25 Jahre Verfassung des Landes Mecklenburg-Vorpommern

/ 552
PDF herunterladen
Landtag Mecklenburg-Vorpommern - 7. Wahlperiode                            Drucksache 7/5155 Schuljahr         Dienst-        Organisationsform                     Schulname              Schulort  Rechts-   Gesamt- stellen-                                                                               status   schüler- nummer                                                                                             zahl 2015/2016       75535244       Gymnasium           Goethe-Gymnasium Musikgymnasium        Demmin       Öffentlich    470 2014/2015       75535244       Gymnasium           Goethe-Gymnasium Musikgymnasium        Demmin       Öffentlich    487 2013/2014       75535244       Gymnasium           Goethe-Gymnasium Musikgymnasium        Demmin       Öffentlich    508 2012/2013       75535244       Gymnasium           Goethe-Gymnasium Musikgymnasium        Demmin       Öffentlich    503 2011/2012       75535244       Gymnasium           Goethe-Gymnasium Musikgymnasium        Demmin       Öffentlich    517 2010/2011       75535244       Gymnasium           Goethe-Gymnasium Musikgymnasium        Demmin       Öffentlich    515 2009/2010       75535244       Gymnasium           Goethe-Gymnasium Musikgymnasium        Demmin       Öffentlich    504 2008/2009       75535244       Gymnasium           Goethe-Gymnasium Musikgymnasium        Demmin       Öffentlich    532 2018/2019       75535246       Gymnasium           Fritz-Greve-Gymnasium                  Malchin      Öffentlich    328 2017/2018       75535246       Gymnasium           Fritz-Greve-Gymnasium                  Malchin      Öffentlich    337 2016/2017       75535246       Gymnasium           Fritz-Greve-Gymnasium                  Malchin      Öffentlich    357 2015/2016       75535246       Gymnasium           Fritz-Greve-Gymnasium                  Malchin      Öffentlich    337 2014/2015       75535246       Gymnasium           Fritz-Greve-Gymnasium                  Malchin      Öffentlich    309 2013/2014       75535246       Gymnasium           Fritz-Greve-Gymnasium                  Malchin      Öffentlich    290 2012/2013       75535246       Gymnasium           Fritz-Greve-Gymnasium                  Malchin      Öffentlich    263 2011/2012       75535246       Gymnasium           Fritz-Greve-Gymnasium                  Malchin      Öffentlich    272 2010/2011       75535246       Gymnasium           Fritz-Greve-Gymnasium                  Malchin      Öffentlich    259 2009/2010       75535246       Gymnasium           Fritz-Greve-Gymnasium                  Malchin      Öffentlich    238 2008/2009       75535246       Gymnasium           Fritz-Greve-Gymnasium                  Malchin      Öffentlich    262 2018/2019       75535349       Gymnasium           Geschwister-Scholl-Gymnasium           Bützow       Öffentlich    323 2017/2018       75535349       Gymnasium           Geschwister-Scholl-Gymnasium           Bützow       Öffentlich    328 2016/2017       75535349       Gymnasium           Geschwister-Scholl-Gymnasium           Bützow       Öffentlich    312 2015/2016       75535349       Gymnasium           Geschwister-Scholl-Gymnasium           Bützow       Öffentlich    299 2014/2015       75535349       Gymnasium           Geschwister-Scholl-Gymnasium           Bützow       Öffentlich    297 2013/2014       75535349       Gymnasium           Geschwister-Scholl-Gymnasium           Bützow       Öffentlich    298 2012/2013       75535349       Gymnasium           Geschwister-Scholl-Gymnasium           Bützow       Öffentlich    276 2011/2012       75535349       Gymnasium           Geschwister-Scholl-Gymnasium           Bützow       Öffentlich    266 2010/2011       75535349       Gymnasium           Geschwister-Scholl-Gymnasium           Bützow       Öffentlich    268 441
441

Drucksache 7/5155                                 Landtag Mecklenburg-Vorpommern - 7. Wahlperiode Schuljahr    Dienst-   Organisationsform                          Schulname                          Schulort    Rechts-   Gesamt- stellen-                                                                                             status   schüler- nummer                                                                                                           zahl 2009/2010   75535349  Gymnasium          Geschwister-Scholl-Gymnasium                           Bützow          Öffentlich    265 2008/2009   75535349  Gymnasium          Geschwister-Scholl-Gymnasium                           Bützow          Öffentlich    272 2009/2010   75535350  Gymnasium          „Ernst-Barlach-Gymnasium“                              Güstrow         Öffentlich    165 2008/2009   75535350  Gymnasium          „Ernst-Barlach-Gymnasium“                              