Straftaten mit legalen und illegalen Waffen: Auf welcher Grundlage wird das Waffenrecht verschärft?

/ 1176
PDF herunterladen
Art der Schusswaffe                                                             31.12.2019 Maschinengewehr                                                                          0 Maschinenpistole                                                                         5 vollautomatische Langwaffe                                                               0 halbautomatische Langwaffe                                                               0 Granatpistole                                                                            0 vollautomatische Kurzwaffe                                                               0 sonstige vollautomatische Schusswaffe getarnte Schusswaffe                                                                     0 sonstige verbotene Schusswaffe                                                           1 halbautomatische Pistole                                                              3850 kurze halbautomatische Büchse                                                            0 kurze halbautomatische Flinte                                                            1 Revolver                                                                              2133 Perkussions-Revolver                                                                   158 Zündnadel-Revolver                                                                       0 Repetier-Pistole                                                                         4 kurze Repetierbüchse                                                                     0 Revolverbüchse                                                                           2 kurze Repetierflinte                                                                     0 Revolverflinte                                                                           0 Repetier-Bockbüchsflinte                                                                 1 Einzellader-Pistole                                                                    112 Signalpistole                                                                          113 kurze Einzellader-Büchse                                                                 1 kurze Einzellader-Flinte                                                                 0 kurze kombinierte Waffe                                                                  0 sonstige Einzelladerwaffe für Zentralfeuermunition                                       0 kurze Einzellader Pistole                                                                2 sonstige Einzelladerwaffe für Randfeuermunition                                          0 halbautomatische Büchse                                                                577 Repetierbüchse                                                                        6633 Vorderschaftrepetierbüchse                                                               6 Unterhebelrepetierbüchse                                                               253 Repetierflinte                                                                          78 Vorderschaftrepetierflinte                                                              99 Unterhebelrepetierflinte                                                                 0 halbautomatische Flinte                                                                161 halbautomatische Pistole, Aussehen wie KWKG-Waffe                                        0 halbautomatische Büchse, Aussehen wie KWKG-Waffe                                         0 halbautomatische Flinte, Aussehen wie KWKG-Waffe                                         0 Bockbüchsflinte                                                                        862 Drilling                                                                               853 Vierling                                                                                 4 Zündnadel-Büchse                                                                         0 Perkussions-Büchse                                                                       9 Perkussions-Doppelbüchse                                                                 2 Perkussions-Bockdoppelbüchse                                                             0 Perkussions-Büchsflinte                                                                  0 Perkussions-Bockbüchsflinte                                                              0 Perkussions-Drilling                                                                     0 Stein-/ Radschloss-Büchse                                                                2 Stein-/ Radschloss-Doppelbüchse                                                          0 Stein-/ Radschloss-Bockdoppelbüchse                                                      0 Luntenschloss-Büchse (gezogener Lauf)                                                    0 Druckluft-/CO2-Gewehr (erlaubnispflichtig)                                             162 Druckluft-/CO2-Gewehr mit "F im Fünfeck" (erlaubnisfrei)                                 2 Druckluft-/CO2-Gewehr ohne "F im Fünfeck" (erlaubnisfrei)                                1 halbautomatische Büchse (fest eingebautes Magazin <= 2 Patronen)                        37 halbautomatische Flinte (fest eingebautes Magazin <= 2 Patronen und Lauflänge > 60cm)                                                                                   15 Einzellader Büchse                                                                    1982 Doppelbüchse                                                                            34 Bockdoppelbüchse                                                                        90 Einzellader Flinte                                                                     182 Doppelflinte                                                                          1356 Bockdoppelflinte                                                                      1578 Schrotdrilling                                                                           0
241

