25 Jahre Verfassung des Landes Mecklenburg-Vorpommern

/ 552
PDF herunterladen
Landtag Mecklenburg-Vorpommern - 7. Wahlperiode                            Drucksache 7/5155 Schuljahr         Dienst-        Organisationsform                     Schulname              Schulort  Rechts-   Gesamt- stellen-                                                                               status   schüler- nummer                                                                                             zahl 2010/2011       75135107       Grundschule         Ostsee-Grundschule Graal-Müritz        Graal-Müritz Öffentlich    102 2009/2010       75135107       Grundschule         Ostsee-Grundschule Graal-Müritz        Graal-Müritz Öffentlich      98 2008/2009       75135107       Grundschule         Ostsee-Grundschule Graal-Müritz        Graal-Müritz Öffentlich      92 2018/2019       75135109       Grundschule         Grundschule „Am Mühlenberg“ Kröpelin   Kröpelin     Öffentlich    130 2017/2018       75135109       Grundschule         Grundschule „Am Mühlenberg“ Kröpelin   Kröpelin     Öffentlich    137 2016/2017       75135109       Grundschule         Grundschule „Am Mühlenberg“ Kröpelin   Kröpelin     Öffentlich    128 2015/2016       75135109       Grundschule         Grundschule „Am Mühlenberg“ Kröpelin   Kröpelin     Öffentlich    134 2014/2015       75135109       Grundschule         Grundschule „Am Mühlenberg“ Kröpelin   Kröpelin     Öffentlich    151 2013/2014       75135109       Grundschule         Grundschule „Am Mühlenberg“ Kröpelin   Kröpelin     Öffentlich    156 2012/2013       75135109       Grundschule         Grundschule „Am Mühlenberg“ Kröpelin   Kröpelin     Öffentlich    157 2011/2012       75135109       Grundschule         Grundschule „Am Mühlenberg“ Kröpelin   Kröpelin     Öffentlich    153 2010/2011       75135109       Grundschule         Grundschule „Am Mühlenberg“ Kröpelin   Kröpelin     Öffentlich    151 2009/2010       75135109       Grundschule         Grundschule „Am Mühlenberg“ Kröpelin   Kröpelin     Öffentlich    157 2008/2009       75135109       Grundschule         Grundschule Kröpelin                   Kröpelin     Öffentlich    152 2018/2019       75135111       Grundschule         Fritz-Reuter-Grundschule Kühlungsborn  Kühlungsborn Öffentlich    277 2017/2018       75135111       Grundschule         Fritz-Reuter-Grundschule Kühlungsborn  Kühlungsborn Öffentlich    287 2016/2017       75135111       Grundschule         Fritz-Reuter-Grundschule Kühlungsborn  Kühlungsborn Öffentlich    278 2015/2016       75135111       Grundschule         Fritz-Reuter-Grundschule Kühlungsborn  Kühlungsborn Öffentlich    262 2014/2015       75135111       Grundschule         Fritz-Reuter-Grundschule Kühlungsborn  Kühlungsborn Öffentlich    249 2013/2014       75135111       Grundschule         Fritz-Reuter-Grundschule Kühlungsborn  Kühlungsborn Öffentlich    267 2012/2013       75135111       Grundschule         Fritz-Reuter-Grundschule Kühlungsborn  Kühlungsborn Öffentlich    271 2011/2012       75135111       Grundschule         Fritz-Reuter-Grundschule Kühlungsborn  Kühlungsborn Öffentlich    269 2010/2011       75135111       Grundschule         Fritz-Reuter-Grundschule Kühlungsborn  Kühlungsborn Öffentlich    263 2009/2010       75135111       Grundschule         Fritz-Reuter-Grundschule Kühlungsborn  Kühlungsborn Öffentlich    272 2008/2009       75135111       Grundschule         Fritz-Reuter-Grundschule Kühlungsborn  Kühlungsborn Öffentlich    260 2018/2019       75135113       Grundschule         Grundschule „Am Hellbach“              Neubukow     Öffentlich    217 2017/2018       75135113       Grundschule         Grundschule „Am Hellbach“              Neubukow     Öffentlich    230 2016/2017       75135113       Grundschule         Grundschule „Am Hellbach“              Neubukow     Öffentlich    221 151
151

Drucksache 7/5155                                Landtag Mecklenburg-Vorpommern - 7. Wahlperiode Schuljahr    Dienst-   Organisationsform                         Schulname                          Schulort  Rechts-   Gesamt- stellen-                                                                                          status   schüler- nummer                                                                                                        zahl 2015/2016   75135113  Grundschule        Grundschule „Am Hellbach“                             Neubukow      Öffentlich    207 2014/2015   75135113  Grundschule        Grundschule „Am Hellbach“                             Neubukow      Öffentlich    219 2013/2014   75135113  Grundschule        Grundschule „Am Hellbach“                             Neubukow      Öffentlich    206 2012/2013   75135113  Grundschule        Grundschule „Am Hellbach“                             Neubukow      Öffentlich    212 2011/2012   75135113  Grundschule        Grundschule „Am