Güstrow         Öffentlich    272 2018/2019   75535351  Gymnasium          Gymnasium „John Brinckman“                             Güstrow         Öffentlich    706 2017/2018   75535351  Gymnasium          Gymnasium „John Brinckman“                             Güstrow         Öffentlich    741 2016/2017   75535351  Gymnasium          Gymnasium „John Brinckman“                             Güstrow         Öffentlich    750 2015/2016   75535351  Gymnasium          Gymnasium „John Brinckman“                             Güstrow         Öffentlich    734 2014/2015   75535351  Gymnasium          Gymnasium „John Brinckman“                             Güstrow         Öffentlich    713 2013/2014   75535351  Gymnasium          Gymnasium „John Brinckman“                             Güstrow         Öffentlich    692 2012/2013   75535351  Gymnasium          Gymnasium „John Brinckman“                             Güstrow         Öffentlich    679 2011/2012   75535351  Gymnasium          Gymnasium „John Brinckman“                             Güstrow         Öffentlich    624 2010/2011   75535351  Gymnasium          Gymnasium „John Brinckman“                             Güstrow         Öffentlich    629 2009/2010   75535351  Gymnasium          Gymnasium „John Brinckman“                             Güstrow         Öffentlich    454 2008/2009   75535351  Gymnasium          Gymnasium „John Brinckman“                             Güstrow         Öffentlich    392 2018/2019   75535354  Gymnasium          Europaschule Gymnasium Teterow                         Teterow         Öffentlich    403 2017/2018   75535354  Gymnasium          Europaschule Gymnasium Teterow                         Teterow         Öffentlich    438 2016/2017   75535354  Gymnasium          Europaschule Gymnasium Teterow                         Teterow         Öffentlich    450 2015/2016   75535354  Gymnasium          Europaschule Gymnasium Teterow                         Teterow         Öffentlich    474 2014/2015   75535354  Gymnasium          Europaschule Gymnasium Teterow                         Teterow         Öffentlich    464 2013/2014   75535354  Gymnasium          Europaschule Gymnasium Teterow                         Teterow         Öffentlich    471 2012/2013   75535354  Gymnasium          Gymnasium Teterow                                      Teterow         Öffentlich    457 2011/2012   75535354  Gymnasium          Gymnasium Teterow                                      Teterow         Öffentlich    414 2010/2011   75535354  Gymnasium          Gymnasium Teterow                                      Teterow         Öffentlich    400 2009/2010   75535354  Gymnasium          Gymnasium Teterow                                      Teterow         Öffentlich    379 2008/2009   75535354  Gymnasium          Gymnasium Teterow                                      Teterow         Öffentlich    389 2018/2019   75535455  Gymnasium          Gymnasium „Elbe-Gymnasium“                             Boizenburg/Elbe Öffentlich    439 2017/2018   75535455  Gymnasium          Gymnasium „Elbe-Gymnasium“                             Boizenburg/Elbe Öffentlich    437 442
442

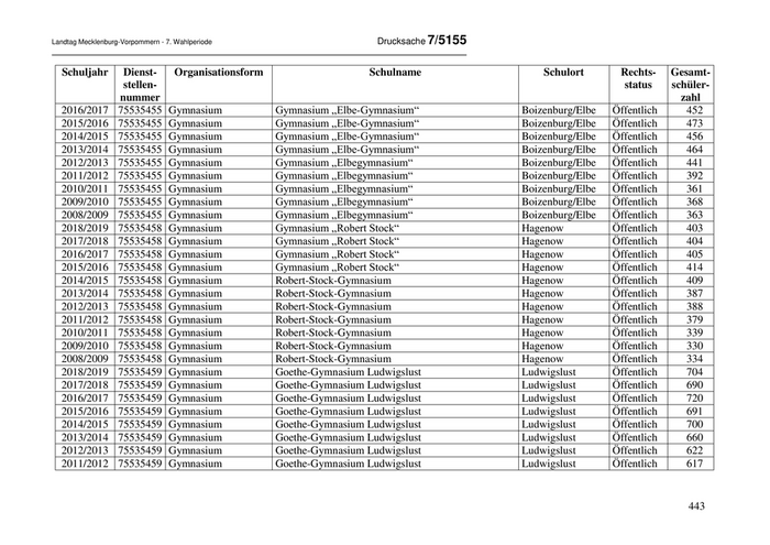
Landtag Mecklenburg-Vorpommern - 7. Wahlperiode                           Drucksache 7/5155 Schuljahr         Dienst-        Organisationsform                   Schulname               Schulort     Rechts-   Gesamt- stellen-                                                                                 status   schüler- nummer                                                                                               zahl 2016/2017       75535455       Gymnasium           Gymnasium „Elbe-Gymnasium“            Boizenburg/Elbe Öffentlich    452 2015/2016       75535455       Gymnasium           Gymnasium „Elbe-Gymnasium“            Boizenburg/Elbe Öffentlich    473 2014/2015       75535455       Gymnasium           Gymnasium „Elbe-Gymnasium“            Boizenburg/Elbe Öffentlich    456 2013/2014       75535455       Gymnasium           Gymnasium „Elbe-Gymnasium“            Boizenburg/Elbe Öffentlich    464 2012/2013       75535455       Gymnasium           Gymnasium „Elbegymnasium“             Boizenburg/Elbe Öffentlich    441 2011/2012       75535455       Gymnasium           Gymnasium „Elbegymnasium“             Boizenburg/Elbe Öffentlich    392 2010/2011       75535455       Gymnasium           Gymnasium „Elbegymnasium“             Boizenburg/Elbe Öffentlich    361 2009/2010       75535455       Gymnasium           Gymnasium „Elbegymnasium“             Boizenburg/Elbe Öffentlich    368 2008/2009       75535455       Gymnasium           Gymnasium „Elbegymnasium“             Boizenburg/Elbe Öffentlich    363 2018/2019       75535458       Gymnasium           Gymnasium „Robert Stock“              Hagenow         Öffentlich    403 2017/2018       75535458       Gymnasium           Gymnasium „Robert Stock“              Hagenow         Öffentlich    404 2016/2017       75535458       Gymnasium           Gymnasium „Robert Stock“              Hagenow         Öffentlich    405 2015/2016       75535458       Gymnasium           Gymnasium „Robert Stock“              Hagenow         Öffentlich    414 2014/2015       75535458       Gymnasium           Robert-Stock-Gymnasium                Hagenow         Öffentlich    409 2013/2014       75535458       Gymnasium           Robert-Stock-Gymnasium                Hagenow         Öffentlich    387 2012/2013       75535458       Gymnasium           Robert-Stock-Gymnasium                Hagenow         Öffentlich    388 2011/2012       75535458       Gymnasium           Robert-Stock-Gymnasium                Hagenow         Öffentlich    379 2010/2011       75535458       Gymnasium           Robert-Stock-Gymnasium                Hagenow         Öffentlich    339 2009/2010       75535458       Gymnasium           Robert-Stock-Gymnasium                Hagenow         Öffentlich    330 2008/2009       75535458       Gymnasium           Robert-Stock-Gymnasium                Hagenow         Öffentlich    334 2018/2019       75535459       Gymnasium           Goethe-Gymnasium Ludwigslust          Ludwigslust     Öffentlich    704 2017/2018       75535459       Gymnasium           Goethe-Gymnasium Ludwigslust          Ludwigslust     Öffentlich    690 2016/2017       75535459       Gymnasium           Goethe-Gymnasium Ludwigslust          Ludwigslust     Öffentlich    720 2015/2016       75535459       Gymnasium           Goethe-Gymnasium Ludwigslust          Ludwigslust     Öffentlich    691 2014/2015       75535459       Gymnasium           Goethe-Gymnasium Ludwigslust          Ludwigslust     Öffentlich    700 2013/2014       75535459       Gymnasium           Goethe-Gymnasium Ludwigslust          Ludwigslust     Öffentlich    660 2012/2013       75535459       Gymnasium           Goethe-Gymnasium Ludwigslust          Ludwigslust     Öffentlich    622 2011/2012       75535459       Gymnasium           Goethe-Gymnasium Ludwigslust          Ludwigslust     Öffentlich    617 443
443

Drucksache 7/5155                                 Landtag Mecklenburg-Vorpommern - 7. Wahlperiode Schuljahr    Dienst-   Organisationsform                          Schulname                          Schulort   Rechts-   Gesamt- stellen-                                                                                            status   schüler- nummer                                                                                                          zahl 2010/2011   75535459  Gymnasium          Goethe-Gymnasium Ludwigslust                           Ludwigslust    Öffentlich    561 2009/2010   75535459  Gymnasium          Goethe-Gymnasium Ludwigslust                           Ludwigslust    Öffentlich    533 2008/2009   75535459  Gymnasium          Goethe-Gymnasium Ludwigslust                           Ludwigslust    Öffentlich    545 2008/2009   75535461  Gymnasium          Gymnasium                                              Pampow         Öffentlich    252 2010/2011   75535462  Gymnasium          Christian-Ludwig-Liscow-Gymnasium                      Wittenburg     Öffentlich    371 2009/2010   75535462  Gymnasium          Christian-Ludwig-Liscow-Gymnasium                      Wittenburg     Öffentlich    345 2008/2009   75535462  Gymnasium          Christian-Ludwig-Liscow-Gymnasium                      Wittenburg     Öffentlich    341 2018/2019   75535539  Gymnasium          Gymnasium Carolinum                                    Neustrelitz    Öffentlich    974 2017/2018   75535539  Gymnasium          Gymnasium Carolinum                                    Neustrelitz    Öffentlich   1035 2016/2017   75535539  Gymnasium          Gymnasium Carolinum                                    Neustrelitz    Öffentlich   1059 2015/2016   75535539  Gymnasium          Gymnasium Carolinum                                    Neustrelitz    Öffentlich   1026 2014/2015   75535539  Gymnasium          Gymnasium Carolinum                                    Neustrelitz    Öffentlich    988 2013/2014   75535539  Gymnasium          Gymnasium Carolinum                                    Neustrelitz    Öffentlich    994 2012/2013   75535539  Gymnasium          Gymnasium Carolinum                                    Neustrelitz    Öffentlich    953 2011/2012   75535539  Gymnasium          Gymnasium Carolinum                                    Neustrelitz    Öffentlich    863 2010/2011   75535539  Gymnasium          Gymnasium Carolinum                                    Neustrelitz    Öffentlich    796 2009/2010   75535539  