Digital First oder NRW Second – Wie ist die schwarz-gelbe Digitalisierungsbilanz?

/ 1299
PDF herunterladen
LANDTAG NORDRHEIN-WESTFALEN - 17. Wahlperiode                              Drucksache 17/15002 Innovationsimpulsen für mittelständische Unternehmen verbunden und hilft, digitale Kompe- tenzen bei diesen aufzubauen. Die Zufriedenheit der Kooperationspartnerinnen und -partner ist hoch; die Zusammenarbeit verläuft überwiegend erfolgreich. Gleichwohl wird das Digitali- sierungspotenzial insbesondere von kleineren Unternehmen über alle Branchen hinweg noch nicht vollständig ausgeschöpft. Jedes vierte Unternehmen (25,3 Prozent) ist laut des Digitali- sierungsindex NRW 2020 als eher nicht digitalisiert zu bezeichnen. Die Landesregierung Nord- rhein-Westfalen sieht daher noch großes Potential für die kleinen und mittleren Unternehmen (KMU) bezogen auf die Digitalisierung. Die durchweg hohe Nachfrage im Förderprogramm Mittelstand Innovativ & Digital (MID), wel- ches branchenübergreifend kleine und mittlere Unternehmen bei der Entwicklung und Umset- zung von digitalen Produkten, Dienstleistungen und Produktionsverfahren unterstützt, verdeut- licht den nach wie vor hohen Bedarf in diesem Bereich. 351. Von welchem Finanzbedarf für die anzustrebende Digitalisierung des Mittelstands geht die Landesregierung aus? Die Fragen Nummer 351, Nummer 360 und Nummer 364 werden gemeinsam beantwortet. Eine statistisch erhobene Zahl zum Finanzbedarf für die anzustrebende Digitalisierung der kleinen und mittleren Unternehmen in Nordrhein-Westfalen existiert nicht. Jedes Unternehmen (KMU) hat einen individuellen Finanzbedarf, der sich mit der Anpassung des Geschäftsmodells verändern kann. 352. Durch welche Förderprogramme in welcher Höhe fördert die Landesregierung die Digitalisierung des Mittelstands? (Bitte seit 2017 nach Jahren aufführen: Gesamt- förderung, Anzahl der geförderten Betriebe, Ausschöpfungsquote per 30.6. und 31.12 eines Jahres) Die Fragen 352 und 361 werden aufgrund des Sachzusammenhangs gemeinsam beantwortet. Zudem wird auf Nummer 360 bezüglich der Digitalisierungsprogramme für das Handwerk ver- wiesen. Förderprogramm Mittelstand Innovativ & Digital (MID) Das Förderprogramm Mittelstand Innovativ & Digital (MID) unterstützt kleine und mittlere Un- ternehmen (KMU) seit Juni 2020 bei der Entwicklung und Weiterentwicklung von digitalen Pro- dukten, Dienstleistungen und Produktionsverfahren. Das Förderprogramm Mittelstand Innova- tiv & Digital fördert in diesem Zusammenhang externe Beratungs-, Entwicklungs- und Umset- zungsdienstleistungen. Das Förderprogramm Mittelstand Innovativ & Digital ist das Folgepro- gramm von Mittelstand innovativ! und setzte einen Fokus auf Digitalisierungsvorhaben mit ei- nem höheren Innovationsgehalt. Förderprogramm „Digitalen und stationären Einzelhandel zusammendenken“ 1., 2., 3. Call sowie 1. Sonderprogramm Corona: Die Projektaufrufe richteten sich an Unternehmen des stationären Einzelhandels mit weniger als 50 Beschäftigen, die auf einen Umsatz von maximal zehn Millionen Euro oder eine Jahres- bilanzsumme von bis zu zehn Millionen Euro kommen. Gefördert werden kurzfristige Projekte von Kleinunternehmen, die sich erstmalig digital aufstellen oder den Auf- oder Ausbau der digitalen Technologien für ihr Unternehmen voranbringen wollen. Der Höchstbetrag der 261
261