Hellbach“                             Neubukow      Öffentlich    225 2010/2011   75135113  Grundschule        Grundschule „Am Hellbach“                             Neubukow      Öffentlich    215 2009/2010   75135113  Grundschule        Grundschule „Am Hellbach“                             Neubukow      Öffentlich    223 2008/2009   75135113  Grundschule        Grundschule „Am Hellbach“                             Neubukow      Öffentlich    240 2018/2019   75135114  Grundschule        Grundschule „De Likedeeler“                           Rövershagen   Öffentlich    198 2017/2018   75135114  Grundschule        Grundschule „De Likedeeler“                           Rövershagen   Öffentlich    205 2016/2017   75135114  Grundschule        Grundschule „De Likedeeler“                           Rövershagen   Öffentlich    195 2015/2016   75135114  Grundschule        Grundschule „De Likedeeler“                           Rövershagen   Öffentlich    170 2014/2015   75135114  Grundschule        Grundschule „De Likedeeler“                           Rövershagen   Öffentlich    171 2013/2014   75135114  Grundschule        Grundschule „De Likedeeler“                           Rövershagen   Öffentlich    172 2012/2013   75135114  Grundschule        Grundschule „De Likedeeler“                           Rövershagen   Öffentlich    158 2011/2012   75135114  Grundschule        Grundschule „De Likedeeler“                           Rövershagen   Öffentlich    149 2010/2011   75135114  Grundschule        Grundschule „De Likedeeler“                           Rövershagen   Öffentlich    144 2009/2010   75135114  Grundschule        Grundschule „De Likedeeler“                           Rövershagen   Öffentlich    137 2008/2009   75135114  Grundschule        Grundschule „De Likedeeler“                           Rövershagen   Öffentlich    138 2018/2019   75135116  Grundschule        Grundschule Lichtenhagen-Dorf                         Lichtenhagen  Öffentlich    156 2017/2018   75135116  Grundschule        Grundschule Lichtenhagen-Dorf                         Lichtenhagen  Öffentlich    155 2016/2017   75135116  Grundschule        Grundschule Lichtenhagen-Dorf                         Lichtenhagen  Öffentlich    151 2015/2016   75135116  Grundschule        Grundschule Lichtenhagen-Dorf                         Lichtenhagen  Öffentlich    141 2014/2015   75135116  Grundschule        Grundschule Lichtenhagen-Dorf                         Lichtenhagen  Öffentlich    125 2013/2014   75135116  Grundschule        Grundschule Lichtenhagen-Dorf                         Lichtenhagen  Öffentlich    124 2012/2013   75135116  Grundschule        Grundschule Lichtenhagen-Dorf                         Lichtenhagen  Öffentlich    126 2011/2012   75135116  Grundschule        Grundschule Lichtenhagen-Dorf                         Lichtenhagen  Öffentlich    123 2010/2011   75135116  Grundschule        Grundschule Lichtenhagen-Dorf                         Lichtenhagen  Öffentlich    139 152
152

Landtag Mecklenburg-Vorpommern - 7. Wahlperiode                            Drucksache 7/5155 Schuljahr         Dienst-        Organisationsform                     Schulname               Schulort  Rechts-   Gesamt- stellen-                                                                                status   schüler- nummer                                                                                              zahl 2009/2010       75135116       Grundschule         Grundschule Lichtenhagen-Dorf          Lichtenhagen  Öffentlich    138 2008/2009       75135116       Grundschule         Grundschule Lichtenhagen-Dorf          Lichtenhagen  Öffentlich    126 2018/2019       75135117       Grundschule         Grundschule Sanitz                     Sanitz        Öffentlich    222 2017/2018       75135117       Grundschule         Grundschule Sanitz                     Sanitz        Öffentlich    225 2016/2017       75135117       Grundschule         Grundschule Sanitz                     Sanitz        Öffentlich    215 2015/2016       75135117       Grundschule         Grundschule Sanitz                     Sanitz        Öffentlich    210 2014/2015       75135117       Grundschule         Grundschule Sanitz                     Sanitz        Öffentlich    214 2013/2014       75135117       Grundschule         Grundschule Sanitz                     Sanitz        Öffentlich    210 2012/2013       75135117       Grundschule         Grundschule Sanitz                     Sanitz        Öffentlich    213 2011/2012       75135117       Grundschule         Grundschule Sanitz                     Sanitz        Öffentlich    212 2010/2011       75135117       Grundschule         Grundschule Sanitz                     Sanitz        Öffentlich    224 2009/2010       75135117       Grundschule         Grundschule Sanitz                     Sanitz        Öffentlich    229 2008/2009       75135117       Grundschule         