Gymnasium          Gymnasium Carolinum                                    Neustrelitz    Öffentlich    759 2008/2009   75535539  Gymnasium          Gymnasium Carolinum                                    Neustrelitz    Öffentlich    817 2012/2013   75535634  Gymnasium          Joliot-Curie-Gymnasium                                 Röbel/Müritz   Öffentlich    140 2011/2012   75535634  Gymnasium          Joliot-Curie-Gymnasium                                 Röbel/Müritz   Öffentlich    182 2010/2011   75535634  Gymnasium          Joliot-Curie-Gymnasium                                 Röbel/Müritz   Öffentlich    222 2009/2010   75535634  Gymnasium          Joliot-Curie-Gymnasium                                 Röbel/Müritz   Öffentlich    266 2008/2009   75535634  Gymnasium          Joliot-Curie-Gymnasium                                 Röbel/Müritz   Öffentlich    282 2018/2019   75535635  Gymnasium          Richard-Wossidlo-Gymnasium                             Waren (Müritz) Öffentlich    578 2017/2018   75535635  Gymnasium          Richard-Wossidlo-Gymnasium                             Waren (Müritz) Öffentlich    607 2016/2017   75535635  Gymnasium          Richard-Wossidlo-Gymnasium                             Waren (Müritz) Öffentlich    608 2015/2016   75535635  Gymnasium          Richard-Wossidlo-Gymnasium                             Waren (Müritz) Öffentlich    596 2014/2015   75535635  Gymnasium          Richard-Wossidlo-Gymnasium                             Waren (Müritz) Öffentlich    639 444
444

Landtag Mecklenburg-Vorpommern - 7. Wahlperiode                            Drucksache 7/5155 Schuljahr         Dienst-        Organisationsform                    Schulname                        Schulort   Rechts-   Gesamt- stellen-                                                                                         status   schüler- nummer                                                                                                       zahl 2013/2014       75535635       Gymnasium           Richard-Wossidlo-Gymnasium                     Waren (Müritz) Öffentlich    676 2012/2013       75535635       Gymnasium           Richard-Wossidlo-Gymnasium                     Waren (Müritz) Öffentlich    570 2011/2012       75535635       Gymnasium           Richard-Wossidlo-Gymnasium                     Waren (Müritz) Öffentlich    517 2010/2011       75535635       Gymnasium           Richard-Wossidlo-Gymnasium                     Waren (Müritz) Öffentlich    459 2009/2010       75535635       Gymnasium           Richard-Wossidlo-Gymnasium                     Waren (Müritz) Öffentlich    438 2008/2009       75535635       Gymnasium           Richard-Wossidlo-Gymnasium                     Waren (Müritz) Öffentlich    454 2008/2009       75535762       Gymnasium           GY „ Katharina von Hagenow“ Barth              Barth          Öffentlich    266 2018/2019       75535764       Gymnasium           Gymnasium Grimmen                              Grimmen        Öffentlich    455 2017/2018       75535764       Gymnasium           Gymnasium Grimmen                              Grimmen        Öffentlich    436 2016/2017       75535764       Gymnasium           Gymnasium Grimmen                              Grimmen        Öffentlich    411 2015/2016       75535764       Gymnasium           Gymnasium Grimmen                              Grimmen        Öffentlich    419 2014/2015       75535764       Gymnasium           Gymnasium Grimmen                              Grimmen        Öffentlich    416 2013/2014       75535764       Gymnasium           Gymnasium Grimmen                              Grimmen        Öffentlich    435 2012/2013       75535764       Gymnasium           Gymnasium Grimmen                              Grimmen        Öffentlich    404 2011/2012       75535764       Gymnasium           Gymnasium Grimmen                              Grimmen        Öffentlich    434 2010/2011       75535764       Gymnasium           Gymnasium Grimmen                              Grimmen        Öffentlich    449 2009/2010       75535764       Gymnasium           Gymnasium Grimmen                              Grimmen        Öffentlich    469 2008/2009       75535764       Gymnasium           Gymnasium Grimmen                              Grimmen        Öffentlich    502 2018/2019       75535766       Gymnasium           Gymnasium „Richard Wossidlo“ Ribnitz-Damgarten Ribnitz-       Öffentlich    461 Damgarten 2017/2018 75535766 Gymnasium                       Gymnasium „Richard Wossidlo“ Ribnitz-Damgarten Ribnitz-       Öffentlich    456 Damgarten 2016/2017 75535766 Gymnasium                       Gymnasium „Richard Wossidlo“ Ribnitz-Damgarten Ribnitz-       Öffentlich    463 Damgarten 2015/2016 75535766 Gymnasium                       Gymnasium „Richard Wossidlo“ Ribnitz-Damgarten Ribnitz-       Öffentlich    471 Damgarten 2014/2015 75535766 Gymnasium                       Gymnasium „Richard Wossidlo“ Ribnitz-Damgarten Ribnitz-       Öffentlich    460 Damgarten 445