LANDTAG NORDRHEIN-WESTFALEN - 17. Wahlperiode                               Drucksache 17/15002 Förderung      liegt   bei   12.000     Euro    bei   einem    Fördersatz       von    bis   zu 90 Prozent. 2. Sonderprogramm Corona (Planung: 1.10.2021 bis 30.9.2022) Der Projektaufruf (Gutscheinprogramm) richtet sich an Unternehmen des stationären Einzel- handels mit weniger als 50 Beschäftigen, die auf einen Umsatz von maximal zehn Millionen Euro oder eine Jahresbilanzsumme von bis zu zehn Millionen Euro kommen. Gefördert werden kurzfristige Projekte von Kleinunternehmen, die sich erstmalig digital aufstellen oder den Auf- oder Ausbau der digitalen Technologien für ihr Unternehmen voranbringen wollen. Der Höchst- betrag der Förderung liegt bei maximal 2.000 Euro bei einem Fördersatz von bis zu 100 Pro- zent. Die Förderung erfolgt nach Abschluss der Maßnahme und Vorlage des Nachweises der Realisierung durch den Antragstellenden. Es wird auf die beiliegende Tabelle verwiesen. Ein zentrales, in 2018 neu eingeführtes Förderprogramm ist darüber hinaus der bei Frage 354 thematisierte NRW.BANK.Digitalisierungskredit. Zudem wird an dieser Stelle auf die Antwort der Frage 360 bezüglich des Handwerks verwiesen. Anlage: Tabelle zu Frage 352 353. Wie viele mittelständische Unternehmen wurden durch Stellen des Landes in Di- gitalisierungsfragen beraten? (Bitte nach Jahren seit 2017 unter Angabe der Bran- chen und Beratungsgegenstände aufschlüsseln) Die Fragen Nr. 353 und Nr. 362 werden gemeinsam beantwortet. Im Zuge einer Vielzahl von Veranstaltungen auf Initiative oder unter wesentlicher Mitwirkung sowie im Rahmen einer Vielzahl von Firmenbesuchen von Mitgliedern der Landesregierung tragen diese, unterstützt durch die Vor- und Nachbereitung der fachlichen Begleitungen, in großem Umfang zur Sensibilisierung und Beratung zu den drängenden digitalen Themen bei. Die NRW.Bank und der Projektträger Jülich und darüber hinaus die Industrie- und Handels- kammern, Handelskammern und Wirtschaftsförderungen bieten jedoch eine offene, nied- rigschwellige Beratung zu den Digitalisierungsprogrammen der Landesregierung an, zum Bei- spiel zu Mittelstand Innovativ & Digital (MID) oder zum NRW.Bank.Digitalisierungskredit. Nä- here Informationen zu der Anzahl der Beratungen werden nicht erfasst. 354. Wie hat sich das Volumen des NRW.Bank.Digitalisierungskredit seit 2017 entwi- ckelt? (Bitte nach Jahren aufgeschlüsselt das verfügbare und abgerufene Volu- men aufführen) Der NRW.BANK.Digitalisierungskredit ist zum 1. September 2018 eingeführt worden. Insge- samt sind seit dem Programmstart bis zum ersten Quartal des Jahres 2021 857 Bewilligungen und ein Zusagevolumen in Höhe von 278,5 Mio. Euro erreicht worden. •   Im Jahr 2018 ist der Kredit 74 Unternehmen bewilligt worden. Das Zusagevolumen hat 30,8 Mio. Euro betragen. •   Im Jahr 2019 ist der Kredit 490 Unternehmen bewilligt worden. Das Zusagevolumen hat 169,1 Mio. Euro betragen. 262
262

LANDTAG NORDRHEIN-WESTFALEN - 17. Wahlperiode                             Drucksache 17/15002 •   Im Jahr 2020 ist der Kredit 237 Unternehmen bewilligt worden. Das Zusagevolumen hat 66,7 Mio. Euro betragen. •   Im ersten Quartal des Jahres 2021 ist der Kredit 56 Unternehmen bewilligt worden. Das Zusagevolumen hat 11,9 Mio. Euro betragen. 