25 Jahre Verfassung des Landes Mecklenburg-Vorpommern

/ 552
PDF herunterladen
Landtag Mecklenburg-Vorpommern - 7. Wahlperiode                            Drucksache 7/5155 Schuljahr         Dienst-        Organisationsform                     Schulname               Schulort  Rechts-   Gesamt- stellen-                                                                                status   schüler- nummer                                                                                              zahl 2015/2016       75136003       Grundschule         Grundschule „Fritz Reuter“             Crivitz       Öffentlich    263 2014/2015       75136003       Grundschule         Grundschule „Fritz Reuter“             Crivitz       Öffentlich    266 2013/2014       75136003       Grundschule         Grundschule „Fritz Reuter“             Crivitz       Öffentlich    277 2012/2013       75136003       Grundschule         Grundschule „Fritz Reuter“             Crivitz       Öffentlich    277 2011/2012       75136003       Grundschule         Grundschule „Fritz Reuter“             Crivitz       Öffentlich    279 2010/2011       75136003       Grundschule         Grundschule „Fritz Reuter“             Crivitz       Öffentlich    288 2009/2010       75136003       Grundschule         Grundschule „Fritz Reuter“             Crivitz       Öffentlich    269 2008/2009       75136003       Grundschule         Grundschule „Fritz Reuter“             Crivitz       Öffentlich    256 2018/2019       75136005       Grundschule         Grundschule                            Dabel         Öffentlich      55 2017/2018       75136005       Grundschule         Grundschule                            Dabel         Öffentlich      64 2016/2017       75136005       Grundschule         Grundschule                            Dabel         Öffentlich      70 2015/2016       75136005       Grundschule         Grundschule                            Dabel         Öffentlich      73 2014/2015       75136005       Grundschule         Grundschule                            Dabel         Öffentlich      83 2013/2014       75136005       Grundschule         Grundschule                            Dabel         Öffentlich      85 2012/2013       75136005       Grundschule         Grundschule                            Dabel         Öffentlich      77 2011/2012       75136005       Grundschule         Grundschule                            Dabel         Öffentlich      79 2010/2011       75136005       Grundschule         Grundschule                            Dabel         Öffentlich      74 2009/2010       75136005       Grundschule         Grundschule                            Dabel         Öffentlich      75 2008/2009       75136005       Grundschule         Grundschule                            Dabel         Öffentlich      78 2015/2016       75136007       Grundschule         Grundschule                            Domsühl       Öffentlich      81 2014/2015       75136007       Grundschule         Grundschule                            Domsühl       Öffentlich      74 2013/2014       75136007       Grundschule         Grundschule                            Domsühl       Öffentlich      72 2012/2013       75136007       Grundschule         Grundschule                            Domsühl       Öffentlich      79 2011/2012       75136007       Grundschule         Grundschule                            Domsühl       Öffentlich      86 2010/2011       75136007       Grundschule         Grundschule                            Domsühl       Öffentlich      86 2009/2010       75136007       Grundschule         Grundschule                            Domsühl       Öffentlich    100 2008/2009       75136007       Grundschule         Grundschule                            Domsühl       Öffentlich    110 2018/2019       75136008       Grundschule         Grundschule                            Groß Godems   Öffentlich      62 201
201

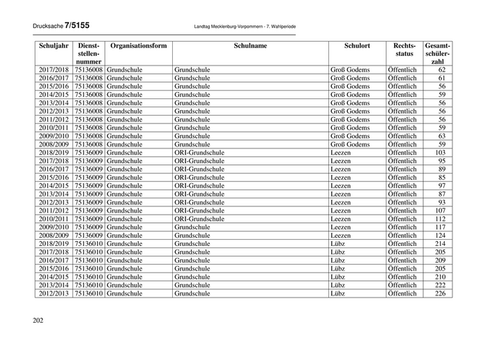
Drucksache 7/5155                                Landtag Mecklenburg-Vorpommern - 7. Wahlperiode Schuljahr    Dienst-   Organisationsform                         Schulname                         Schulort  Rechts-   Gesamt- stellen-                                                                                         status   schüler- nummer                                                                                                       zahl 2017/2018   75136008  Grundschule        Grundschule                                           Groß Godems  Öffentlich     62 2016/2017   75136008  Grundschule        Grundschule                                           Groß Godems  Öffentlich     61 2015/2016   75136008  Grundschule        Grundschule                                           Groß Godems  Öffentlich     56 2014/2015   75136008  Grundschule        Grundschule                                           Groß Godems  Öffentlich     59 2013/2014   