Zündnadel-Flinte                                                                    0 Zündnadel-Doppelflinte                                                              0 Perkussions-Flinte                                                                  4 Perkussions-Doppelflinte                                                            3 Perkussions-Bockdoppelflinte                                                        0 Stein-/ Radschloss-Flinte                                                           1 Luntenschloss-Büchse (glatter Lauf)                                                 0 Druckluft-/ Federdruck-/ CO2-Kurzwaffe (erlaubnispflichtig)                        18 Druckluft-/ Federdruck-/ CO2-Kurzwaffe mit "F im Fünfeck" (erlaubnisfrei)           3 Druckluft-/ Federdruck-/ CO2-Kurzwaffe ohne "F im Fünfeck" (erlaubnisfrei)          0 Zündnadel-Pistole                                                                   0 Perkussions-Pistole                                                                 2 Steinschloss-Pistole                                                                4 Steinschloss-Revolver                                                               0 Schreckschuss-, Reizstoff- und Signalwaffe mit "PTB im Kreis"                       6 Salutgewehr mit "Zulassungszeichen in der Raute"                                    0 Modellkanone                                                                        0 sonstige erlaubnispflichtige Waffe                                                 18 sonstige erlaubnisfreie Waffe                                                      23 Büchsflinte                                                                        25 mehrläufige Repetierbüchse                                                          0 halbautomatische Bockbüchsflinte                                                    0 Signalgewehr                                                                        0 Erstanlieferung und Teilanlieferung                                                 0 Kreispolizeibehörde Oberhausen (Regierungsbezirk Düsseldorf) Art der Schusswaffe                                                        31.12.2019 Maschinengewehr                                                                     0 Maschinenpistole                                                                    0 vollautomatische Langwaffe                                                          0 halbautomatische Langwaffe                                                          0 Granatpistole                                                                       0 vollautomatische Kurzwaffe                                                          0 sonstige vollautomatische Schusswaffe                                               0 getarnte Schusswaffe                                                                0 sonstige verbotene Schusswaffe                                                      0 halbautomatische Pistole                                                         1525 kurze halbautomatische Büchse                                                       1 kurze halbautomatische Flinte                                                       0 Revolver                                                                         1141 Perkussions-Revolver                                                              142 Zündnadel-Revolver                                                                  0 Repetier-Pistole                                                                    3 kurze Repetierbüchse                                                                0 Revolverbüchse                                                                      1 kurze Repetierflinte                                                                0 Revolverflinte                                                                      0 Repetier-Bockbüchsflinte                                                            1 Einzellader-Pistole                                                                17 Signalpistole                                                                      20 kurze Einzellader-Büchse                                                            0 kurze Einzellader-Flinte                                                            0 kurze kombinierte Waffe                                                             0 sonstige Einzelladerwaffe für Zentralfeuermunition                                  0 kurze Einzellader Pistole                                                          17 sonstige Einzelladerwaffe für Randfeuermunition                                     0 halbautomatische Büchse                                                           340 Repetierbüchse                                                                   1838 Vorderschaftrepetierbüchse                                                          4 Unterhebelrepetierbüchse                                                          146 Repetierflinte                                                                     40 Vorderschaftrepetierflinte                                                         45 Unterhebelrepetierflinte                                                            1 halbautomatische Flinte                                                            52 halbautomatische Pistole, Aussehen wie KWKG-Waffe                                   0 halbautomatische Büchse, Aussehen wie KWKG-Waffe                                    0 halbautomatische Flinte, Aussehen wie KWKG-Waffe                                    0
242