355. Wie hat die Landesregierung den Themenschwerpunkt „Digitalisierung“ bei den Potenzialberatungen gestärkt? Mit „Industrie 4.0“ als Bezeichnung für die umfassende Digitalisierung der industriellen Pro- duktion wurde es wichtiger, Unternehmen und ihre Beschäftigten im Zusammenhang mit durch die Digitalisierung ausgelösten Modernisierungen zu beraten. Im Fokus der Landesregierung stand und steht, Beratungen zu fördern, die den Einsatz digitaler Techniken in kleinen und mittelständischen Unternehmen in Verbindung mit den erforderlichen Veränderungen in der Organisations- und Personalentwicklung vorantreiben, insbesondere im Hinblick auf Qualifi- zierungsbedarfe. Das Thema Digitalisierung ist ergänzendes Handlungsfeld der Potentialberatung. Auf diese Weise werden Unternehmen und Beratungsstellen mithilfe von Veranstaltungen informiert und sensibilisiert. Darüber hinaus hat das Ministerium für Arbeit, Gesundheit und Soziales des Landes Nord- rhein-Westfalen mit dem Dialogprozess NRW 4.0 nicht nur den gezielten Austausch zur Ge- staltung der Arbeitswelt im digitalen Wandel sowie die dafür notwendige Vernetzung von rele- vanten Akteurinnen und Akteuren vor Ort in den 16 Arbeitsmarktregionen des Landes Nord- rhein-Westfalen fokussiert, sondern auch den Themenschwerpunkt „Digitalisierung“ aufge- zeigt und die Unterstützung durch die Potentialberatung hervorgehoben (vergleiche Antwort zu Frage 129). 356. Wie viele Potenzialberatungen zum Themenschwerpunkt „Digitalisierung“ wurden seit 2019 durchgeführt? (Bitte nach Jahren aufführen: teilnehmende Beschäftigte, teilnehmende Betriebe sowie Mitteleinsatz aufgegliedert nach eigenen Landesmit- teln und EU-Mitteln) Mit Hilfe der Potentialberatung können Betriebe entlang von fünf Themenbereichen beteili- gungsorientiert ihre Stärken und Schwächen ermitteln sowie betriebsspezifische Lösungen er- arbeiten. Themenbereiche sind: • Arbeitsorganisation • Kompetenzentwicklung und Qualifizierungsberatung • Demografischer Wandel • Digitalisierung • Gesundheit Für den Themenbe- Zahl der Betriebe Zahl der Beschäf- reich Digitalisierung tigten                 wurden folgende Da- 2019                      344                  12.397                 ten ermittelt: 2020                      307                  13.537 2021 (Januar – März) 72                        3.919 Summe                     723                  29.853 263
263

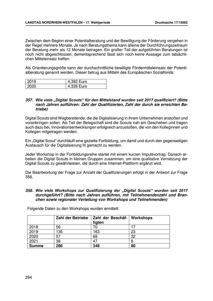
LANDTAG NORDRHEIN-WESTFALEN - 17. Wahlperiode                               Drucksache 17/15002 Zwischen dem Beginn einer Potentialberatung und der Bewilligung der Förderung vergehen in der Regel mehrere Monate. Je nach Beratungsthema kann alleine der Durchführungszeitraum der Beratung mehr als 12 Monate betragen. Ein großer Teil der aufgeführten Beratungen ist noch nicht abgeschlossen; dementsprechend lässt sich noch keine Aussage zum tatsächli- chen Mitteleinsatz treffen. Als Orientierungsgröße kann der durchschnittliche bewilligte Fördermitteleinsatz der Potenti- alberatung genannt werden. Dieser betrug aus Mitteln des Europäischen Sozialfonds: 2019                    4.392 Euro 2020                    4.326 Euro 357. Wie viele „Digital Scouts“ für den Mittelstand wurden seit 2017 qualifiziert? (Bitte nach Jahren aufführen: Zahl der Qualifizierten, Zahl der durch sie erreichten Be- triebe) Digital Scouts sind Wegbereitende, die die Digitalisierung in ihrem Unternehmen anstoßen und voranbringen sollen. Als Teil der Belegschaft sind die Scouts nah am Geschehen und tragen auch dazu bei, Innovationsentwicklungen erfolgreich anzustoßen, die von den Kolleginnen und Kollegen mitgetragen werden. Ein „Digital Scout“ durchläuft eine gezielte Fortbildung, um damit und durch den gegenseitigen Austausch für die Digitalisierung fit gemacht zu werden. Jeder Workshop in der Fortbildungsreihe startet mit einem kurzen Impulsvortrag. Danach ar- beiten die Digital Scouts in kleinen Gruppen zusammen, um eine qualitative Vernetzung der Digital Scouts zu gewährleisten, die durch eine Internet-Plattform ergänzt wird. Die Beantwortung der Frage zur Anzahl der Qualifizierungen erfolgt in der Antwort zur Frage 358. 