: Maximale Arbeitsplatzkonzentrationen und Biologische Arbeitsstofftole- ranzwerte –#online: http://onlinelibrary.wiley.com/book/10.1002/9783527682010 RAL gGmbH (Blauer Engel): Computer RAL-UZ 78a, November 2014 RAL gGmbH (Blauer Engel): Tastaturen RAL-UZ 78b, Dezember 2014 RAL gGmbH (Blauer Engel): Computerbildschirme RAL-UZ 78c, Dezember 2014 Umweltbundesamt: Rechtsgutachten Umweltfreundliche öffentliche Beschaffung, Juli 2014 –#online: www.umweltbundesamt.de/publikationen/rechtsgutachten-umweltfreundliche-oeffentliche-0 Umweltbundesamt: Ratgeber Umweltfreundliche Beschaffung. Schulungsskripte –#2015 –#online: www.umweltbundesamt.de/publikationen Umweltbundesamt: Umweltfreundliche öffentliche Beschaffung. Hintergrundpapier –#2015 –#online: www.umweltbundesamt.de/search/content/Hintergrundpapier%2520beschaffung Umweltministerium Baden-Württemberg: Umweltorientierte Beschaffung von Gebrauchs- und Verbrauchs- gütern für den Bürobereich –#3. Auflage, 2008 –#online: https://um.baden-wuerttemberg.de/filead- min/redaktion/m-um/intern/Dateien/Dokumente/2_Presse_und_Service/Publikationen/Wirt- schaft/Umweltorientierte_Beschaffung_fuer_den_Buerobereich_1_.pdf Umweltverband Vorarlberger Gemeindehaus: Ökologische Kriterien für die Beschaffung von EDV –#online: www.umweltverband.at/index.php?eID=tx_naw- securedl&u=0&g=0&t=1431780935&hash=8547d3c458c69d04c000856f01cbe49b225c3bd9&file=filead min/user_upload/dokumente/oeffentlich/oekologisch-einkaufen/edv_2012.pdf 40
47

Anlage KA 20/2980 12 Denチu}xqjvyhu}hlfkqlv AEntG    Arbeitnehmer-Entsendegesetz BAT-Wert Biologischer Arbeitsstoff-Toleranzwert BGBl     Bundesgesetzblatt BITKOM   Bundesverband Informationswirtschaft, Telekommunikation und neue Medien e. V. Cat      category CEN      Comité Européen de Normalisation CLP      Classification, Labelling and Packaging dGfx     Diskrete Grafikkarte DIN      Deutsche Industrienorm ECHA     Europäische Chemikalienagentur ECMA     European Computer Manufacturers Association EMAS     Eco Management and Audit Scheme EN       Europäische Norm EnMS     Energiemanagementsysteme EU       Europäische Union EG       Europäische Gemeinschaft EWG      Europäische Wirtschaftsgemeinschaft H-Sätze  Hazard(=Gefahren)-Sätze HVTG     Hessisches Vergabe- und Tariftreuegesetz ILO      International Labour Organization ISO      International Organization for Standardization MAK      Maximale Arbeitsplatzkonzentration MiLoG    Mindestlohngesetz NDD      Network Detailed Design PSU      Power Supply Unit RAL      RAL Deutsches Institut für Gütesicherung und Kennzeichnung e. V. R-Sätze  Risiko-Sätze REACH    Regulation concerning the Registration, Evaluation, Authorisation, and Restric- tion of Chemicals (Europäische Chemikalienverordnung zur Registrierung, Bewer- tung, Zulassung und Beschränkung chemischer Stoffe) TCO      Dachverband der schwedischen Angestelltengewerkschaften (Tjänstemännes Central Organisation) TEC      Typical Energy Consumption TSV      Typischer Stromverbrauch UZ       Umweltzeichen WoL      Wake-on Lan 41
48

