Ausländische Tatverdächtige in ausgewählten Städten

/ 263
PDF herunterladen
Landtag Mecklenburg-Vorpommern - 7. Wahlperiode                              Drucksache 7/6327 Rostock                                                             Anzahl Tatverdächtige 2017 Straftaten       ST gegen   ST gegen    Roh./ST          DS ohne       DS unter Vermög. & sonstige       strafr. gesamt        das Leben d. sexuelle gg. d. pers.      erschw.       erschw.  Fälschungs- Straftat- Nebengesetze Selbstbest.  Freiheit        Umstände      Umständen   delikte   bestände ungarisch                           14               0         0          0               1              0         11            2        0 marokkanisch                        13               0         0          0               3              0          3            0        8 nordmazedonisch                     13               0         0          0               0              0          0            0       13 schwedisch                          12               0         0          0               0              0          6            1        5 griechisch                          11               0         0          2               0              0          6            3        2 italienisch                         11               0         0          3               1              0          5            4        2 gambisch                            10               0         0          0               3              0          4            1        6 lettisch                            10               0         0          2               3              1          4            4        0 libysch                             10               0         0          3               1              0          4            1        2 pakistanisch                        10               0         0          2               0              0          5            1        4 spanisch                            10               0         0          0               0              0          9            0        1 tunesisch                            9               0         0          2               0              0          3            2        2 indisch                              8               0         1          2               2              0          2            0        1 kosovarisch                          8               0         1          2               0              0          4            1        1 keine Angaben möglich                7               0         0          1               0              0          4            3        0 kroatisch                            6               0         0          0               0              0          6            1        0 mosambikanisch                       6               0         0          0               0              0          1            0        5 togoisch                             6               0         0          1               4              0          2            2        0 österreichisch                       6               0         0          0               0              0          5            0        2 britisch                             5               0         0          0               0              0          4            0        1 moldauisch                           5               0         0          1               3              0          1            0        0 nigerianisch                         5               0         0          0               0              0          3            0        3 aserbaidschanisch                    4               0         0          1               0              0          3            0        1 georgisch                            4               0         0          0               1              0          0            0        3 honduranisch                         4               0         0          0               2              0          3            2        0 israelisch                           4               0         1          1               0              0          0            2        1 181
181

Drucksache 7/6327                          Landtag Mecklenburg-Vorpommern - 7. Wahlperiode Rostock                                                  Anzahl Tatverdächtige 2017 Straftaten ST gegen   ST gegen           Roh./ST             DS ohne      DS unter Vermög. & sonstige       strafr. gesamt    das Leben d. sexuelle       gg. d. pers.          erschw.      erschw.  Fälschungs- Straftat- Nebengesetze Selbstbest.         Freiheit          Umstände      Umständen   delikte   bestände kasachisch             4          0         0                 2                  1             0          1           1         0 niederländisch         4          0         0                 0                  0             0          3           0         1 äthiopisch             4          0         0                 0                  0             0          1           0         3 amerikanisch           3          0         0                 0                  1             0          2           0         0 chinesisch             3          0         0                 0                  0             0          2           0         1 dänisch                3          0         0                 0                  0             0          3           0         0 guayanisch             3          0         0                 1                  0             0          1           1         0 indonesisch            3          0         0                 1                  1             0          0           0         2 libanesisch            3          0         0                 0                  1             0          1           0         1 mexikanisch            3          0         0                 0                  0             0          2           1         0 schweizerisch          3          0         1                 0                  1             0          3           0         1 sudanesisch            3          0         0                 0                  0             0          1           0         3 tschechisch            3          0         0                 1                  0             0          2           0         0 ugandisch              3          0         0                 0                  0             0          0           0         3 weißrussisch           3          0         0                 0                  1             1          1           0         0 bangladeschisch        2          0         0                 0                  0             0          1           1         1 finnisch               2          0         0                 0                  1             0          1           0         0 jemenitisch            2          0         0                 0                  1             0          1           0         1 jordanisch             2          0         0                 1                  1             0          1           1         0 kamerunisch            2          0         0                 0                  0             0          0           0         2 luxemburgisch          2          0         0                 1                  0             0          1           0         0 montenegrisch          2          0         0                 0                  0             0          1           1         1 portugiesisch          2          0         0                 0                  1             0          0           1         1 slowakisch             2          0         0                 0                  0             0          2           0         0 tschadisch             2          0         0                 0                  0             0          1           0         1 angolanisch            1          0         0                 0                  0             0          1           0         0 182
182