445

Drucksache 7/5155                               Landtag Mecklenburg-Vorpommern - 7. Wahlperiode Schuljahr    Dienst-   Organisationsform                        Schulname                         Schulort  Rechts-   Gesamt- stellen-                                                                                        status   schüler- nummer                                                                                                      zahl 2013/2014 75535766 Gymnasium             Gymnasium „Richard Wossidlo“ Ribnitz-Damgarten       Ribnitz-     Öffentlich    452 Damgarten 2012/2013 75535766 Gymnasium             Gymnasium „Richard Wossidlo“ Ribnitz-Damgarten       Ribnitz-     Öffentlich    416 Damgarten 2011/2012 75535766 Gymnasium             Gymnasium „Richard Wossidlo“ Ribnitz-Damgarten       Ribnitz-     Öffentlich    404 Damgarten 2010/2011 75535766 Gymnasium             Gymnasium „Richard Wossidlo“ Ribnitz-Damgarten       Ribnitz-     Öffentlich    393 Damgarten 2009/2010 75535766 Gymnasium             Gymnasium „Richard Wossidlo“ Ribnitz-Damgarten       Ribnitz-     Öffentlich    406 Damgarten 2008/2009 75535766 Gymnasium             Gymnasium „Richard Wossidlo“ Ribnitz-Damgarten       Ribnitz-     Öffentlich    434 Damgarten 2018/2019   75535850  Gymnasium          Gymnasium                                            Gadebusch    Öffentlich    481 2017/2018   75535850  Gymnasium          Gymnasium                                            Gadebusch    Öffentlich    530 2016/2017   75535850  Gymnasium          Gymnasium                                            Gadebusch    Öffentlich    535 2015/2016   75535850  Gymnasium          Gymnasium                                            Gadebusch    Öffentlich    539 2014/2015   75535850  Gymnasium          Gymnasium                                            Gadebusch    Öffentlich    519 2013/2014   75535850  Gymnasium          Gymnasium                                            Gadebusch    Öffentlich    512 2012/2013   75535850  Gymnasium          Gymnasium                                            Gadebusch    Öffentlich    472 2011/2012   75535850  Gymnasium          Gymnasium                                            Gadebusch    Öffentlich    421 2010/2011   75535850  Gymnasium          Gymnasium                                            Gadebusch    Öffentlich    379 2009/2010   75535850  Gymnasium          Gymnasium                                            Gadebusch    Öffentlich    360 2008/2009   75535850  Gymnasium          Gymnasium                                            Gadebusch    Öffentlich    370 2018/2019   75535851  Gymnasium          Gymnasium „Am Tannenberg“                            Grevesmühlen Öffentlich    572 2017/2018   75535851  Gymnasium          Gymnasium „Am Tannenberg“                            Grevesmühlen Öffentlich    595 2016/2017   75535851  Gymnasium          Gymnasium „Am Tannenberg“                            Grevesmühlen Öffentlich    614 2015/2016   75535851  Gymnasium          Gymnasium „Am Tannenberg“                            Grevesmühlen Öffentlich    607 2014/2015   75535851  Gymnasium          Gymnasium „Am Tannenberg“                            Grevesmühlen Öffentlich    601 446
446

Landtag Mecklenburg-Vorpommern - 7. Wahlperiode                           Drucksache 7/5155 Schuljahr         Dienst-        Organisationsform                   Schulname               Schulort  Rechts-   Gesamt- stellen-                                                                              status   schüler- nummer                                                                                            zahl 2013/2014       75535851       Gymnasium           Gymnasium „Am Tannenberg“             Grevesmühlen Öffentlich    559 2012/2013       75535851       Gymnasium           Gymnasium „Am Tannenberg“             Grevesmühlen Öffentlich    526 2011/2012       75535851       Gymnasium           Gymnasium „Am Tannenberg“             Grevesmühlen Öffentlich    493 2010/2011       75535851       Gymnasium           Gymnasium „Am Tannenberg“             Grevesmühlen Öffentlich    443 2009/2010       75535851       Gymnasium           Gymnasium „Am Tannenberg“             Grevesmühlen Öffentlich    411 2008/2009       75535851       Gymnasium           Gymnasium „Am Tannenberg“             Grevesmühlen Öffentlich    398 2018/2019       75535852       Gymnasium           Gymnasium „Am Sonnenkamp“             Neukloster   Öffentlich    370 2017/2018       75535852       Gymnasium           Gymnasium „Am Sonnenkamp“             Neukloster   Öffentlich    366 2016/2017       75535852       Gymnasium           Gymnasium „Am Sonnenkamp“             Neukloster   Öffentlich    361 2015/2016       75535852       Gymnasium           Gymnasium „Am Sonnenkamp“             Neukloster   Öffentlich    330 2014/2015       75535852       Gymnasium           Gymnasium „Am Sonnenkamp“             Neukloster   Öffentlich    338 2013/2014       75535852       Gymnasium           Gymnasium „Am Sonnenkamp“             Neukloster   Öffentlich    338 2012/2013       75535852       Gymnasium           Gymnasium „Am Sonnenkamp“             Neukloster   Öffentlich    339 2011/2012       75535852       Gymnasium           Gymnasium „Am Sonnenkamp“             Neukloster   Öffentlich    319 2010/2011       75535852       Gymnasium           Gymnasium „Am Sonnenkamp“             Neukloster   Öffentlich    303 2009/2010       75535852       Gymnasium           Gymnasium „Am Sonnenkamp“             Neukloster   Öffentlich    287 2008/2009       75535852       Gymnasium           Gymnasium „Am Sonnenkamp“             Neukloster   Öffentlich    290 2018/2019       75535853       Gymnasium           Gymnasium „Ernst Barlach“             Schönberg    Öffentlich    543 2017/2018       75535853       Gymnasium           Gymnasium „Ernst Barlach“             Schönberg    Öffentlich    525 2016/2017       75535853       Gymnasium           Gymnasium „Ernst Barlach“             Schönberg    Öffentlich    524 2015/2016       75535853       Gymnasium           Gymnasium „Ernst Barlach“             Schönberg    Öffentlich    509 2014/2015       75535853       Gymnasium           Ernst-Barlach-Gymnasium               Schönberg    Öffentlich    495 2013/2014       75535853       Gymnasium           Ernst-Barlach-Gymnasium               Schönberg    Öffentlich    499 2012/2013       75535853       Gymnasium           Ernst-Barlach-Gymnasium               Schönberg    Öffentlich    528 2011/2012       75535853       Gymnasium           Ernst-Barlach-Gymnasium               Schönberg    Öffentlich    536 2010/2011       75535853       Gymnasium           Ernst-Barlach-Gymnasium               Schönberg    Öffentlich    527 2009/2010       75535853       Gymnasium           Ernst-Barlach-Gymnasium               Schönberg    Öffentlich    506 2008/2009       75535853       Gymnasium           Ernst-Barlach-Gymnasium               Schönberg    Öffentlich    477 447
447

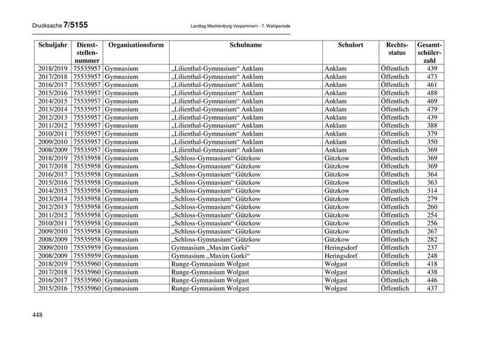
Drucksache 7/5155                                 Landtag Mecklenburg-Vorpommern - 7. Wahlperiode Schuljahr    Dienst-   Organisationsform                          Schulname                         Schulort  Rechts-   Gesamt- stellen-                                                                                          status   schüler- nummer                                                                                                        zahl 2018/2019   75535957  Gymnasium          „Lilienthal-Gymnasium“ Anklam                          Anklam       Öffentlich    439 2017/2018   75535957  Gymnasium          „Lilienthal-Gymnasium“ Anklam                          Anklam       Öffentlich    473 2016/2017   75535957  Gymnasium          „Lilienthal-Gymnasium“ Anklam                          Anklam       Öffentlich    461 2015/2016   75535957  Gymnasium          „Lilienthal-Gymnasium“ Anklam                          Anklam       Öffentlich    488 2014/2015   75535957  Gymnasium          „Lilienthal-Gymnasium“ Anklam                          Anklam       Öffentlich    469 2013/2014   75535957  Gymnasium          „Lilienthal-Gymnasium“ Anklam                          Anklam       Öffentlich    479 2012/2013   75535957  Gymnasium          „Lilienthal-Gymnasium“ Anklam                          Anklam       Öffentlich    439 2011/2012   75535957  Gymnasium          „Lilienthal-Gymnasium“ Anklam                          Anklam       Öffentlich    388 2010/2011   75535957  Gymnasium          „Lilienthal-Gymnasium“ Anklam                          Anklam       Öffentlich    379 2009/2010   75535957  Gymnasium          „Lilienthal-Gymnasium“ Anklam                          Anklam       Öffentlich    350 2008/2009   75535957  Gymnasium          „Lilienthal-Gymnasium“ Anklam                          Anklam       Öffentlich    369 2018/2019   75535958  Gymnasium          „Schloss-Gymnasium“ Gützkow                            Gützkow      Öffentlich    369 2017/2018   75535958  Gymnasium          „Schloss-Gymnasium“ Gützkow                            Gützkow      Öffentlich    369 2016/2017   75535958  Gymnasium          „Schloss-Gymnasium“ Gützkow                            Gützkow      Öffentlich    364 2015/2016   75535958  Gymnasium          „Schloss-Gymnasium“ Gützkow                            