358. Wie viele Workshops zur Qualifizierung der „Digital Scouts“ wurden seit 2017 durchgeführt? (Bitte nach Jahren aufführen, mit Teilnehmendenzahl und Bran- chen sowie regionaler Verteilung von Workshops und Teilnehmenden) Folgende Daten zu den Workshops wurden ermittelt: Zahl der Betriebe     Zahl der Beschäf- Workshops tigten 2018             56                    70                     17 2019             135                   163                    23 2020             57                    68                     32 2021             38                    47                     8 Summe            286                   348                    80 264
264

LANDTAG NORDRHEIN-WESTFALEN - 17. Wahlperiode                                  Drucksache 17/15002 In den Workshops wurden Beschäftigte und Unternehmen aus den folgenden Branchen er- reicht: •   Medien/ Werbeagentur •   Dienstleistungen •   Handwerk •   Unternehmensberatung •   Produzierendes / verarbeitendes Gewerbe •   Non-Profit-Unternehmen •   Ingenieurbüro •   Verlag •   Handel •   IT(-Beratung) •   Forschung •   Logistik •   Telekommunikation / Sonderfahrzeugbau •   Energie •   Isolierung & Chemische Baustoffe •   Elektronik •   Tanzstudio •   Beteiligungsgesellschaft Die Workshops wurden in folgenden Regionen durchgeführt: • Düsseldorf/ Kreis Mettmann • Bergisches Städtedreieck • Siegen-Wittgenstein • Märkische Region • Bonn/ Rhein-Sieg • Soest • Oberhausen • Dortmund • Bochum 359. Welchen Digitalisierungsbedarf sieht die Landesregierung bei der Industrie in Nordrhein-Westfalen? Die Digitalisierung ist bereits heute fester Bestandteil in der Industrie bei Produktionsprozes- sen, Produktportfolios und Wertschöpfungsketten. Laut einer aktuellen Studie zur Digitalisie- rung der deutschen Industrie im Auftrag des Digitalverbands Bitkom sagen 95 Prozent der Befragten, dass im Zuge der Corona-Pandemie die Digitalisierung in ihrem Unternehmen wei- ter an Bedeutung gewonnen hat. 63 Prozent geben an, dass ihnen digitale Technologien hel- fen, die Corona-Pandemie zu bewältigen. Und drei Viertel (77 Prozent) haben festgestellt, dass Unternehmen, deren Geschäftsmodell bereits digitalisiert ist, besser durch die Krise kom- men. Folglich trägt die Digitalisierung nicht nur zu Effizienzgewinnen und neuen Innovationen bei, sondern sie stärkt auch die Resilienz der Industrieunternehmen. 265
265

LANDTAG NORDRHEIN-WESTFALEN - 17. Wahlperiode                                Drucksache 17/15002 Daher bieten die während der Corona-Pandemie gemachten Erfahrungen die Chance, die weitere digitale Transformation der Unternehmen voranzutreiben. Für Nordrhein-Westfalen als Industrieland liegen die größten Chancen zur Steigerung der Leistungsfähigkeit der Unterneh- men in der zunehmenden Digitalisierung industrieller Produktionsprozesse im Sinne intelligen- ter technischer Systeme. Im Sinne der Digitalisierungsstrategie begleitet die Landesregierung die Digitalisierungsbedarfe und unterstützt neue Ideen der Industrie. 