Landtag Mecklenburg-Vorpommern - 7. Wahlperiode                              Drucksache 7/6327 Rostock                                                              Anzahl Tatverdächtige 2017 Straftaten       ST gegen   ST gegen    Roh./ST          DS ohne       DS unter Vermög. & sonstige       strafr. gesamt        das Leben d. sexuelle gg. d. pers.      erschw.       erschw.  Fälschungs- Straftat- Nebengesetze Selbstbest.  Freiheit        Umstände      Umständen   delikte   bestände bolivianisch                          1             0         1          0               0               0         0            0        0 dominikanisch                         1             0         0          0               0               0         0            0        1 fidschianisch                         1             0         0          0               0               0         1            0        0 französisch                           1             0         0          0               0               0         1            0        0 ivorisch                              1             0         0          0               0               0         0            1        0 kenianisch                            1             0         0          0               1               0         0            0        1 kirgistanisch                         1             0         0          1               0               0         0            0        0 kuwaitisch                            1             0         0          0               0               0         1            0        0 malaysisch                            1             0         0          0               0               0         0            0        1 malisch                               1             0         0          0               0               0         1            0        0 mauritisch                            1             0         0          0               0               1         0            0        0 saudiarabisch                         1             0         1          0               0               0         0            0        0 singapurisch                          1             0         0          0               0               0         0            0        1 tadschikisch                          1             0         0          1               1               0         0            0        0 thailändisch                          1             0         0          0               1               0         0            0        0 turkmenisch                           1             0         0          1               0               0         0            0        0 usbekisch                             1             0         0          1               0               0         0            0        0 äquatorialguineisch                   1             0         0          1               0               0         0            0        0 nicht deutsch                     1 508             2       26        257              215             34        557         185       509 183
183

Drucksache 7/6327                                  Landtag Mecklenburg-Vorpommern - 7. Wahlperiode Tabelle 60: Anzahl nicht deutscher Tatverdächtiger nach Staatsangehörigkeit in den PKS-Hauptgruppen für Rostock im Jahr 2018 Rostock                                                          Anzahl Tatverdächtige 2018 Straftaten ST gegen    ST gegen      Roh./ST       DS ohne           DS unter Vermög. &   sonstige     strafr. gesamt das Leben     d. sexuelle      gg. d.      erschw.            erschw. Fälschungs- Straftat- Nebengesetze Selbstbest.      pers.      Umstände Umständen            delikte   bestände Freiheit syrisch                       385         1           5            110          34                  6      104         46        185 afghanisch                    134         0           3              29         10                  4       29         17          68 polnisch                      114         0           2              13         16                 17       58         20           9 rumänisch                     104         0           2              11         12                 19       58          5           4 russisch                       64         0           1               5         18                  4       21         10          12 indisch                        63         0           0               2           1                 0        1          0          59 irakisch                       57         0           0               8           3                 1        6          3          43 somalisch                      56         0           0               8           6                 2       19          4          29 litauisch                      54         0           2              14         33                  4       10          6           3 ukrainisch                     53         1           1               6         19                  4       12          6          11 iranisch                       50         0           0              10           7                 1       15          7          18 armenisch                      37         0           1              10         15                  5       11          7           5 serbisch                       34         0           0               5           2                 2        5          2          23 eritreisch                     30         1           0               3           4                 1       19          1           9 staatenlos                     30         0           0               9           4                 1        5          1          19 albanisch                      28         0           0               2           1                 0        4          1          24 bulgarisch                     27         0           0              12           0                 1       14          1           1 türkisch                       27         0           0              10           1                 0        9          3           8 ungeklärt                      26         0           0               1           2                 1       17          0           9 nordmazedonisch                25         0           1               0           5                 0        1          1          19 moldauisch                     21         0           0               1           0                 0       16          0          17 bosnisch                       20         0           1               2           0                 0        2          0          16 ghanaisch                      17         0           1               4           1                 1        7          2           6 184
184