75136008  Grundschule        Grundschule                                           Groß Godems  Öffentlich     56 2012/2013   75136008  Grundschule        Grundschule                                           Groß Godems  Öffentlich     56 2011/2012   75136008  Grundschule        Grundschule                                           Groß Godems  Öffentlich     56 2010/2011   75136008  Grundschule        Grundschule                                           Groß Godems  Öffentlich     59 2009/2010   75136008  Grundschule        Grundschule                                           Groß Godems  Öffentlich     63 2008/2009   75136008  Grundschule        Grundschule                                           Groß Godems  Öffentlich     59 2018/2019   75136009  Grundschule        ORI-Grundschule                                       Leezen       Öffentlich    103 2017/2018   75136009  Grundschule        ORI-Grundschule                                       Leezen       Öffentlich     95 2016/2017   75136009  Grundschule        ORI-Grundschule                                       Leezen       Öffentlich     89 2015/2016   75136009  Grundschule        ORI-Grundschule                                       Leezen       Öffentlich     85 2014/2015   75136009  Grundschule        ORI-Grundschule                                       Leezen       Öffentlich     97 2013/2014   75136009  Grundschule        ORI-Grundschule                                       Leezen       Öffentlich     87 2012/2013   75136009  Grundschule        ORI-Grundschule                                       Leezen       Öffentlich     93 2011/2012   75136009  Grundschule        ORI-Grundschule                                       Leezen       Öffentlich    107 2010/2011   75136009  Grundschule        ORI-Grundschule                                       Leezen       Öffentlich    112 2009/2010   75136009  Grundschule        Grundschule                                           Leezen       Öffentlich    117 2008/2009   75136009  Grundschule        Grundschule                                           Leezen       Öffentlich    124 2018/2019   75136010  Grundschule        Grundschule                                           Lübz         Öffentlich    214 2017/2018   75136010  Grundschule        Grundschule                                           Lübz         Öffentlich    205 2016/2017   75136010  Grundschule        Grundschule                                           Lübz         Öffentlich    209 2015/2016   75136010  Grundschule        Grundschule                                           Lübz         Öffentlich    205 2014/2015   75136010  Grundschule        Grundschule                                           Lübz         Öffentlich    210 2013/2014   75136010  Grundschule        Grundschule                                           Lübz         Öffentlich    222 2012/2013   75136010  Grundschule        Grundschule                                           Lübz         Öffentlich    226 202
202

Landtag Mecklenburg-Vorpommern - 7. Wahlperiode                            Drucksache 7/5155 Schuljahr         Dienst-        Organisationsform                    Schulname               Schulort  Rechts-   Gesamt- stellen-                                                                               status   schüler- nummer                                                                                             zahl 2011/2012       75136010       Grundschule         Grundschule                            Lübz         Öffentlich    246 2010/2011       75136010       Grundschule         Grundschule                            Lübz         Öffentlich    254 2009/2010       75136010       Grundschule         Grundschule                            Lübz         Öffentlich    255 2008/2009       75136010       Grundschule         Grundschule                            Lübz         Öffentlich    266 2018/2019       75136012       Grundschule         Grundschule                            Matzlow      Öffentlich      89 2017/2018       75136012       Grundschule         Grundschule                            Matzlow      Öffentlich      92 2016/2017       75136012       Grundschule         Grundschule                            Matzlow      Öffentlich      91 2015/2016       75136012       Grundschule         Grundschule                            Matzlow      Öffentlich      89 2014/2015       75136012       Grundschule         Grundschule                            Matzlow      Öffentlich      89 2013/2014       75136012       Grundschule         Grundschule                            Matzlow      Öffentlich      88 2012/2013       75136012       Grundschule         Grundschule                            Matzlow      Öffentlich      90 2011/2012       75136012       Grundschule         Grundschule                            Matzlow      Öffentlich      96 2010/2011       75136012       Grundschule         