360. Von welchem Finanzbedarf für die anzustrebende Digitalisierung der Industrie geht die Landesregierung aus? Zur Beantwortung der Frage 360 wird auf die Antwort zu Frage 351 verwiesen. 361. Durch welche Förderprogramme in welcher Höhe fördert die Landesregierung die Digitalisierung der Industrie seit 2017? (Bitte nach Jahren aufführen: Gesamtför- derung, Anzahl der geförderten Betriebe, Ausschöpfungsquote per 30.6. und 31.12. eines Jahres) Zur Beantwortung der Frage 361 wird auf die Antwort zu Frage 352 verwiesen. 362. Wie viele Industrieunternehmen wurden durch Stellen des Landes in Digitalisie- rungsfragen seit 2017 beraten? (Bitte nach Jahren unter Angabe der Branchen und Beratungsgegenstände aufschlüsseln) Zur Beantwortung der Frage 362 wird auf die Antwort zu Frage 353 verwiesen. 363. Welchen Digitalisierungsbedarf sieht die Landesregierung beim Handwerk in Nordrhein-Westfalen? Aufgrund der Heterogenität des Handwerks mit seinen weit über 130 Gewerken ist es schwie- rig, eine allgemeingültige Aussage zum bereits erreichten Digitalisierungsgrad und zum noch bestehenden Digitalisierungsbedarf dieses Wirtschaftsbereichs insgesamt zu treffen. Nichts- destotrotz kann davon ausgegangen werden, dass sich die Digitalisierung im Handwerk inzwi- schen auf einem soliden Niveau bewegt. Die Auswirkungen der Corona-Pandemie haben der Digitalisierung auch im Handwerk einen zusätzlichen Schub gegeben. Bedarf besteht grund- sätzlich an institutioneller professioneller Beratung zu strategischen und operativen Potenzia- len und Möglichkeiten der Digitalisierung, unter anderem zur IT-Sicherheit, zum Datenschutz, zu Fördermöglichkeiten sowie an qualifizierten Fachkräften. 364. Von welchem Finanzbedarf für die anzustrebende Digitalisierung des Handwerks geht die Landesregierung aus? Zur Beantwortung der Frage 364 wird auf die Antwort zu Frage 351 verwiesen. 266
266

LANDTAG NORDRHEIN-WESTFALEN - 17. Wahlperiode                             Drucksache 17/15002 365. Durch welche Förderprogramme in welcher Höhe fördert die Landesregierung die Digitalisierung des Handwerks seit 2017? (Bitte nach Jahren aufführen: Gesamt- förderung, Anzahl der geförderten Betriebe, Ausschöpfungsquote per 30.6. und 31.12. eines Jahres) Eine Förderung der Digitalisierung des Handwerks durch die Landesregierung erfolgt insbe- sondere durch das Förderprojekt „Handwerk-Digital.NRW“ und den Themenschwerpunkt „Di- gitalisierung“ (Digi-BIT) im Rahmen der Förderung der Beauftragten für Innovation und Tech- nologie (BIT-Beratung). Einzelheiten sind den beiden nachfolgenden Übersichten zu entneh- men. Förderprojekt: Handwerk-Digital.NRW (2018 – 2021) 2017       2018        2019        2020        2021 Gesamtförderung       in   Tsd. 0,0        80,2        365,5       351,7       202,6 Euro Anzahl geförderte Betriebe*     k.A.       k.A.        k.A.        k.A.        k.A Ausschöpfungsquote 31.12. -          98,3 in Prozent *) Zuwendungsempfangende sind vier Konsortialpartnerinnen und -partner aus dem Handwerk (2 Handwerkskammern und 2 Fachverbände). Anzahl der geförderten Betriebe: keine Angabe möglich, da die Förderung nicht an einzelne Betriebe gerichtet ist. Förderprogramm: Förderung „Beauftragte für Innovation und Technologie (BIT), Themenschwerpunkt „Digitalisierung“ (Digi-BIT), bei den Handwerkskammern, Kreishandwerkerschaften, Innungen, Landesfach- und