Landtag Mecklenburg-Vorpommern - 7. Wahlperiode                             Drucksache 7/6327 Rostock                                                           Anzahl Tatverdächtige 2018 Straftaten ST gegen  ST gegen   Roh./ST      DS ohne    DS unter Vermög. &   sonstige     strafr. gesamt das Leben   d. sexuelle  gg. d.      erschw.     erschw. Fälschungs- Straftat- Nebengesetze Selbstbest.  pers.      Umstände Umständen     delikte   bestände Freiheit georgisch                                16        0         0           2          6           1        1          0           9 vietnamesisch                            16        0         1           6          0           0        4          1           6 ägyptisch                                16        0         0           2          2           0        8          3           7 lettisch                                 15        0         0           2          7           1        7          1           0 marokkanisch                             15        0         0           1          0           0        5          1          10 schwedisch                               15        0         0           1          2           0        6          0           7 algerisch                                14        0         1           6          5           1        4          1           5 ungarisch                                14        0         0           2          2           0        9          2           0 tunesisch                                13        0         1           1          3           0        5          0           5 mauretanisch                             12        0         1           9          1           1        5          2           1 pakistanisch                             12        0         0           1          0           0        3          0           8 brasilianisch                            11        0         0           0          1           0        8          1           4 keine Angaben möglich                    11        0         0           0          2           0        8          1           0 äthiopisch                               11        0         0           0          0           0        1          1          10 italienisch                              10        0         0           3          0           0        5          1           1 togoisch                                 10        0         0           1          1           1        6          0           3 chinesisch                                9        0         0           2          0           0        1          0           6 griechisch                                9        0         0           2          3           0        3          3           0 gambisch                                  7        0         0           1          2           0        3          1           2 kasachisch                                7        0         0           1          2           0        4          1           0 nigerianisch                              7        0         0           0          0           0        4          0           5 thailändisch                              7        0         0           1          0           0        2          2           3 dänisch                                   6        0         0           1          0           0        5          1           0 kosovarisch                               6        0         0           2          1           0        1          2           2 kroatisch                                 6        0         0           0          0           0        5          1           0 185
185

Drucksache 7/6327                         Landtag Mecklenburg-Vorpommern - 7. Wahlperiode Rostock                                                Anzahl Tatverdächtige 2018 Straftaten ST gegen  ST gegen      Roh./ST       DS ohne           DS unter Vermög. &   sonstige     strafr. gesamt das Leben   d. sexuelle      gg. d.      erschw.            erschw. Fälschungs- Straftat- Nebengesetze Selbstbest.      pers.      Umstände Umständen            delikte   bestände Freiheit libanesisch               6        0          0               0           1                 0        1          0           4 libysch                   6        0          0               1           1                 0        1          1           6 amerikanisch              5        0          0               0           0                 0        3          0           2 bangladeschisch           5        0          0               0           1                 0        1          0           3 französisch               5        0          0               1           0                 0        3          1           1 guayanisch                5        0          0               0           0                 1        1          0           3 jordanisch                5        0          0               1           0                 0        0          0           4 spanisch                  5        0          0               0           0                 0        4          1           0 österreichisch            5        0          0               2           0                 0        1          0           2 aserbaidschanisch         4        0          0               0           0                 0        2          3           0 britisch                  4        0          0               1           0                 0        1          3           0 nepalesisch               4        0          0               0           0                 0        1          0           3 portugiesisch             4        0          1               0           1                 0        1          1           1 tschechisch               4        0          0               0           0                 0        2          1           1 weißrussisch              4        0          0               1           0                 2        0          0           1 beninisch                 3        0          0               1           1                 1        0          2           1 chilenisch                3        0          0               1           0                 1        1          0           0 honduranisch              3        0          0               1           1                 0        1          0           1 indonesisch               3        0          0               1           1                 0        0          0           1 israelisch                3        0          0               2           1                 0        0          1           0 ivorisch                  3        0          0               0           0                 0        1          0           3 kirgistanisch             3        0          0               2           1                 0        1          0           0 koreanisch, Süd           3        0          0               0           0                 0        2          0           1 mauritisch                3        0          0               1           0                 0        0          1           1 mexikanisch               3        0          0               1           0                 0        2          0           1 186
186