Bockbüchsflinte                                                                        219 Drilling                                                                               172 Vierling                                                                                 0 Zündnadel-Büchse                                                                         0 Perkussions-Büchse                                                                       5 Perkussions-Doppelbüchse                                                                 0 Perkussions-Bockdoppelbüchse                                                             0 Perkussions-Büchsflinte                                                                  0 Perkussions-Bockbüchsflinte                                                              0 Perkussions-Drilling                                                                     0 Stein-/ Radschloss-Büchse                                                                0 Stein-/ Radschloss-Doppelbüchse                                                          0 Stein-/ Radschloss-Bockdoppelbüchse                                                      0 Luntenschloss-Büchse (gezogener Lauf)                                                    0 Druckluft-/CO2-Gewehr (erlaubnispflichtig)                                              60 Druckluft-/CO2-Gewehr mit "F im Fünfeck" (erlaubnisfrei)                                 1 Druckluft-/CO2-Gewehr ohne "F im Fünfeck" (erlaubnisfrei)                                3 halbautomatische Büchse (fest eingebautes Magazin <= 2 Patronen)                         2 halbautomatische Flinte (fest eingebautes Magazin <= 2 Patronen und Lauflänge > 60cm)                                                                                    6 Einzellader Büchse                                                                     567 Doppelbüchse                                                                            13 Bockdoppelbüchse                                                                        40 Einzellader Flinte                                                                     123 Doppelflinte                                                                           287 Bockdoppelflinte                                                                       533 Schrotdrilling                                                                           1 Zündnadel-Flinte                                                                         0 Zündnadel-Doppelflinte                                                                   0 Perkussions-Flinte                                                                       1 Perkussions-Doppelflinte                                                                 2 Perkussions-Bockdoppelflinte                                                             1 Stein-/ Radschloss-Flinte                                                                0 Luntenschloss-Büchse (glatter Lauf)                                                      0 Druckluft-/ Federdruck-/ CO2-Kurzwaffe (erlaubnispflichtig)                              3 Druckluft-/ Federdruck-/ CO2-Kurzwaffe mit "F im Fünfeck" (erlaubnisfrei)                0 Druckluft-/ Federdruck-/ CO2-Kurzwaffe ohne "F im Fünfeck" (erlaubnisfrei)               0 Zündnadel-Pistole                                                                        0 Perkussions-Pistole                                                                      2 Steinschloss-Pistole                                                                     0 Steinschloss-Revolver                                                                    0 Schreckschuss-, Reizstoff- und Signalwaffe mit "PTB im Kreis"                            0 Salutgewehr mit "Zulassungszeichen in der Raute"                                         0 Modellkanone                                                                             0 sonstige erlaubnispflichtige Waffe                                                       1 sonstige erlaubnisfreie Waffe                                                            0 Büchsflinte                                                                              4 mehrläufige Repetierbüchse                                                               0 halbautomatische Bockbüchsflinte                                                         0 Signalgewehr                                                                             0 Erstanlieferung und Teilanlieferung                                                      0 Kreispolizeibehörde Olpe (Regierungsbezirk Arnsberg) Art der Schusswaffe                                                             31.12.2019 Maschinengewehr Maschinenpistole vollautomatische Langwaffe halbautomatische Langwaffe Granatpistole vollautomatische Kurzwaffe sonstige vollautomatische Schusswaffe getarnte Schusswaffe sonstige verbotene Schusswaffe halbautomatische Pistole                                                              1914 kurze halbautomatische Büchse kurze halbautomatische Flinte Revolver                                                                              1037
243

Perkussions-Revolver                                                              40 Zündnadel-Revolver Repetier-Pistole                                                                   1 kurze Repetierbüchse                                                               1 Revolverbüchse                                                                     2 kurze Repetierflinte Revolverflinte                                                                     2 Repetier-Bockbüchsflinte Einzellader-Pistole                                                               15 Signalpistole                                                                     35 kurze Einzellader-Büchse kurze Einzellader-Flinte kurze kombinierte Waffe sonstige Einzelladerwaffe für Zentralfeuermunition kurze Einzellader Pistole                                                          2 sonstige Einzelladerwaffe für Randfeuermunition halbautomatische Büchse                                                          395 Repetierbüchse                                                                  5196 Vorderschaftrepetierbüchse                                                        31 Unterhebelrepetierbüchse                                                         123 Repetierflinte                                                                    12 Vorderschaftrepetierflinte                                                         1 Unterhebelrepetierflinte                                                          98 halbautomatische Flinte halbautomatische Pistole, Aussehen wie KWKG-Waffe halbautomatische Büchse, Aussehen wie KWKG-Waffe halbautomatische Flinte, Aussehen wie KWKG-Waffe Bockbüchsflinte Drilling Vierling