Landesinnungsverbände des Handwerks – Landesan- teil (seit 2019) 2017       2018        2019        2020        2021 Gesamtförderung       in   Tsd. 0,0        0,0         71,3        86,0        101,3 Euro Anzahl geförderte Beratun- -          -           753-        885         - gen Ausschöpfungsquote 31.12. -          -           72,6        98,5        - in Prozent Neben den genannten, handwerksspezifischen Förderungen haben die Handwerksbetriebe in Nordrhein-Westfalen auch Zugang zu dem auf kleine und mittlere Unternehmen (KMU) aus- gerichteten Förderprogramm „Mittelstand Innovativ & Digital“ (MID). Zu den Einzelheiten wird auf die Antwort zu Frage 350 verwiesen. 267
267

LANDTAG NORDRHEIN-WESTFALEN - 17. Wahlperiode                                Drucksache 17/15002 366. Wie viele Handwerksbetriebe wurden durch Stellen des Landes in Digitalisie- rungsfragen seit 2017 beraten? (Bitte nach Jahren unter Angabe der Branchen und Beratungsgegenstände aufschlüsseln) Durch Stellen des Landes erfolgten keine Beratungen. 367. Welche konkreten Maßnahmen zur Modernisierung der überbetrieblichen Bil- dungsstätten des Handwerks hat die Landesregierung seit 2017 mit Blick auf die Digitalisierung des Handwerks durchgeführt bzw. unterstützt? (Bitte einzeln auf- führen, mit Jahr, Maßnahmenbeschreibung und Mitteleinsatz) Daten zur Modernisierung der überbetrieblichen Bildungsstätten werden nicht differenziert nach Digitalisierungsanteilen am jeweiligen Gesamtkonzept erhoben. Es liegen Daten zur Mo- dernisierung der überbetrieblichen Bildungsstätten insgesamt vor. Seit 2017 sind aus den Mit- teln des Modernisierungspakts Berufliche Bildung Landesmittel in Höhe von 10,2 Millionen Euro für Modernisierungsmaßnahmen in den überbetrieblichen Bildungsstätten des Landes Nordrhein-Westfalen zugewiesen worden (Stand 20. Mai 2021). Diese Landesmittel ermögli- chen eine Gesamtinvestitionssumme von über 51 Mio. Euro in eine moderne, digitale Infra- struktur der überbetrieblichen Bildungsstätten in Nordrhein-Westfalen. 368. Wie viele nordrhein-westfälische Unternehmen haben seit 2018 einen „KI-Ready- ness-Check“ erhalten? (Bitte nach Jahren und Branchen differenzieren) Nordrhein-Westfalen verfügt über eine Reihe von KI-Reifegrad-Selbstchecks von unterschied- lichen Institutionen, die teilweise im Rahmen einer Bundesförderung (beispielsweise „Digital Checks“ der Mittelstand 4.0-Zentren) oder einer Landesförderung (beispielsweise „AI-Readi- ness-Checks“ von it’s OWL und dem assoziierten KI Marktplatz) ausgestaltet wurden. Darunter findet sich auch der von der Kompetenzplattform KI.NRW entwickelte Readiness- Check, der auf der Publikation „Schnellstart KI“ aufbaut. Die Publikation wurde im August 2020 veröffentlicht und bildet seitdem eine erste Heranführung an den KI-Einsatz aus KMU-Per- spektive. Inhaltlich fokussiert sich die Publikation auf Erstinformationen sowie erste relevante Fragestellungen, mit denen sich Unternehmen für den Einsatz von KI-Technologien auseinan- dersetzen sollten (Vorbereitung Readiness-Check in Form eines ersten Assessments). Bisher wurde der „Schnellstart KI“ über 60-mal heruntergeladen (Stand Juni 2021), über 100-mal in gedruckter Form verteilt sowie in zwei Workshops mit je circa 30 Teilnehmern vorgestellt. Der ReadinessCheck seitens KI.NRW ist als „KI.StatusCheck“ Teil des umfangreichen Ange- botsportfolios und wird gezielt eingesetzt, um kollaborativ den