Landtag Mecklenburg-Vorpommern - 7. Wahlperiode                             Drucksache 7/6327 Rostock                                                           Anzahl Tatverdächtige 2018 Straftaten ST gegen  ST gegen   Roh./ST      DS ohne    DS unter Vermög. &   sonstige     strafr. gesamt das Leben   d. sexuelle  gg. d.      erschw.     erschw. Fälschungs- Straftat- Nebengesetze Selbstbest.  pers.      Umstände Umständen     delikte   bestände Freiheit montenegrisch                             3        0         0           1          0           0        0          1           2 niederländisch                            3        0         0           0          1           0        1          1           0 slowakisch                                3        0         0           0          2           0        3          0           0 argentinisch                              2        0         0           1          0           0        1          0           1 belgisch                                  2        0         0           0          0           0        2          0           0 jemenitisch                               2        0         0           0          1           0        0          0           1 kamerunisch                               2        0         0           2          0           0        0          0           0 kongolesisch (Demokratische               2        0         0           0          1           0        2          0           1 Republik) kuwaitisch                                2        0         0           0          0           0        2          0           0 malisch                                   2        0         0           0          0           0        1          0           1 schweizerisch                             2        0         0           0          0           0        1          0           1 senegalesisch                             2        0         0           0          0           0        0          0           2 bolivianisch                              1        0         0           1          0           0        0          0           0 der Vereinigten Arabischen                1        0         0           0          0           0        1          0           0 Emirate dominikanisch                             1        0         0           0          0           0        0          0           1 ecuadorianisch                            1        0         0           0          0           0        1          0           0 finnisch                                  1        0         0           1          0           0        0          0           0 gabunisch                                 1        0         0           1          0           0        0          0           0 guineabissauisch                          1        0         0           0          0           0        0          0           1 kapverdisch                               1        0         0           0          0           0        0          0           1 kolumbianisch                             1        0         0           0          0           1        0          0           0 kubanisch                                 1        0         0           1          0           0        0          0           0 liberianisch                              1        0         0           0          0           0        1          0           1 187
187

Drucksache 7/6327                         Landtag Mecklenburg-Vorpommern - 7. Wahlperiode Rostock                                                 Anzahl Tatverdächtige 2018 Straftaten ST gegen  ST gegen      Roh./ST       DS ohne           DS unter Vermög. &   sonstige     strafr. gesamt das Leben   d. sexuelle      gg. d.      erschw.            erschw. Fälschungs- Straftat- Nebengesetze Selbstbest.      pers.      Umstände Umständen            delikte   bestände Freiheit malaysisch                  1      0          0               0           0                 0        0          0           1 mosambikanisch              1      0          0               0           0                 0        1          0           0 norwegisch                  1      0          0               0           0                 0        0          0           1 peruanisch                  1      0          0               0           0                 0        1          0           1 philippinisch               1      0          0               0           0                 0        0          0           1 salomonisch                 1      0          0               0           0                 0        1          0           0 saudiarabisch               1      0          0               1           0                 0        0          0           0 sierraleonisch              1      0          0               0           0                 0        0          0           1 simbabwisch                 1      0          0               0           0                 0        1          1           0 sudanesisch                 1      0          0               0           0                 0        0          0           1 tadschikisch                1      0          0               1           0                 0        1          0           0 turkmenisch                 1      0          0               1           0                 0        0          0           0 usbekisch                   1      0          0               1           0                 1        0          0           0 äquatorialguineisch         1      0          0               1           0                 0        0          0           0 nicht deutsch          1 851       3        25             344        241                 86      600        187         746 188
188