Grundschule                            Matzlow      Öffentlich      94 2009/2010       75136012       Grundschule         Grundschule                            Matzlow      Öffentlich      95 2008/2009       75136012       Grundschule         Grundschule                            Matzlow      Öffentlich    103 2018/2019       75136013       Grundschule         Grundschule                            Mestlin      Öffentlich      59 2017/2018       75136013       Grundschule         Grundschule                            Mestlin      Öffentlich      62 2016/2017       75136013       Grundschule         Grundschule                            Mestlin      Öffentlich      57 2015/2016       75136013       Grundschule         Grundschule                            Mestlin      Öffentlich      56 2014/2015       75136013       Grundschule         Grundschule                            Mestlin      Öffentlich      60 2013/2014       75136013       Grundschule         Grundschule                            Mestlin      Öffentlich      47 2012/2013       75136013       Grundschule         Grundschule                            Mestlin      Öffentlich      44 2011/2012       75136013       Grundschule         Grundschule                            Mestlin      Öffentlich      51 2010/2011       75136013       Grundschule         Grundschule                            Mestlin      Öffentlich      60 2009/2010       75136013       Grundschule         Grundschule                            Mestlin      Öffentlich      57 2008/2009       75136013       Grundschule         Grundschule                            Mestlin      Öffentlich      61 2018/2019       75136014       Grundschule         Grundschule „Adolf Diesterweg“         Parchim      Öffentlich    241 2017/2018       75136014       Grundschule         Grundschule „Adolf Diesterweg“         Parchim      Öffentlich    235 203
203

Drucksache 7/5155                                Landtag Mecklenburg-Vorpommern - 7. Wahlperiode Schuljahr    Dienst-   Organisationsform                         Schulname                         Schulort  Rechts-   Gesamt- stellen-                                                                                         status   schüler- nummer                                                                                                       zahl 2016/2017   75136014  Grundschule        Grundschule „Adolf Diesterweg“                        Parchim      Öffentlich    225 2015/2016   75136014  Grundschule        Grundschule „Adolf Diesterweg“                        Parchim      Öffentlich    205 2014/2015   75136014  Grundschule        Grundschule „Adolf Diesterweg“                        Parchim      Öffentlich    174 2013/2014   75136014  Grundschule        Grundschule „Adolf Diesterweg“                        Parchim      Öffentlich    157 2012/2013   75136014  Grundschule        Grundschule „Adolf Diesterweg“                        Parchim      Öffentlich    159 2011/2012   75136014  Grundschule        Grundschule „Adolf Diesterweg“                        Parchim      Öffentlich    164 2010/2011   75136014  Grundschule        Grundschule „Adolf Diesterweg“                        Parchim      Öffentlich    171 2009/2010   75136014  Grundschule        Grundschule „Adolf Diesterweg“                        Parchim      Öffentlich    174 2008/2009   75136014  Grundschule        Grundschule „Adolf Diesterweg“                        Parchim      Öffentlich    173 2018/2019   75136015  Grundschule        Grundschule „West“                                    Parchim      Öffentlich    230 2017/2018   75136015  Grundschule        Grundschule „West“                                    Parchim      Öffentlich    236 2016/2017   75136015  Grundschule        Grundschule „West“                                    Parchim      Öffentlich    256 2015/2016   75136015  Grundschule        Grundschule „West“                                    Parchim      Öffentlich    259 2014/2015   75136015  Grundschule        Grundschule „West“                                    Parchim      Öffentlich    261 2013/2014   75136015  Grundschule        Grundschule „West“                                    Parchim      Öffentlich    253 2012/2013   75136015  Grundschule        Grundschule „West“                                    Parchim      Öffentlich    245 2011/2012   75136015  Grundschule        Grundschule „West“                                    Parchim      Öffentlich    235 2010/2011   75136015  Grundschule        Grundschule „West“                                    Parchim      Öffentlich    238 2009/2010   75136015  Grundschule        Grundschule „West“                                    Parchim      Öffentlich    247 2008/2009   75136015  Grundschule        Grundschule „West“                                    Parchim      Öffentlich    226 2018/2019   75136016  Grundschule        Grundschule „Goethe“                                  