Anlage KA 20/2980 13 Dqkdqj <igeŶerkläruŶg##zur#<# iŶhaltuŶg##der##„\erŶarďeitsŶorŵeŶ#O^k  # “## (Nur zu verwenden für Vergabeverfahren im Oberschwellenwertbereich) 1. Bieter (Auftragnehmer), Hersteller (Produkthersteller) 31 und direkte Zulieferer des Herstellers (ohne aus- schließliche Händlerfunktion)32 der# ǀertragsgegeŶstäŶdliĐheŶ# エare# [iŵ## FolgeŶdeŶ## „wrozessďeteiligte“# ge- nannt] haben bei der Ausführung des Auftrages die Vorschriften einzuhalten, mit denen die entsprechenden Kernarbeitsnormen der Internationalen Arbeitsorganisation (ILO) in nationales Recht umgesetzt worden sind. 33 Soweit nationales Recht eines Landes gilt, in dem eine oder mehrere Kernarbeitsnormen nicht ratifiziert oder nicht in nationales Recht umgesetzt worden sind, sind die Prozessbeteiligten verpflichtet, den Wesensgehalt der betreffenden Kernarbeitsnormen dennoch einzuhalten. Dies bedeutet, dass bei der Auftragsausführung, insbesondere bei der Herstellung der zu liefernden Ware ク keine Zwangsarbeit einschließlich Sklaven- und 34Gefängnisarbeit entgegen dem Übereinkommen Nr. 29 über Zwangs- oder Pflichtarbeit vom 28. Juni 1930 (BGBl. 1956 II S. 641) und dem Übereinkommen Nr. 105 über die Abschaffung der Zwangsarbeit vom 25. Juni 1957 (BGBl. 1959 II S. 442) geleistet wird; ク allen Arbeitnehmern/-innen das Recht, Gewerkschaften zu gründen und ihnen beizutreten sowie das Recht auf Tarifverhandlungen entsprechend dem Übereinkommen Nr. 87 über die Vereinigungsfrei- heit und den Schutz des Vereinigungsrechtes vom 9. Juli 1948 (BGBl. 1956 II S. 2073) und dem Über- einkommen Nr. 98 über die Anwendung der Grundsätze des Vereinigungsrechtes und des Rechtes zu Kollektivverhandlungen vom 1. Juli 1949 (BGBl. 1955 II S. 1123) gewährt wird; ク keine Unterscheidung, Ausschließung oder Bevorzugung, die auf Grund der Rasse, der Hautfarbe, des Geschlechts, des Glaubensbekenntnisses, der politischen Meinung, der nationalen Abstammung oder der sozialen Herkunft entgegen dem Übereinkommen Nr. 111 über die Diskriminierung in Beschäfti- gung und Beruf vom 25. Juni 1958 (BGBl. 1961 II S. 98) vorgenommen wird, die dazu führt, dass die Gleichheit der Gelegenheiten oder der Behandlung in Beschäftigung oder Beruf aufgehoben oder be- einträchtigt wird; ク männlichen und weiblichen Arbeitskräften entsprechend dem Übereinkommen Nr. 100 über die Gleichheit des Entgelts männlicher und weiblicher Arbeitskräfte für gleichwertige Arbeit vom 29. Juni 1951 (BGBl. 1956 II S. 24) das gleiche Entgelt gezahlt wird; ク keine Kinderarbeit in ihren schlimmsten Formen entgegen dem Übereinkommen Nr. 182 über das Ver- bot und unverzügliche Maßnahmen zur Beseitigung der schlimmsten Formen der Kinderarbeit vom 17. Juni 1999 (BGBl. 2001 II S. 1291) und dem Übereinkommen Nr. 138 über das Mindestalter für die Zu- lassung zur Beschäftigung vom 19. Juni 1976 geleistet wird. 2. Ich unterstütze die öffentliche Auftraggeberin bei der Überprüfung der Einhaltung der unter Ziffer 1. aufge- führten Anforderungen wie folgt: Als Bindeglied zwischen Auftraggeberin und den Prozessbeteiligten werde ich auf Verlangen alle dafür erfor- derlichen Nachweise anfordern und weiterleiten. 31  Als Produkthersteller gilt derjenige, der Hersteller im Sinne von § 4 Abs.1 ProduktHaftG der vertragsgegenständlichen Ware ist. 32  Die direkte Zuliefereigenschaft eines Unternehmens entfällt nicht dadurch, dass ein Unternehmen mit ausschließli- cher Händlerfunktion zwischengeschaltet wird. 33  Bei den Kernarbeitsnormen handelt es sich um die Übereinkommen Nr. 29, Nr. 87, Nr. 98, Nr. 100, Nr. 105, Nr. 111, Nr. 138 und Nr. 182. Die Normen sind online abrufbar unter www.ilo.org/public/german/region/eurpro/bonn/kernar- beitsnormen/index.htm. 34  unfreiwillige 42