unternehmerischen Status-Quo für den erfolgreichen Einsatz von KI-Technologien im Unternehmen zu prüfen. Ganz konkret werden Informationen zu den Dimensionen Strategie, Technik, Daten, Organisation und Ent- wicklung sowie Personal abgefragt. Nach Fertigstellung im März 2021 wurden sechs Unter- nehmen dezidiert mit Hilfe des KI.StatusCheck zu eigenen KI-Einsatzpotenzialen im Rahmen eines KI-Shadowings unterstützt. Im Rahmen der Evaluierungsphase konnte abgeleitet wer- den, dass insbesondere für kleine und mittlere Unternehmen (KMU) eine entsprechende Be- gleitung und Unterstützung erforderlich ist, um Inhalte des ReadinessCheck bewerten zu kön- nen und Handlungsoptionen abzuleiten. KI.NRW plant daher ab dem 3. Quartal 2021 das in- teraktive Format einer KI-Sprechstunde. 268
268

LANDTAG NORDRHEIN-WESTFALEN - 17. Wahlperiode                               Drucksache 17/15002 369. Welche konkreten Schritte hat die Landesregierung seit 2017 zur Förderung des Games-Standortes NRW unternommen? Seit 2017 hat die Landesregierung die Mittel für die Games-Förderung verdreifacht (auf 3 Mio. Euro). Mit der neu eingeführten Produktionsförderung sorgt die Landesregierung dafür, dass Spieleentwickelnde aus Nordrhein-Westfalen gestärkt werden. Darüber hinaus hat im Rahmen des Games-Gipfel in den letzten Jahren ein Austausch der Landesregierung mit der Branche stattgefunden. Mit dem Deutschen Entwicklerpreis, der Devcom und natürlich der gamescom, der weltweit größten Messe für Computer- und Videospiele, ist Nordrhein-Westfalen der füh- rende Games-Standort in Deutschland. 370. Wie ist der aktuelle Umsetzungsstand des geplanten Games- Kompetenzzent- rums? Das Games-Kompetenzzentrum ist als Fusion Campus UG am 20. April 2021 gegründet wor- den. 371. Wer finanziert in welcher Höhe den Aufbau des Games-Kompetenzzentrums? (Bitte aufschlüsseln nach: Landesmitteln mit den entsprechenden Haushaltstiteln, Mitteln externer Gesellschafter und etwaigen weiteren Mitteln) Für den Aufbau des Games-Kompetenzzentrums sind Landesmittel in Höhe von bis zu 750.000 Euro in Kapitel 02 060 Titel 683 00 vorgesehen. Im Rahmen einer Anschubfinanzie- rung sollen der Fusion Campus UG entsprechende Landesmittel in Gestalt von Zuwendungen zur Verfügung gestellt werden. Zuwendungen sind zum gegenwärtigen Zeitpunkt noch nicht erfolgt, weswegen nach Kenntnis der Landesregierung derzeit die Gesellschafter der Fusion Campus UG (Frau Stefanie Waschk, Ubisoft Blue Byte und Herr Matthias Hocke) den Aufbau des Games-Kompetenzzentrums finanzieren. 372. Wer finanziert in welcher Höhe künftig den Betrieb des Games-Kompetenzzent- rums? (Bitte aufschlüsseln nach: Landesmitteln mit den entsprechenden Haus- haltstiteln, Mitteln externer Gesellschafter und etwaigen weiteren Mitteln) Es ist beabsichtigt, dass die Landesregierung die Fusion Campus UG auch in den Folgejahren in Gestalt von Zuwendung aus Kapitel 02 060 Titel 683 00 unterstützt. Über die genaue Höhe können schon in derzeitiger Ermangelung dahingehender Anträge keine Angaben gemacht werden. Über eine Förderung der Fusion Campus UG in Gestalt von Zuwendungen hinaus soll eine Beteiligung an deren Betrieb nicht erfolgen, insbesondere ist und wird das Land nicht Gesellschafter der Fusion Campus UG. Über die Pläne zur Finanzierung des Betriebs des Games-Kompetenzzentrums hat die Landesregierung dementsprechend keine Kenntnis. 373. Wie hat sich die Zahl der Studierenden in den für den Games-Standort NRW rele- vanten Studiengängen an öffentlichen Hochschulen seit 2017 entwickelt? (Bitte differenzieren nach einzelnen Studiengängen und Semestern) Aus der Anfrage ergibt sich keine Definition, welche Studiengänge für den Games-Standort Nordrhein-Westfalen als relevant angesehen werden. Eine klare Abgrenzung von für die 269