Parchim      Öffentlich    173 2017/2018   75136016  Grundschule        Grundschule „Goethe“                                  Parchim      Öffentlich    172 2016/2017   75136016  Grundschule        Grundschule „Goethe“                                  Parchim      Öffentlich    173 2015/2016   75136016  Grundschule        Grundschule „Goethe“                                  Parchim      Öffentlich    177 2014/2015   75136016  Grundschule        Grundschule „Goethe“                                  Parchim      Öffentlich    177 2013/2014   75136016  Grundschule        Grundschule „Goethe“                                  Parchim      Öffentlich    157 2012/2013   75136016  Grundschule        Grundschule „Goethe“                                  Parchim      Öffentlich    150 2011/2012   75136016  Grundschule        Grundschule „Goethe“                                  Parchim      Öffentlich    165 204
204

Landtag Mecklenburg-Vorpommern - 7. Wahlperiode                            Drucksache 7/5155 Schuljahr         Dienst-        Organisationsform                    Schulname                Schulort  Rechts-   Gesamt- stellen-                                                                                status   schüler- nummer                                                                                              zahl 2010/2011       75136016       Grundschule         Grundschule „Goethe“                   Parchim       Öffentlich    150 2009/2010       75136016       Grundschule         Grundschule „Goethe“                   Parchim       Öffentlich    142 2008/2009       75136016       Grundschule         Grundschule „Goethe“                   Parchim       Öffentlich    144 2018/2019       75136018       Grundschule         Grundschule „Kantor Carl Ehrich“       Plau am See   Öffentlich    252 2017/2018       75136018       Grundschule         Grundschule „Kantor Carl Ehrich“       Plau am See   Öffentlich    224 2016/2017       75136018       Grundschule         Grundschule „Kantor Carl Ehrich“       Plau am See   Öffentlich    221 2015/2016       75136018       Grundschule         Grundschule „Kantor Carl Ehrich“       Plau am See   Öffentlich    202 2014/2015       75136018       Grundschule         Grundschule „Kantor Carl Ehrich“       Plau am See   Öffentlich    203 2013/2014       75136018       Grundschule         Grundschule „Kantor Carl Ehrich“       Plau am See   Öffentlich    195 2012/2013       75136018       Grundschule         Grundschule „Kantor Carl Ehrich“       Plau am See   Öffentlich    196 2011/2012       75136018       Grundschule         Grundschule „Kantor Carl Ehrich“       Plau am See   Öffentlich    210 2010/2011       75136018       Grundschule         Grundschule „Kantor Carl Ehrich“       Plau am See   Öffentlich    214 2009/2010       75136018       Grundschule         Grundschule „Kantor Carl Ehrich“       Plau am See   Öffentlich    193 2008/2009       75136018       Grundschule         Grundschule „Kantor Carl Ehrich“       Plau am See   Öffentlich    187 2018/2019       75136021       Grundschule         Grundschule „Alexander Behm“           Sternberg     Öffentlich    183 2017/2018       75136021       Grundschule         Grundschule „Alexander Behm“           Sternberg     Öffentlich    183 2016/2017       75136021       Grundschule         Grundschule „Alexander Behm“           Sternberg     Öffentlich    192 2015/2016       75136021       Grundschule         Grundschule „Alexander Behm“           Sternberg     Öffentlich    195 2014/2015       75136021       Grundschule         Grundschule „Alexander Behm“           Sternberg     Öffentlich    195 2013/2014       75136021       Grundschule         Grundschule „Alexander Behm“           Sternberg     Öffentlich    201 2012/2013       75136021       Grundschule         Grundschule „Alexander Behm“           Sternberg     Öffentlich    204 2011/2012       75136021       Grundschule         Grundschule „Alexander Behm“           Sternberg     Öffentlich    200 2010/2011       75136021       Grundschule         Grundschule „Alexander Behm“           Sternberg     Öffentlich    206 2009/2010       75136021       Grundschule         Grundschule „Alexander Behm“           Sternberg     Öffentlich    205 2008/2009       75136021       Grundschule         Grundschule „Alexander Behm“           Sternberg     Öffentlich    208 2009/2010       75136022       Grundschule         Grundschule                            Marnitz       Öffentlich      83 2008/2009       75136022       Grundschule         Grundschule                            Marnitz       Öffentlich      90 2018/2019       75136023       Grundschule         Grundschule                            Sukow         Öffentlich    138 205
205