Gützkow      Öffentlich    363 2014/2015   75535958  Gymnasium          „Schloss-Gymnasium“ Gützkow                            Gützkow      Öffentlich    314 2013/2014   75535958  Gymnasium          „Schloss-Gymnasium“ Gützkow                            Gützkow      Öffentlich    279 2012/2013   75535958  Gymnasium          „Schloss-Gymnasium“ Gützkow                            Gützkow      Öffentlich    260 2011/2012   75535958  Gymnasium          „Schloss-Gymnasium“ Gützkow                            Gützkow      Öffentlich    254 2010/2011   75535958  Gymnasium          „Schloss-Gymnasium“ Gützkow                            Gützkow      Öffentlich    256 2009/2010   75535958  Gymnasium          „Schloss-Gymnasium“ Gützkow                            Gützkow      Öffentlich    267 2008/2009   75535958  Gymnasium          „Schloss-Gymnasium“ Gützkow                            Gützkow      Öffentlich    282 2009/2010   75535959  Gymnasium          Gymnasium „Maxim Gorki“                                Heringsdorf  Öffentlich    237 2008/2009   75535959  Gymnasium          Gymnasium „Maxim Gorki“                                Heringsdorf  Öffentlich    248 2018/2019   75535960  Gymnasium          Runge-Gymnasium Wolgast                                Wolgast      Öffentlich    418 2017/2018   75535960  Gymnasium          Runge-Gymnasium Wolgast                                Wolgast      Öffentlich    438 2016/2017   75535960  Gymnasium          Runge-Gymnasium Wolgast                                Wolgast      Öffentlich    446 2015/2016   75535960  Gymnasium          Runge-Gymnasium Wolgast                                Wolgast      Öffentlich    437 448
448

Landtag Mecklenburg-Vorpommern - 7. Wahlperiode                          Drucksache 7/5155 Schuljahr         Dienst-        Organisationsform                  Schulname                Schulort  Rechts-   Gesamt- stellen-                                                                              status   schüler- nummer                                                                                            zahl 2014/2015       75535960       Gymnasium           Runge-Gymnasium Wolgast              Wolgast       Öffentlich    424 2013/2014       75535960       Gymnasium           Runge-Gymnasium Wolgast              Wolgast       Öffentlich    404 2012/2013       75535960       Gymnasium           Runge-Gymnasium Wolgast              Wolgast       Öffentlich    380 2011/2012       75535960       Gymnasium           Runge-Gymnasium Wolgast              Wolgast       Öffentlich    333 2010/2011       75535960       Gymnasium           Runge-Gymnasium Wolgast              Wolgast       Öffentlich    330 2009/2010       75535960       Gymnasium           Runge-Gymnasium Wolgast              Wolgast       Öffentlich    312 2008/2009       75535960       Gymnasium           Runge-Gymnasium Wolgast              Wolgast       Öffentlich    307 2018/2019       75536059       Gymnasium           Gymnasium „Am Sonnenberg“            Crivitz       Öffentlich    435 2017/2018       75536059       Gymnasium           Gymnasium „Am Sonnenberg“            Crivitz       Öffentlich    432 2016/2017       75536059       Gymnasium           Gymnasium „Am Sonnenberg“            Crivitz       Öffentlich    435 2015/2016       75536059       Gymnasium           Gymnasium „Am Sonnenberg“            Crivitz       Öffentlich    443 2014/2015       75536059       Gymnasium           Gymnasium „Am Sonnenberg“            Crivitz       Öffentlich    434 2013/2014       75536059       Gymnasium           Gymnasium „Am Sonnenberg“            Crivitz       Öffentlich    463 2012/2013       75536059       Gymnasium           Gymnasium „Am Sonnenberg“            Crivitz       Öffentlich    416 2011/2012       75536059       Gymnasium           Gymnasium „Am Sonnenberg“            Crivitz       Öffentlich    389 2010/2011       75536059       Gymnasium           Gymnasium „Am Sonnenberg“            Crivitz       Öffentlich    345 2009/2010       75536059       Gymnasium           Gymnasium „Am Sonnenberg“            Crivitz       Öffentlich    330 2008/2009       75536059       Gymnasium           Gymnasium „Am Sonnenberg“            Crivitz       Öffentlich    360 2018/2019       75536060       Gymnasium           Gymnasium „Eldenburg“                Lübz          Öffentlich    459 2017/2018       75536060       Gymnasium           Gymnasium „Eldenburg“                Lübz          Öffentlich    437 2016/2017       75536060       Gymnasium           Gymnasium „Eldenburg“                Lübz          Öffentlich    391 2015/2016       75536060       Gymnasium           Gymnasium „Eldenburg“                Lübz          Öffentlich    378 2014/2015       75536060       Gymnasium           Gymnasium „Eldenburg“                Lübz          Öffentlich    358 2013/2014       75536060       Gymnasium           Gymnasium „Eldenburg“                Lübz          Öffentlich    338 2012/2013       75536060       Gymnasium           Gymnasium „Eldenburg“                Lübz          Öffentlich    374 2011/2012       75536060       Gymnasium           Gymnasium „Eldenburg“                Lübz          Öffentlich    357 2010/2011       75536060       Gymnasium           Gymnasium „Eldenburg“                Lübz          Öffentlich    352 2009/2010       75536060       Gymnasium           Gymnasium „Eldenburg“                Lübz          Öffentlich    341 449