Grundschule Sanitz                     Sanitz        Öffentlich    227 2010/2011       75135118       Grundschule         Rudolf-Bartels-Grundschule Schwaan     Schwaan       Öffentlich    224 2009/2010       75135118       Grundschule         Rudolf-Bartels-Grundschule Schwaan     Schwaan       Öffentlich    231 2008/2009       75135118       Grundschule         Grundschule Schwaan                    Schwaan       Öffentlich    235 2017/2018       75135119       Grundschule         Grundschule „An der Recknitz“          Tessin        Öffentlich    169 2016/2017       75135119       Grundschule         Grundschule „An der Recknitz“          Tessin        Öffentlich    186 2015/2016       75135119       Grundschule         Grundschule an der Recknitz            Tessin        Öffentlich    175 2014/2015       75135119       Grundschule         Grundschule an der Recknitz            Tessin        Öffentlich    165 2013/2014       75135119       Grundschule         Grundschule an der Recknitz            Tessin        Öffentlich    182 2012/2013       75135119       Grundschule         Grundschule an der Recknitz            Tessin        Öffentlich    184 2011/2012       75135119       Grundschule         Grundschule an der Recknitz            Tessin        Öffentlich    178 2010/2011       75135119       Grundschule         Grundschule an der Recknitz            Tessin        Öffentlich    192 2009/2010       75135119       Grundschule         Grundschule an der Recknitz            Tessin        Öffentlich    194 2008/2009       75135119       Grundschule         Grundschule an der Recknitz            Tessin        Öffentlich    200 2018/2019       75135121       Grundschule         Grundschule Blankenhagen               Blankenhagen  Öffentlich    126 2017/2018       75135121       Grundschule         Grundschule Blankenhagen               Blankenhagen  Öffentlich    132 153
153

Drucksache 7/5155                                Landtag Mecklenburg-Vorpommern - 7. Wahlperiode Schuljahr    Dienst-   Organisationsform                         Schulname                         Schulort  Rechts-   Gesamt- stellen-                                                                                         status   schüler- nummer                                                                                                       zahl 2016/2017   75135121  Grundschule        Grundschule Blankenhagen                              Blankenhagen Öffentlich    113 2015/2016   75135121  Grundschule        Grundschule Blankenhagen                              Blankenhagen Öffentlich    113 2014/2015   75135121  Grundschule        Grundschule Blankenhagen                              Blankenhagen Öffentlich     99 2013/2014   75135121  Grundschule        Grundschule Blankenhagen                              Blankenhagen Öffentlich     85 2012/2013   75135121  Grundschule        Grundschule Blankenhagen                              Blankenhagen Öffentlich     92 2011/2012   75135121  Grundschule        Grundschule Blankenhagen                              Blankenhagen Öffentlich     88 2010/2011   75135121  Grundschule        Grundschule Blankenhagen                              Blankenhagen Öffentlich     89 2009/2010   75135121  Grundschule        Grundschule Blankenhagen                              Blankenhagen Öffentlich     98 2008/2009   75135121  Grundschule        Grundschule Blankenhagen                              Blankenhagen Öffentlich     94 2009/2010   75135122  Grundschule        Grundschule Kavelstorf                                Kavelstorf   Öffentlich     65 2008/2009   75135122  Grundschule        Grundschule Kavelstorf                                Kavelstorf   Öffentlich     74 2018/2019   75135125  Grundschule        Grundschule Parkentin                                 Parkentin    Öffentlich     94 2017/2018   75135125  Grundschule        Grundschule Parkentin                                 Parkentin    Öffentlich    102 2016/2017   75135125  Grundschule        Grundschule Parkentin                                 Parkentin    Öffentlich    104 2015/2016   75135125  Grundschule        Grundschule Parkentin                                 Parkentin    Öffentlich     98 2014/2015   75135125  Grundschule        Grundschule Parkentin                                 Parkentin    Öffentlich     97 2013/2014   75135125  Grundschule        Grundschule Parkentin                                 Parkentin    Öffentlich     93 2012/2013   75135125  Grundschule        Grundschule Parkentin                                 Parkentin    Öffentlich     93 2011/2012   75135125  Grundschule        Grundschule Parkentin                                 Parkentin    Öffentlich     99 2010/2011   75135125  Grundschule        Grundschule Parkentin                                 Parkentin    Öffentlich    101 2009/2010   75135125  Grundschule        