49

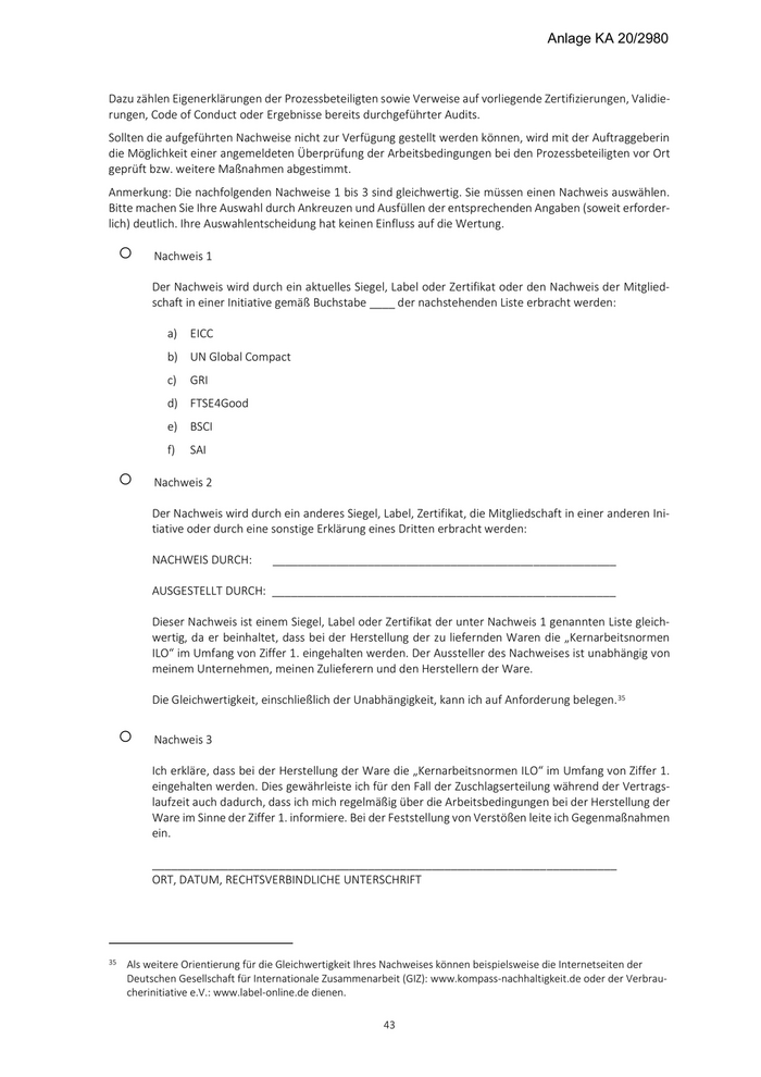
Anlage KA 20/2980 Dazu zählen Eigenerklärungen der Prozessbeteiligten sowie Verweise auf vorliegende Zertifizierungen, Validie- rungen, Code of Conduct oder Ergebnisse bereits durchgeführter Audits. Sollten die aufgeführten Nachweise nicht zur Verfügung gestellt werden können, wird mit der Auftraggeberin die Möglichkeit einer angemeldeten Überprüfung der Arbeitsbedingungen bei den Prozessbeteiligten vor Ort geprüft bzw. weitere Maßnahmen abgestimmt. Anmerkung: Die nachfolgenden Nachweise 1 bis 3 sind gleichwertig. Sie müssen einen Nachweis auswählen. Bitte machen Sie Ihre Auswahl durch Ankreuzen und Ausfüllen der entsprechenden Angaben (soweit erforder- lich) deutlich. Ihre Auswahlentscheidung hat keinen Einfluss auf die Wertung. ○      Nachweis 1 Der Nachweis wird durch ein aktuelles Siegel, Label oder Zertifikat oder den Nachweis der Mitglied- schaft in einer Initiative gemäß Buchstabe ____ der nachstehenden Liste erbracht werden: a)    EICC b) UN Global Compact c)    GRI d) FTSE4Good e)    BSCI f)    SAI ○      Nachweis 2 Der Nachweis wird durch ein anderes Siegel, Label, Zertifikat, die Mitgliedschaft in einer anderen Ini- tiative oder durch eine sonstige Erklärung eines Dritten erbracht werden: NACHWEIS DURCH:              ______________________________________________________ AUSGESTELLT DURCH: ______________________________________________________ Dieser Nachweis ist einem Siegel, Label oder Zertifikat der unter Nachweis 1 genannten Liste gleich- ǁertig,## da#er## ďeiŶhaltet,## dass#ďei#der#L # #       erstelluŶg#der# zu# lieferŶdeŶ#エareŶ# die#„\erŶarďeitsŶorŵeŶ## O^k“#iŵ#ィŵ# faŶg#ǀoŶ#ソ   # iffer##ϭ.## eiŶgehalteŶ#ǁerdeŶ.#8er#$ # # usste ller des Nachweises ist unabhängig von meinem Unternehmen, meinen Zulieferern und den Herstellern der Ware. Die Gleichwertigkeit, einschließlich der Unabhängigkeit, kann ich auf Anforderung belegen. 35 ○      Nachweis 3 OĐh# erkläre,## dass# ďei#der#L #       erstelluŶg#der#エare# die#„\erŶarďeitsŶorŵeŶ#O^k“# iŵ#ィŵfaŶg# #       ǀoŶ#ソ# iffer#ϭ.# # # eingehalten werden. Dies gewährleiste ich für den Fall der Zuschlagserteilung während der Vertrags- laufzeit auch dadurch, dass ich mich regelmäßig über die Arbeitsbedingungen bei der Herstellung der Ware im Sinne der Ziffer 1. informiere. Bei der Feststellung von Verstößen leite ich Gegenmaßnahmen ein. _________________________________________________________________________ ORT, DATUM, RECHTSVERBINDLICHE UNTERSCHRIFT 35  Als weitere Orientierung für die Gleichwertigkeit Ihres Nachweises können beispielsweise die Internetseiten der Deutschen Gesellschaft für Internationale Zusammenarbeit (GIZ): www.kompass-nachhaltigkeit.de oder der Verbrau- cherinitiative e.V.: www.label-online.de dienen. 43
50

Zur nächsten Seite