449

Drucksache 7/5155                                 Landtag Mecklenburg-Vorpommern - 7. Wahlperiode Schuljahr    Dienst-   Organisationsform                          Schulname                         Schulort      Rechts-   Gesamt- stellen-                                                                                              status   schüler- nummer                                                                                                            zahl 2008/2009   75536060  Gymnasium          Gymnasium „Eldenburg“                                  Lübz             Öffentlich    345 2018/2019   75536061  Gymnasium          Gymnasium „Friedrich Franz“                            Parchim          Öffentlich    477 2017/2018   75536061  Gymnasium          Gymnasium „Friedrich Franz“                            Parchim          Öffentlich    510 2016/2017   75536061  Gymnasium          Gymnasium „Friedrich Franz“                            Parchim          Öffentlich    537 2015/2016   75536061  Gymnasium          Gymnasium „Friedrich Franz“                            Parchim          Öffentlich    530 2014/2015   75536061  Gymnasium          Friedrich-Franz-Gymnasium                              Parchim          Öffentlich    516 2013/2014   75536061  Gymnasium          Friedrich-Franz-Gymnasium                              Parchim          Öffentlich    503 2012/2013   75536061  Gymnasium          Friedrich-Franz-Gymnasium                              Parchim          Öffentlich    499 2011/2012   75536061  Gymnasium          Friedrich-Franz-Gymnasium                              Parchim          Öffentlich    486 2010/2011   75536061  Gymnasium          Friedrich-Franz-Gymnasium                              Parchim          Öffentlich    493 2009/2010   75536061  Gymnasium          Friedrich-Franz-Gymnasium                              Parchim          Öffentlich    498 2008/2009   75536061  Gymnasium          Friedrich-Franz-Gymnasium                              Parchim          Öffentlich    511 2018/2019   75536151  Gymnasium          Gymnasium „Ernst Moritz Arndt“ Bergen                  Bergen auf Rügen Öffentlich    879 2017/2018   75536151  Gymnasium          Gymnasium „Ernst Moritz Arndt“ Bergen                  Bergen auf Rügen Öffentlich    902 2016/2017   75536151  Gymnasium          Gymnasium „Ernst Moritz Arndt“ Bergen                  Bergen auf Rügen Öffentlich    932 2015/2016   75536151  Gymnasium          Gymnasium „Ernst Moritz Arndt“ Bergen                  Bergen auf Rügen Öffentlich    918 2014/2015   75536151  Gymnasium          Gymnasium „Ernst Moritz Arndt“ Bergen                  Bergen auf Rügen Öffentlich    932 2013/2014   75536151  Gymnasium          Gymnasium „Ernst Moritz Arndt“ Bergen                  Bergen auf Rügen Öffentlich    865 2012/2013   75536151  Gymnasium          Gymnasium „Ernst Moritz Arndt“ Bergen                  Bergen auf Rügen Öffentlich    856 2011/2012   75536151  Gymnasium          Gymnasium „Ernst Moritz Arndt“ Bergen                  Bergen auf Rügen Öffentlich    796 2010/2011   75536151  Gymnasium          Gymnasium „Ernst Moritz Arndt“ Bergen                  Bergen auf Rügen Öffentlich    750 2009/2010   75536151  Gymnasium          Gymnasium „Ernst Moritz Arndt“ Bergen                  Bergen auf Rügen Öffentlich    793 2008/2009   75536151  Gymnasium          Gymnasium „Ernst Moritz Arndt“ Bergen                  Bergen auf Rügen Öffentlich    842 2018/2019   75536238  Gymnasium          Deutsch-Polnisches Gymnasium Löcknitz                  Löcknitz         Öffentlich    484 2017/2018   75536238  Gymnasium          Deutsch-Polnisches Gymnasium Löcknitz                  Löcknitz         Öffentlich    486 2016/2017   75536238  Gymnasium          Deutsch-Polnisches Gymnasium Löcknitz                  Löcknitz         Öffentlich    485 2015/2016   75536238  Gymnasium          Deutsch-Polnisches Gymnasium Löcknitz                  Löcknitz         Öffentlich    440 2014/2015   75536238  Gymnasium          Deutsch-Polnisches Gymnasium Löcknitz                  Löcknitz         Öffentlich    454 450
450

Zur nächsten Seite