Grundschule Parkentin                                 Parkentin    Öffentlich    116 2008/2009   75135125  Grundschule        Grundschule Parkentin                                 Parkentin    Öffentlich    124 2018/2019   75135137  Grundschule        Grundschule an der Carbäk                             Broderstorf  Öffentlich    271 2017/2018   75135137  Grundschule        Grundschule an der Carbäk                             Broderstorf  Öffentlich    247 2016/2017   75135137  Grundschule        Grundschule an der Carbäk                             Broderstorf  Öffentlich    209 2015/2016   75135137  Grundschule        Grundschule an der Carbäk                             Broderstorf  Öffentlich    210 2014/2015   75135137  Grundschule        Grundschule an der Carbäk                             Broderstorf  Öffentlich    199 2013/2014   75135137  Grundschule        Grundschule an der Carbäk                             Broderstorf  Öffentlich    183 154
154

Landtag Mecklenburg-Vorpommern - 7. Wahlperiode                            Drucksache 7/5155 Schuljahr         Dienst-        Organisationsform                     Schulname               Schulort  Rechts-   Gesamt- stellen-                                                                                status   schüler- nummer                                                                                              zahl 2012/2013       75135137       Grundschule         Grundschule an der Carbäk              Broderstorf   Öffentlich    170 2011/2012       75135137       Grundschule         Grundschule an der Carbäk              Broderstorf   Öffentlich    182 2010/2011       75135137       Grundschule         Grundschule an der Carbäk              Broderstorf   Öffentlich    181 2009/2010       75135137       Grundschule         Grundschule an der Carbäk              Broderstorf   Öffentlich    179 2008/2009       75135137       Grundschule         Grundschule an der Carbäk              Broderstorf   Öffentlich    175 2018/2019       75135138       Grundschule         Regenbogenkinder Grundschule Kritzmow  Kritzmow      Öffentlich    213 2017/2018       75135138       Grundschule         Regenbogenkinder Grundschule Kritzmow  Kritzmow      Öffentlich    223 2016/2017       75135138       Grundschule         Regenbogenkinder Grundschule Kritzmow  Kritzmow      Öffentlich    224 2015/2016       75135138       Grundschule         Regenbogenkinder Grundschule Kritzmow  Kritzmow      Öffentlich    209 2014/2015       75135138       Grundschule         Regenbogenkinder Grundschule Kritzmow  Kritzmow      Öffentlich    189 2013/2014       75135138       Grundschule         Regenbogenkinder Grundschule Kritzmow  Kritzmow      Öffentlich    178 2012/2013       75135138       Grundschule         Regenbogenkinder Grundschule Kritzmow  Kritzmow      Öffentlich    170 2011/2012       75135138       Grundschule         Regenbogenkinder Grundschule Kritzmow  Kritzmow      Öffentlich    148 2010/2011       75135138       Grundschule         Regenbogenkinder Grundschule Kritzmow  Kritzmow      Öffentlich    136 2009/2010       75135138       Grundschule         Regenbogenkinder Grundschule Kritzmow  Kritzmow      Öffentlich    126 2008/2009       75135138       Grundschule         Regenbogenkinder Grundschule Kritzmow  Kritzmow      Öffentlich    134 2018/2019       75135140       Grundschule         Grundschule Rerik                      Rerik         Öffentlich      88 2017/2018       75135140       Grundschule         Grundschule Rerik                      Rerik         Öffentlich      82 2016/2017       75135140       Grundschule         Grundschule Rerik                      Rerik         Öffentlich      81 2015/2016       75135140       Grundschule         Grundschule Rerik                      Rerik         Öffentlich      71 2014/2015       75135140       Grundschule         Grundschule Rerik                      Rerik         Öffentlich      75 2013/2014       75135140       Grundschule         Grundschule Rerik                      Rerik         Öffentlich      81 2012/2013       75135140       Grundschule         Grundschule Rerik                      Rerik         Öffentlich      79 2011/2012       75135140       Grundschule         Grundschule Rerik                      Rerik         Öffentlich      76 2010/2011       75135140       Grundschule         Grundschule Rerik                      Rerik         Öffentlich      70 2009/2010       75135140       Grundschule         Grundschule Rerik                      Rerik         Öffentlich      61 2008/2009       75135140       Grundschule         Grundschule Rerik                      Rerik         Öffentlich      57 2018/2019       75135201       Grundschule         Grundschule „Am Klosterberg“           Altentreptow  Öffentlich    284 155
155