Drucksache 7/5155                                Landtag Mecklenburg-Vorpommern - 7. Wahlperiode Schuljahr    Dienst-   Organisationsform                         Schulname                           Schulort  Rechts-   Gesamt- stellen-                                                                                           status   schüler- nummer                                                                                                         zahl 2017/2018   75136023  Grundschule        Grundschule                                           Sukow          Öffentlich    131 2016/2017   75136023  Grundschule        Grundschule                                           Sukow          Öffentlich    121 2015/2016   75136023  Grundschule        Grundschule                                           Sukow          Öffentlich    122 2014/2015   75136023  Grundschule        Grundschule                                           Sukow          Öffentlich    122 2013/2014   75136023  Grundschule        Grundschule                                           Sukow          Öffentlich    113 2012/2013   75136023  Grundschule        Grundschule                                           Sukow          Öffentlich    116 2011/2012   75136023  Grundschule        Grundschule                                           Sukow          Öffentlich    102 2010/2011   75136023  Grundschule        Grundschule                                           Sukow          Öffentlich     97 2009/2010   75136023  Grundschule        Grundschule                                           Sukow          Öffentlich     90 2008/2009   75136023  Grundschule        Grundschule                                           Sukow          Öffentlich     91 2009/2010   75136028  Grundschule        Grundschule                                           Ganzlin        Öffentlich     37 2008/2009   75136028  Grundschule        Grundschule                                           Ganzlin        Öffentlich     44 2018/2019   75136033  Grundschule        Grundschule                                           Passow         Öffentlich     60 2017/2018   75136033  Grundschule        Grundschule                                           Passow         Öffentlich     64 2016/2017   75136033  Grundschule        Grundschule                                           Passow         Öffentlich     65 2015/2016   75136033  Grundschule        Grundschule                                           Passow         Öffentlich     73 2014/2015   75136033  Grundschule        Grundschule                                           Passow         Öffentlich     71 2013/2014   75136033  Grundschule        Grundschule                                           Passow         Öffentlich     68 2012/2013   75136033  Grundschule        Grundschule                                           Passow         Öffentlich     75 2011/2012   75136033  Grundschule        Grundschule                                           Passow         Öffentlich     76 2010/2011   75136033  Grundschule        Grundschule                                           Passow         Öffentlich     71 2009/2010   75136033  Grundschule        Grundschule                                           Passow         Öffentlich     76 2008/2009   75136033  Grundschule        Grundschule                                           Passow         Öffentlich     78 2018/2019   75136034  Grundschule        Grundschule                                           Plate          Öffentlich    215 2017/2018   75136034  Grundschule        Grundschule                                           Plate          Öffentlich    203 2016/2017   75136034  Grundschule        Grundschule                                           Plate          Öffentlich    178 2015/2016   75136034  Grundschule        Grundschule                                           Plate          Öffentlich    173 2014/2015   75136034  Grundschule        Grundschule                                           Plate          Öffentlich    168 206
206

Landtag Mecklenburg-Vorpommern - 7. Wahlperiode                             Drucksache 7/5155 Schuljahr         Dienst-        Organisationsform                     Schulname                 Schulort    Rechts-   Gesamt- stellen-                                                                                    status   schüler- nummer                                                                                                  zahl 2013/2014       75136034       Grundschule         Grundschule                             Plate            Öffentlich    164 2012/2013       75136034       Grundschule         Grundschule                             Plate            Öffentlich    163 2011/2012       75136034       Grundschule         Grundschule                             Plate            Öffentlich    152 2010/2011       75136034       Grundschule         Grundschule                             Plate            Öffentlich    162 2009/2010       75136034       Grundschule         Grundschule                             Plate            Öffentlich    178 