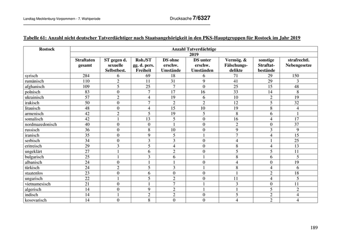
Landtag Mecklenburg-Vorpommern - 7. Wahlperiode                              Drucksache 7/6327 Tabelle 61: Anzahl nicht deutscher Tatverdächtiger nach Staatsangehörigkeit in den PKS-Hauptgruppen für Rostock im Jahr 2019 Rostock                                                             Anzahl Tatverdächtige 2019 Straftaten        ST gegen d.  Roh./ST      DS ohne       DS unter    Vermög. &   sonstige   strafrechtl. gesamt          sexuelle   gg. d. pers.  erschw.        erschw.    Fälschungs- Straftat- Nebengesetze Selbstbest.  Freiheit    Umstände      Umständen      delikte   bestände syrisch                            284               6            69         18             6           71          29      150 rumänisch                          110               2            11         31             9           41          29         3 afghanisch                         109               5            25          7             0           25          15        48 polnisch                            83               0             7         17            16           33          14         8 ukrainisch                          57               2             4         19             6           10           2        19 irakisch                            50               0             7          2             2           12           5        32 litauisch                           48               0             4         15            10           19           8         4 armenisch                           42               2             5         19             5            8           6         1 somalisch                           42               1            13          5             0           16           4        17 nordmazedonisch                     40               0             0          1             0            2           0        37 russisch                            36               0             8         10             0            9           3         9 iranisch                            35               0             9          5             1            7           4        15 serbisch                            34               0             3          3             0            4           1        25 eritreisch                          29               3             5          4             0            8           4        13 ungeklärt                           27               1             6          2             0            5           5        11 bulgarisch                          25               1             3          6             1            8           6         5 albanisch                           24               0             1          1             0            4           0        19 türkisch                            24               2             5          3             1            8           4         6 staatenlos                          23               0             6          0             0            1           2        18 ungarisch                           22               1             5          2             0           11           4         5 vietnamesisch                       21               0             1          7             1            3           0        11 algerisch                           14               0             9          2             1            1           5         2 indisch                             14               1             2          2             0            5           2         4 kosovarisch                         14               0             8          0             0            4           2         4 189
189

Drucksache 7/6327                             Landtag Mecklenburg-Vorpommern - 7. Wahlperiode Rostock                                                    Anzahl Tatverdächtige 2019 Straftaten ST gegen d.  Roh./ST          DS ohne            DS unter   Vermög. &   sonstige   strafrechtl. gesamt     sexuelle   gg. d. pers.      erschw.            erschw.    Fälschungs- Straftat- Nebengesetze Selbstbest.  Freiheit       Umstände           Umständen      delikte   bestände lettisch                  14          1              2              4                 1           6            2        0 schwedisch                14          0              1              3                 0           3            1        6 ägyptisch                 14          0              3              2                 0           6            0        5 bosnisch                  13          0              1              1                 0           3            2        8 georgisch                 12          0              0              7                 1           1            2        2 tunesisch                 12          0              4              1                 1           5            1        6 kasachisch                11          0              1              4                 0           4            1        2 aserbaidschanisch         10          0              0              1                 1           2            1        5 thailändisch              10          0              3              0                 0           3            1        5 italienisch                 9         0              1              2                 1           6            0        0 kubanisch                   9         0              1              0                 1           0            0        7 weißrussisch                9         1              4              3                 1           4            3        1 französisch                 8         0              0              0                 0           6            1        2 kroatisch                   8         0              1              0                 1           5            0        1 marokkanisch                8         0              2              0                 1           1            0        4 ghanaisch                   7         1              3              1                 0           1            0        2 keine Angaben möglich       7         0              1              0                 0           4            0        2 nigerianisch                7         0              0              0                 0           1            2        4 amerikanisch                6         0              2              0                 0           3            0        2 brasilianisch               6         0              0              0                 0           2            0        4 guayanisch                  6         0              1              0                 0           5            0        0 honduranisch                6         0              0              2                 0           3            0        3 pakistanisch                6         0              1              0                 0           1            1        3 tschechisch                 6         0              2              0                 0           4            0        0 äthiopisch                  6         0              1              0                 0           1            0        4 österreichisch              6         0              0              1                 0           5            1        1 190
190

Zur nächsten Seite