Drucksache 7/5155                                Landtag Mecklenburg-Vorpommern - 7. Wahlperiode Schuljahr    Dienst-   Organisationsform                         Schulname                          Schulort  Rechts-   Gesamt- stellen-                                                                                          status   schüler- nummer                                                                                                        zahl 2017/2018   75135201  Grundschule        Grundschule „Am Klosterberg“                          Altentreptow  Öffentlich    274 2016/2017   75135201  Grundschule        Grundschule „Am Klosterberg“                          Altentreptow  Öffentlich    278 2015/2016   75135201  Grundschule        Grundschule                                           Altentreptow  Öffentlich    255 2014/2015   75135201  Grundschule        Grundschule                                           Altentreptow  Öffentlich    232 2013/2014   75135201  Grundschule        Grundschule                                           Altentreptow  Öffentlich    234 2012/2013   75135201  Grundschule        Grundschule                                           Altentreptow  Öffentlich    252 2011/2012   75135201  Grundschule        Grundschule                                           Altentreptow  Öffentlich    260 2010/2011   75135201  Grundschule        Grundschule                                           Altentreptow  Öffentlich    254 2009/2010   75135201  Grundschule        Grundschule                                           Altentreptow  Öffentlich    252 2008/2009   75135201  Grundschule        Grundschule                                           Altentreptow  Öffentlich    260 2018/2019   75135202  Grundschule        Grundschule                                           Dargun        Öffentlich    186 2017/2018   75135202  Grundschule        Grundschule                                           Dargun        Öffentlich    192 2016/2017   75135202  Grundschule        Grundschule                                           Dargun        Öffentlich    190 2015/2016   75135202  Grundschule        Grundschule                                           Dargun        Öffentlich    172 2014/2015   75135202  Grundschule        Grundschule                                           Dargun        Öffentlich    159 2013/2014   75135202  Grundschule        Grundschule                                           Dargun        Öffentlich    157 2012/2013   75135202  Grundschule        Grundschule                                           Dargun        Öffentlich    145 2011/2012   75135202  Grundschule        Grundschule                                           Dargun        Öffentlich    155 2010/2011   75135202  Grundschule        Grundschule                                           Dargun        Öffentlich    160 2009/2010   75135202  Grundschule        Grundschule                                           Dargun        Öffentlich    152 2008/2009   75135202  Grundschule        Grundschule                                           Dargun        Öffentlich    147 2018/2019   75135203  Grundschule        Grundschule „Heinrich Zille“                          Demmin        Öffentlich    369 2017/2018   75135203  Grundschule        Grundschule „Heinrich Zille“                          Demmin        Öffentlich    357 2016/2017   75135203  Grundschule        Grundschule „Heinrich Zille“                          Demmin        Öffentlich    366 2015/2016   75135203  Grundschule        Grundschule „Heinrich Zille“                          Demmin        Öffentlich    365 2014/2015   75135203  Grundschule        Grundschule „Heinrich Zille“                          Demmin        Öffentlich    340 2013/2014   75135203  Grundschule        Grundschule „Heinrich Zille“                          Demmin        Öffentlich    323 2012/2013   75135203  Grundschule        Grundschule „Heinrich Zille“                          Demmin        Öffentlich    334 156
156

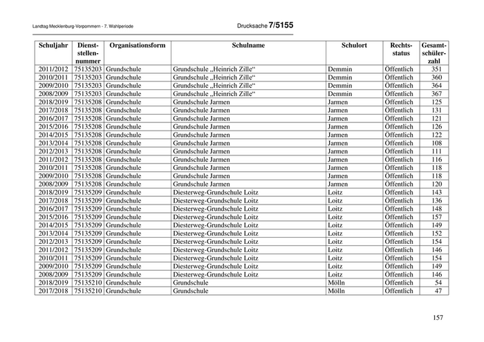
Landtag Mecklenburg-Vorpommern - 7. Wahlperiode                            Drucksache 7/5155 Schuljahr         Dienst-        Organisationsform                     Schulname               Schulort  Rechts-   Gesamt- stellen-                                                                                status   schüler- nummer                                                                                              zahl 2011/2012       75135203       Grundschule         Grundschule „Heinrich Zille“           Demmin        Öffentlich    351 2010/2011       75135203       Grundschule         Grundschule „Heinrich Zille“           Demmin        Öffentlich    360 2009/2010       75135203       Grundschule         Grundschule „Heinrich Zille“           Demmin        Öffentlich    364 2008/2009       75135203       Grundschule         Grundschule „Heinrich Zille“           Demmin        Öffentlich    367 2018/2019       75135208       Grundschule         