2008/2009       75136034       Grundschule         Grundschule                             Plate            Öffentlich    191 2018/2019       75136054       Grundschule         Grundschule „John Brinckman“            Goldberg         Öffentlich      75 2017/2018       75136054       Grundschule         Grundschule „John Brinckman“            Goldberg         Öffentlich      82 2016/2017       75136054       Grundschule         Grundschule „John Brinckman“            Goldberg         Öffentlich      79 2015/2016       75136054       Grundschule         Grundschule „John Brinckman“            Goldberg         Öffentlich      76 2014/2015       75136054       Grundschule         Grundschule „John Brinckman“            Goldberg         Öffentlich      75 2013/2014       75136054       Grundschule         Grundschule „John Brinckman“            Goldberg         Öffentlich      85 2012/2013       75136054       Grundschule         Grundschule „John Brinckman“            Goldberg         Öffentlich      96 2011/2012       75136054       Grundschule         Grundschule „John Brinckman“            Goldberg         Öffentlich    100 2010/2011       75136054       Grundschule         Grundschule „John Brinckman“            Goldberg         Öffentlich      96 2009/2010       75136054       Grundschule         Grundschule „John Brinckman“            Goldberg         Öffentlich      84 2008/2009       75136054       Grundschule         Grundschule „John Brinckman“            Goldberg         Öffentlich      90 2018/2019       75136104       Grundschule         Grundschule „Altstadt“ Bergen           Bergen auf Rügen Öffentlich    264 2017/2018       75136104       Grundschule         Grundschule „Altstadt“ Bergen           Bergen auf Rügen Öffentlich    258 2016/2017       75136104       Grundschule         Grundschule „Altstadt“ Bergen           Bergen auf Rügen Öffentlich    252 2015/2016       75136104       Grundschule         Grundschule „Altstadt“ Bergen           Bergen auf Rügen Öffentlich    251 2014/2015       75136104       Grundschule         Grundschule „Altstadt“ Bergen           Bergen auf Rügen Öffentlich    258 2013/2014       75136104       Grundschule         Grundschule „Altstadt“ Bergen           Bergen auf Rügen Öffentlich    240 2012/2013       75136104       Grundschule         Grundschule „Altstadt“ Bergen           Bergen auf Rügen Öffentlich    243 2011/2012       75136104       Grundschule         Grundschule „Altstadt“ Bergen           Bergen auf Rügen Öffentlich    246 2010/2011       75136104       Grundschule         Grundschule „Altstadt“ Bergen           Bergen auf Rügen Öffentlich    251 2009/2010       75136104       Grundschule         Grundschule „Altstadt“ Bergen           Bergen auf Rügen Öffentlich    278 2008/2009       75136104       Grundschule         Grundschule „Altstadt“ Bergen           Bergen auf Rügen Öffentlich    273 207
207

Drucksache 7/5155                                Landtag Mecklenburg-Vorpommern - 7. Wahlperiode Schuljahr    Dienst-   Organisationsform                         Schulname                          Schulort     Rechts-   Gesamt- stellen-                                                                                             status   schüler- nummer                                                                                                           zahl 2018/2019   75136105  Grundschule        Grundschule „Am Rugard“ Bergen                        Bergen auf Rügen Öffentlich    266 2017/2018   75136105  Grundschule        Grundschule „Am Rugard“ Bergen                        Bergen auf Rügen Öffentlich    287 2016/2017   75136105  Grundschule        Grundschule „Am Rugard“ Bergen                        Bergen auf Rügen Öffentlich    290 2015/2016   75136105  Grundschule        Grundschule „Am Rugard“ Bergen                        Bergen auf Rügen Öffentlich    288 2014/2015   75136105  Grundschule        Grundschule „Am Rugard“ Bergen                        Bergen auf Rügen Öffentlich    259 2013/2014   75136105  Grundschule        Grundschule „Am Rugard“ Bergen                        Bergen auf Rügen Öffentlich    237 2012/2013   75136105  Grundschule        Grundschule „Am Rugard“ Bergen                        Bergen auf Rügen Öffentlich    207 2011/2012   75136105  Grundschule        Grundschule „Am Rugard“ Bergen                        Bergen auf Rügen Öffentlich    184 2010/2011   75136105  Grundschule        Grundschule „Am Rugard“ Bergen                        Bergen auf Rügen Öffentlich    185 2009/2010   75136105  Grundschule        Grundschule „Am Rugard“ Bergen                        Bergen auf Rügen Öffentlich    180 2008/2009   75136105  Grundschule        Grundschule „Am Rugard“ Bergen                        Bergen auf Rügen Öffentlich    191 2018/2019   75136106  Grundschule        Grundschule Binz                                      Binz             Öffentlich    161 2017/2018   