269

LANDTAG NORDRHEIN-WESTFALEN - 17. Wahlperiode                               Drucksache 17/15002 Gaming-Branche relevanten Studiengängen ist mithin schwierig. Eine Vielzahl von verschie- denen akademischen Qualifikationen werden von Spieleentwickelnden gesucht. Dazu gehö- ren neben der klassischen Informatik auch Qualifikationen aus den Bereichen Neue Medien, Grafikdesign/Kommunikationsgestaltung und Medieninformatik. Im Wintersemester 2019/20 belegten knapp über 51.000 Studierende an den öffentlichen Hochschulen Studiengänge, die nach Auffassung des Ministeriums für Kultur und Wissenschaft des Landes Nordrhein-West- falen für den Games-Standort NRW relevant sind (siehe Anlage Tabelle zu Frage 373). Die Entwicklung im Zeitverlauf der vergangenen Semester zeigt dabei einen leichten Anstieg. Anlage: Tabelle zu Frage 373 374. Wie hat sich die Zahl der Studienabschlüsse in den für den Games-Standort NRW relevanten Studiengängen an öffentlichen Hochschulen seit 2017 entwickelt? (Bitte differenzieren nach einzelnen Studiengängen und Semestern sowie nach Bachelor- und Masterabschlüssen) Im Prüfungsjahr 2019 wurden circa 3.700 Prüfungen in für den Games-Standort Nordrhein- Westfalen relevanten Studiengängen an öffentlichen Hochschulen in Nordrhein-Westfalen ab- gelegt (siehe Anlage Tabelle zu Frage 374). Ebenso wie bei den Studierenden ist im Vergleich zu 2017 ein Anstieg der Zahlen zu erkennen. Anlage: Tabelle zu Frage 374 375. Wie hat sich die Zahl des hauptberuflichen wissenschaftlichen Personals in den für den Games-Standort NRW relevanten Studiengängen an öffentlichen Hoch- schulen seit 2017 entwickelt? (Bitte differenzieren entsprechend der öffentlichen Statistiken nach Professuren, Dozenten- und Assistentenstellen, Stellen für wis- senschaftliche Mitarbeiterinnen und Mitarbeiter sowie Lehrkräfte für besondere Aufgaben jeweils in Köpfe und Vollzeitäquivalente und differenzieren nach einzel- nen Studiengängen und Semestern) Die Frage nach der Zahl des hauptberuflichen wissenschaftlichen Personals in den für den Games-Standort Nordrhein-Westfalen relevanten Studiengängen an öffentlichen Hochschulen lässt sich nicht beantworten. Das wissenschaftliche Personal ist nicht bestimmten Studiengän- gen zugeordnet, sondern in Fachbereichen und Fakultäten organisiert, die eine Vielzahl von Studiengängen mit einem Lehrangebot versorgen. Dabei gibt es in der Lehrnachfrage eine Vielzahl von Überschneidungen, sowohl fachbereichsintern, als auch fachbereichsübergrei- fend, da die Lehrveranstaltungen von Studierenden aus unterschiedlichen Studiengängen be- sucht werden. 376. Welchen Umsetzungsstand hat das Vorhaben, E-Sport organisatorisch und gesell- schaftlich stärker mit dem traditionellen Sport zu verbinden und die Aufnahme von E-Sport in die Abgabenordnung des Bundes voranzutreiben? Die Fragen 376 und 377 werden im Folgenden gemeinsam beantwortet. E-Sport spielt am Games-Standort Nordrhein-Westfalen eine herausragende Rolle und er- reicht immer größere Kreise der Gesellschaft in unserem Land. So ist unter anderem die ESL 270
270

Zur nächsten Seite