Grundschule Jarmen                     Jarmen        Öffentlich    125 2017/2018       75135208       Grundschule         Grundschule Jarmen                     Jarmen        Öffentlich    131 2016/2017       75135208       Grundschule         Grundschule Jarmen                     Jarmen        Öffentlich    121 2015/2016       75135208       Grundschule         Grundschule Jarmen                     Jarmen        Öffentlich    126 2014/2015       75135208       Grundschule         Grundschule Jarmen                     Jarmen        Öffentlich    122 2013/2014       75135208       Grundschule         Grundschule Jarmen                     Jarmen        Öffentlich    108 2012/2013       75135208       Grundschule         Grundschule Jarmen                     Jarmen        Öffentlich    111 2011/2012       75135208       Grundschule         Grundschule Jarmen                     Jarmen        Öffentlich    116 2010/2011       75135208       Grundschule         Grundschule Jarmen                     Jarmen        Öffentlich    118 2009/2010       75135208       Grundschule         Grundschule Jarmen                     Jarmen        Öffentlich    118 2008/2009       75135208       Grundschule         Grundschule Jarmen                     Jarmen        Öffentlich    120 2018/2019       75135209       Grundschule         Diesterweg-Grundschule Loitz           Loitz         Öffentlich    143 2017/2018       75135209       Grundschule         Diesterweg-Grundschule Loitz           Loitz         Öffentlich    136 2016/2017       75135209       Grundschule         Diesterweg-Grundschule Loitz           Loitz         Öffentlich    148 2015/2016       75135209       Grundschule         Diesterweg-Grundschule Loitz           Loitz         Öffentlich    157 2014/2015       75135209       Grundschule         Diesterweg-Grundschule Loitz           Loitz         Öffentlich    149 2013/2014       75135209       Grundschule         Diesterweg-Grundschule Loitz           Loitz         Öffentlich    152 2012/2013       75135209       Grundschule         Diesterweg-Grundschule Loitz           Loitz         Öffentlich    154 2011/2012       75135209       Grundschule         Diesterweg-Grundschule Loitz           Loitz         Öffentlich    146 2010/2011       75135209       Grundschule         Diesterweg-Grundschule Loitz           Loitz         Öffentlich    154 2009/2010       75135209       Grundschule         Diesterweg-Grundschule Loitz           Loitz         Öffentlich    149 2008/2009       75135209       Grundschule         Diesterweg-Grundschule Loitz           Loitz         Öffentlich    146 2018/2019       75135210       Grundschule         Grundschule                            Mölln         Öffentlich      54 2017/2018       75135210       Grundschule         Grundschule                            Mölln         Öffentlich      47 157
157

Drucksache 7/5155                                Landtag Mecklenburg-Vorpommern - 7. Wahlperiode Schuljahr    Dienst-   Organisationsform                         Schulname                         Schulort  Rechts-   Gesamt- stellen-                                                                                         status   schüler- nummer                                                                                                       zahl 2016/2017   75135210  Grundschule        Grundschule                                           Mölln        Öffentlich     45 2015/2016   75135210  Grundschule        Grundschule                                           Mölln        Öffentlich     54 2014/2015   75135210  Grundschule        Grundschule                                           Mölln        Öffentlich     51 2013/2014   75135210  Grundschule        Grundschule                                           Mölln        Öffentlich     54 2012/2013   75135210  Grundschule        Grundschule                                           Mölln        Öffentlich     54 2011/2012   75135210  Grundschule        Grundschule                                           Mölln        Öffentlich     54 2010/2011   75135210  Grundschule        Grundschule                                           Mölln        Öffentlich     63 2009/2010   75135210  Grundschule        Grundschule                                           Mölln        Öffentlich     52 2008/2009   75135210  Grundschule        Grundschule                                           Mölln        Öffentlich     61 2018/2019   75135211  Grundschule        Grundschule „Pestalozzi“                              Malchin      Öffentlich    267 2017/2018   75135211  Grundschule        Grundschule „Pestalozzi“                              Malchin      Öffentlich    282 2016/2017   75135211  Grundschule        Grundschule „Pestalozzi“                              Malchin      Öffentlich    285 2015/2016   75135211  Grundschule        Grundschule „Pestalozzi“                              Malchin      Öffentlich    260 2014/2015   75135211  Grundschule        Grundschule „Pestalozzi“                              Malchin      Öffentlich    262 2013/2014   75135211  Grundschule        Grundschule „Pestalozzi“                              Malchin      Öffentlich    239 2012/2013   75135211  Grundschule        Grundschule „Pestalozzi“                              Malchin      Öffentlich    236 2011/2012   75135211  Grundschule        Grundschule „Pestalozzi“                              Malchin      Öffentlich    232 2010/2011   75135211  Grundschule        Grundschule „Pestalozzi“                              Malchin      Öffentlich    220 2009/2010   75135211  Grundschule        Grundschule „Pestalozzi“                              Malchin      Öffentlich    210 2008/2009   75135211  Grundschule        Grundschule „Pestalozzi“                              Malchin      Öffentlich    220 2018/2019   75135213  Grundschule        Grundschule Sarow                                     Sarow        Öffentlich     81 2017/2018   75135213  Grundschule        Grundschule Sarow                                     Sarow        Öffentlich     76 2016/2017   75135213  Grundschule        Grundschule Sarow                                     Sarow        Öffentlich     69 2015/2016   75135213  Grundschule        Grundschule Sarow                                     Sarow        Öffentlich     70 2014/2015   75135213  Grundschule        Grundschule Sarow                                     Sarow        Öffentlich     74 2013/2014   75135213  Grundschule        Grundschule Sarow                                     Sarow        Öffentlich     74 2012/2013   75135213  Grundschule        Grundschule Sarow                                     Sarow        Öffentlich     74 2011/2012   75135213  Grundschule        Grundschule Sarow                                     Sarow        Öffentlich     74 158
158

Landtag Mecklenburg-Vorpommern - 7. Wahlperiode                            Drucksache 7/5155 Schuljahr         Dienst-        Organisationsform                     Schulname               Schulort  Rechts-   Gesamt- stellen-                                                                                status   schüler- nummer                                                                                              zahl 2010/2011       75135213       Grundschule         Grundschule Sarow                      Sarow         Öffentlich      70 2009/2010       75135213       Grundschule         Grundschule Sarow                      Sarow         Öffentlich      65 2008/2009       75135213       Grundschule         Grundschule Sarow                      Sarow         Öffentlich      67 2018/2019       75135214       Grundschule         Fritz-Reuter-Grundschule               Stavenhagen   Öffentlich    216 2017/2018       75135214       Grundschule         Fritz-Reuter-Grundschule               Stavenhagen   Öffentlich    224 2016/2017       75135214       Grundschule         Fritz-Reuter-Grundschule               Stavenhagen   Öffentlich    224 2015/2016       75135214       Grundschule         Fritz-Reuter-Grundschule               Stavenhagen   Öffentlich    229 2014/2015       75135214       Grundschule         Fritz-Reuter-Grundschule               Stavenhagen   Öffentlich    212 2013/2014       75135214       Grundschule         Fritz-Reuter-Grundschule               Stavenhagen   Öffentlich    206 2012/2013       75135214       Grundschule         Fritz-Reuter-Grundschule               Stavenhagen   Öffentlich    211 2011/2012       75135214       Grundschule         Fritz-Reuter-Grundschule               Stavenhagen   Öffentlich    216 2010/2011       75135214       Grundschule         Fritz-Reuter-Grundschule               Stavenhagen   Öffentlich    213 2009/2010       75135214       Grundschule         Fritz-Reuter-Grundschule               Stavenhagen   Öffentlich    216 2008/2009       75135214       Grundschule         Fritz-Reuter-Grundschule               Stavenhagen   Öffentlich    205 2018/2019       75135223       Grundschule         Grundschule „Peenetal“ Görmin          Görmin        Öffentlich      48 2017/2018       75135223       Grundschule         Grundschule „Peenetal“ Görmin          Görmin        Öffentlich      52 2016/2017       75135223       Grundschule         Grundschule „Peenetal“ Görmin          Görmin        Öffentlich      45 2015/2016       75135223       Grundschule         Grundschule „Peenetal“ Görmin          Görmin        Öffentlich      50 2014/2015       75135223       Grundschule         Grundschule „Peenetal“ Görmin          Görmin        Öffentlich      53 2013/2014       75135223       Grundschule         Grundschule „Peenetal“ Görmin          Görmin        Öffentlich      56 2012/2013       75135223       Grundschule         Grundschule „Peenetal“ Görmin          Görmin        