75136106  Grundschule        Grundschule Binz                                      Binz             Öffentlich    168 2016/2017   75136106  Grundschule        Grundschule Binz                                      Binz             Öffentlich    173 2015/2016   75136106  Grundschule        Grundschule Binz                                      Binz             Öffentlich    164 2014/2015   75136106  Grundschule        Grundschule Binz                                      Binz             Öffentlich    188 2013/2014   75136106  Grundschule        Grundschule Binz                                      Binz             Öffentlich    171 2012/2013   75136106  Grundschule        Grundschule Binz                                      Binz             Öffentlich    152 2011/2012   75136106  Grundschule        Grundschule Binz                                      Binz             Öffentlich    158 2010/2011   75136106  Grundschule        Grundschule Binz                                      Binz             Öffentlich    139 2009/2010   75136106  Grundschule        Grundschule Binz                                      Binz             Öffentlich    155 2008/2009   75136106  Grundschule        Grundschule Binz                                      Binz             Öffentlich    146 2015/2016   75136111  Grundschule        Grundschule Garz                                      Garz/Rügen       Öffentlich    117 2014/2015   75136111  Grundschule        Grundschule Garz                                      Garz/Rügen       Öffentlich    107 2013/2014   75136111  Grundschule        Grundschule Garz                                      Garz/Rügen       Öffentlich    120 2012/2013   75136111  Grundschule        Grundschule Garz                                      Garz/Rügen       Öffentlich    114 2011/2012   75136111  Grundschule        Grundschule Garz                                      Garz/Rügen       Öffentlich    129 2010/2011   75136111  Grundschule        Grundschule Garz                                      Garz/Rügen       Öffentlich    122 208
208

Landtag Mecklenburg-Vorpommern - 7. Wahlperiode                           Drucksache 7/5155 Schuljahr         Dienst-        Organisationsform                    Schulname              Schulort  Rechts-   Gesamt- stellen-                                                                              status   schüler- nummer                                                                                            zahl 2009/2010       75136111       Grundschule         Grundschule Garz                      Garz/Rügen   Öffentlich    122 2008/2009       75136111       Grundschule         Grundschule Garz                      Garz/Rügen   Öffentlich    132 2009/2010       75136112       Grundschule         Grundschule Gingst                    Gingst       Öffentlich    101 2008/2009       75136112       Grundschule         Grundschule Gingst                    Gingst       Öffentlich    100 2018/2019       75136116       Grundschule         Grundschule Putbus                    Putbus       Öffentlich    122 2017/2018       75136116       Grundschule         Grundschule Putbus                    Putbus       Öffentlich    115 2016/2017       75136116       Grundschule         Grundschule Putbus                    Putbus       Öffentlich    113 2015/2016       75136116       Grundschule         Grundschule Putbus                    Putbus       Öffentlich    117 2014/2015       75136116       Grundschule         Grundschule Putbus                    Putbus       Öffentlich    109 2013/2014       75136116       Grundschule         Grundschule Putbus                    Putbus       Öffentlich    102 2012/2013       75136116       Grundschule         Grundschule Putbus                    Putbus       Öffentlich    103 2011/2012       75136116       Grundschule         Grundschule Putbus                    Putbus       Öffentlich      92 2010/2011       75136116       Grundschule         Grundschule Putbus                    Putbus       Öffentlich    102 2009/2010       75136116       Grundschule         Grundschule Putbus                    Putbus       Öffentlich      91 2008/2009       75136116       Grundschule         Grundschule Putbus                    Putbus       Öffentlich      91 2018/2019       75136117       Grundschule         Grundschule Sagard                    Sagard       Öffentlich    100 2017/2018       75136117       Grundschule         Grundschule Sagard                    Sagard       Öffentlich      87 2016/2017       75136117       Grundschule         Grundschule Sagard                    Sagard       Öffentlich      79 2015/2016       75136117       Grundschule         Grundschule Sagard                    Sagard       Öffentlich      72 2014/2015       75136117       Grundschule         Grundschule Sagard                    Sagard       Öffentlich      68 2013/2014       75136117       Grundschule         