Öffentlich      54 2011/2012       75135223       Grundschule         Grundschule „Peenetal“ Görmin          Görmin        Öffentlich      42 2010/2011       75135223       Grundschule         Grundschule „Peenetal“ Görmin          Görmin        Öffentlich      39 2009/2010       75135223       Grundschule         Grundschule „Peenetal“ Görmin          Görmin        Öffentlich      36 2008/2009       75135223       Grundschule         Grundschule „Peenetal“ Görmin          Görmin        Öffentlich      47 2018/2019       75135226       Grundschule         Grundschule Schönfeld                  Schönfeld     Öffentlich      57 2017/2018       75135226       Grundschule         Grundschule Schönfeld                  Schönfeld     Öffentlich      65 2016/2017       75135226       Grundschule         Grundschule Schönfeld                  Schönfeld     Öffentlich      68 159
159

Drucksache 7/5155                                Landtag Mecklenburg-Vorpommern - 7. Wahlperiode Schuljahr    Dienst-   Organisationsform                         Schulname                          Schulort  Rechts-   Gesamt- stellen-                                                                                          status   schüler- nummer                                                                                                        zahl 2015/2016   75135226  Grundschule        Grundschule Schönfeld                                 Schönfeld     Öffentlich     62 2014/2015   75135226  Grundschule        Grundschule Schönfeld                                 Schönfeld     Öffentlich     63 2013/2014   75135226  Grundschule        Grundschule Schönfeld                                 Schönfeld     Öffentlich     61 2012/2013   75135226  Grundschule        Grundschule Schönfeld                                 Schönfeld     Öffentlich     56 2011/2012   75135226  Grundschule        Grundschule Schönfeld                                 Schönfeld     Öffentlich     62 2010/2011   75135226  Grundschule        Grundschule Schönfeld                                 Schönfeld     Öffentlich     64 2009/2010   75135226  Grundschule        Grundschule Schönfeld                                 Schönfeld     Öffentlich     66 2008/2009   75135226  Grundschule        Grundschule Schönfeld                                 Schönfeld     Öffentlich     68 2018/2019   75135233  Grundschule        Grundschule                                           Burow         Öffentlich     70 2017/2018   75135233  Grundschule        Grundschule                                           Burow         Öffentlich     70 2016/2017   75135233  Grundschule        Grundschule                                           Burow         Öffentlich     88 2015/2016   75135233  Grundschule        Grundschule                                           Burow         Öffentlich     84 2014/2015   75135233  Grundschule        Grundschule                                           Burow         Öffentlich     83 2013/2014   75135233  Grundschule        Grundschule                                           Burow         Öffentlich     75 2012/2013   75135233  Grundschule        Grundschule                                           Burow         Öffentlich     73 2011/2012   75135233  Grundschule        Grundschule                                           Burow         Öffentlich     82 2010/2011   75135233  Grundschule        Grundschule                                           Burow         Öffentlich     78 2009/2010   75135233  Grundschule        Grundschule                                           Burow         Öffentlich     90 2008/2009   75135233  Grundschule        Grundschule                                           Burow         Öffentlich     82 2018/2019   75135234  Grundschule        Grundschule                                           Gielow        Öffentlich     80 2017/2018   75135234  Grundschule        Grundschule                                           Gielow        Öffentlich     64 2016/2017   75135234  Grundschule        Grundschule                                           Gielow        Öffentlich     74 2015/2016   75135234  Grundschule        Grundschule                                           Gielow        Öffentlich     63 2014/2015   75135234  Grundschule        Grundschule                                           Gielow        Öffentlich     60 2013/2014   75135234  Grundschule        Grundschule                                           Gielow        Öffentlich     65 2012/2013   75135234  Grundschule        Grundschule                                           Gielow        Öffentlich     64 2011/2012   75135234  Grundschule        Grundschule                                           Gielow        Öffentlich     72 2010/2011   75135234  Grundschule        Grundschule                                           Gielow        Öffentlich     83 160
160

Zur nächsten Seite