Grundschule Sagard                    Sagard       Öffentlich      66 2012/2013       75136117       Grundschule         Grundschule Sagard                    Sagard       Öffentlich      76 2011/2012       75136117       Grundschule         Grundschule Sagard                    Sagard       Öffentlich      81 2010/2011       75136117       Grundschule         Grundschule Sagard                    Sagard       Öffentlich      84 2009/2010       75136117       Grundschule         Grundschule Sagard                    Sagard       Öffentlich      94 2008/2009       75136117       Grundschule         Grundschule Sagard                    Sagard       Öffentlich      95 2018/2019       75136118       Grundschule         Grundschule Samtens                   Samtens      Öffentlich    141 2017/2018       75136118       Grundschule         Grundschule Samtens                   Samtens      Öffentlich    141 209
209

Drucksache 7/5155                                Landtag Mecklenburg-Vorpommern - 7. Wahlperiode Schuljahr    Dienst-   Organisationsform                         Schulname                          Schulort  Rechts-   Gesamt- stellen-                                                                                          status   schüler- nummer                                                                                                        zahl 2016/2017   75136118  Grundschule        Grundschule Samtens                                   Samtens       Öffentlich    149 2015/2016   75136118  Grundschule        Grundschule Samtens                                   Samtens       Öffentlich    139 2014/2015   75136118  Grundschule        Grundschule Samtens                                   Samtens       Öffentlich    140 2013/2014   75136118  Grundschule        Grundschule Samtens                                   Samtens       Öffentlich    137 2012/2013   75136118  Grundschule        Grundschule Samtens                                   Samtens       Öffentlich    155 2011/2012   75136118  Grundschule        Grundschule Samtens                                   Samtens       Öffentlich    161 2010/2011   75136118  Grundschule        Grundschule Samtens                                   Samtens       Öffentlich    155 2009/2010   75136118  Grundschule        Grundschule Samtens                                   Samtens       Öffentlich    187 2008/2009   75136118  Grundschule        Grundschule Samtens                                   Samtens       Öffentlich    139 2018/2019   75136120  Grundschule        Grundschule „Ostseeblick“ Sassnitz                    Sassnitz      Öffentlich    277 2017/2018   75136120  Grundschule        Grundschule „Ostseeblick“ Sassnitz                    Sassnitz      Öffentlich    258 2016/2017   75136120  Grundschule        Grundschule „Ostseeblick“ Sassnitz                    Sassnitz      Öffentlich    266 2015/2016   75136120  Grundschule        Grundschule „Ostseeblick“ Sassnitz                    Sassnitz      Öffentlich    246 2014/2015   75136120  Grundschule        Grundschule „Ostseeblick“ Sassnitz                    Sassnitz      Öffentlich    245 2013/2014   75136120  Grundschule        Grundschule „Ostseeblick“ Sassnitz                    Sassnitz      Öffentlich    263 2012/2013   75136120  Grundschule        Grundschule „Ostseeblick“ Sassnitz                    Sassnitz      Öffentlich    244 2011/2012   75136120  Grundschule        Grundschule „Ostseeblick“ Sassnitz                    Sassnitz      Öffentlich    236 2010/2011   75136120  Grundschule        Grundschule „Ostseeblick“ Sassnitz                    Sassnitz      Öffentlich    252 2009/2010   75136120  Grundschule        Grundschule „Ostseeblick“ Sassnitz                    Sassnitz      Öffentlich    272 2008/2009   75136120  Grundschule        Grundschule „Ostseeblick“ Sassnitz                    Sassnitz      Öffentlich    283 2018/2019   75136123  Grundschule        Grundschule Sellin                                    Sellin        Öffentlich    146 2017/2018   75136123  Grundschule        Grundschule Sellin                                    Sellin        Öffentlich    134 2016/2017   75136123  Grundschule        Grundschule Sellin                                    Sellin        Öffentlich    115 2015/2016   75136123  Grundschule        Grundschule Sellin                                    Sellin        Öffentlich    116 2014/2015   75136123  Grundschule        Grundschule Sellin                                    Sellin        Öffentlich    117 2013/2014   75136123  Grundschule        Grundschule Sellin                                    Sellin        Öffentlich    120 2012/2013   75136123  Grundschule        Grundschule Sellin                                    Sellin        Öffentlich    118 2011/2012   75136123  Grundschule        Grundschule Sellin                                    Sellin        Öffentlich    115 210
210

Zur nächsten Seite