Zündnadel-Büchse Perkussions-Büchse Perkussions-Doppelbüchse Perkussions-Bockdoppelbüchse Perkussions-Büchsflinte Perkussions-Bockbüchsflinte Perkussions-Drilling Stein-/ Radschloss-Büchse Stein-/ Radschloss-Doppelbüchse Stein-/ Radschloss-Bockdoppelbüchse Luntenschloss-Büchse (gezogener Lauf) Druckluft-/CO2-Gewehr (erlaubnispflichtig)                                        89 Druckluft-/CO2-Gewehr mit "F im Fünfeck" (erlaubnisfrei) Druckluft-/CO2-Gewehr ohne "F im Fünfeck" (erlaubnisfrei)                          1 halbautomatische Büchse (fest eingebautes Magazin <= 2 Patronen)                  45 halbautomatische Flinte (fest eingebautes Magazin <= 2 Patronen und Lauflänge > 60cm)                                                                             34 Einzellader Büchse                                                               509 Doppelbüchse                                                                      46 Bockdoppelbüchse                                                                  82 Einzellader Flinte                                                               450 Doppelflinte                                                                     916 Bockdoppelflinte                                                                1128 Schrotdrilling Zündnadel-Flinte Zündnadel-Doppelflinte Perkussions-Flinte                                                                 1 Perkussions-Doppelflinte                                                           1 Perkussions-Bockdoppelflinte Stein-/ Radschloss-Flinte Luntenschloss-Büchse (glatter Lauf) Druckluft-/ Federdruck-/ CO2-Kurzwaffe (erlaubnispflichtig)                       12 Druckluft-/ Federdruck-/ CO2-Kurzwaffe mit "F im Fünfeck" (erlaubnisfrei) Druckluft-/ Federdruck-/ CO2-Kurzwaffe ohne "F im Fünfeck" (erlaubnisfrei) Zündnadel-Pistole Perkussions-Pistole                                                                1 Steinschloss-Pistole Steinschloss-Revolver
244

Schreckschuss-, Reizstoff- und Signalwaffe mit "PTB im Kreis" Salutgewehr mit "Zulassungszeichen in der Raute" Modellkanone sonstige erlaubnispflichtige Waffe                                    14 sonstige erlaubnisfreie Waffe Büchsflinte                                                           43 mehrläufige Repetierbüchse halbautomatische Bockbüchsflinte Signalgewehr Erstanlieferung und Teilanlieferung                                    1 Kreispolizeibehörde Paderborn (Regierungsbezirk Detmold) Art der Schusswaffe                                           31.12.2019 Maschinengewehr Maschinenpistole vollautomatische Langwaffe halbautomatische Langwaffe                                             5 Granatpistole vollautomatische Kurzwaffe sonstige vollautomatische Schusswaffe getarnte Schusswaffe sonstige verbotene Schusswaffe halbautomatische Pistole                                            2951 kurze halbautomatische Büchse                                          1 kurze halbautomatische Flinte Revolver                                                            1895 Perkussions-Revolver                                                 158 Zündnadel-Revolver Repetier-Pistole kurze Repetierbüchse                                                   3 Revolverbüchse kurze Repetierflinte Revolverflinte Repetier-Bockbüchsflinte                                               5 Einzellader-Pistole                                                   40 Signalpistole                                                         55 kurze Einzellader-Büchse kurze Einzellader-Flinte kurze kombinierte Waffe sonstige Einzelladerwaffe für Zentralfeuermunition                     1 kurze Einzellader Pistole                                             13 sonstige Einzelladerwaffe für Randfeuermunition halbautomatische Büchse                                              575 Repetierbüchse                                                      5934 Vorderschaftrepetierbüchse                                             7 Unterhebelrepetierbüchse                                              77 Repetierflinte                                                        49 Vorderschaftrepetierflinte                                            51 Unterhebelrepetierflinte halbautomatische Flinte                                              187 halbautomatische Pistole, Aussehen wie KWKG-Waffe                      3 halbautomatische Büchse, Aussehen wie KWKG-Waffe                       9 halbautomatische Flinte, Aussehen wie KWKG-Waffe Bockbüchsflinte                                                      680 Drilling                                                             679 Vierling Zündnadel-Büchse Perkussions-Büchse                                                     2 Perkussions-Doppelbüchse Perkussions-Bockdoppelbüchse Perkussions-Büchsflinte Perkussions-Bockbüchsflinte Perkussions-Drilling Stein-/ Radschloss-Büchse Stein-/ Radschloss-Doppelbüchse Stein-/ Radschloss-Bockdoppelbüchse Luntenschloss-Büchse (gezogener Lauf)
245

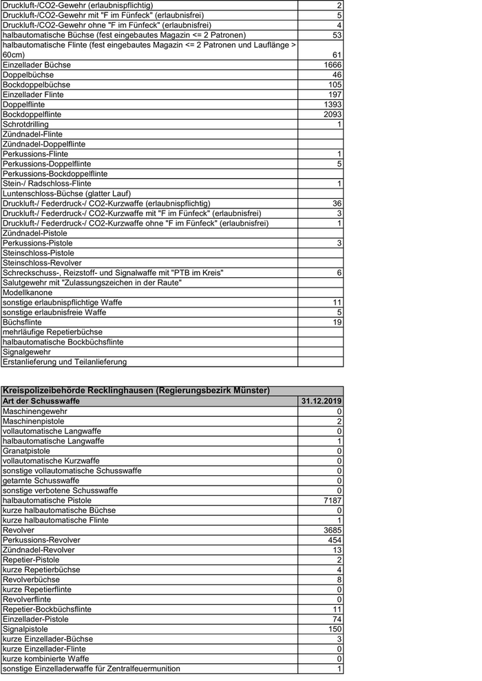
Druckluft-/CO2-Gewehr (erlaubnispflichtig)                                               2 Druckluft-/CO2-Gewehr mit "F im Fünfeck" (erlaubnisfrei)                                 5 Druckluft-/CO2-Gewehr ohne "F im Fünfeck" (erlaubnisfrei)                                4 halbautomatische Büchse (fest eingebautes Magazin <= 2 Patronen)                        53 halbautomatische Flinte (fest eingebautes Magazin <= 2 Patronen und Lauflänge > 60cm)                                                                                   61 Einzellader Büchse                                                                    1666 Doppelbüchse                                                                            46 Bockdoppelbüchse                                                                       105 Einzellader Flinte                                                                     197 Doppelflinte                                                                          1393 Bockdoppelflinte                                                                      2093 Schrotdrilling                                                                           1 Zündnadel-Flinte Zündnadel-Doppelflinte Perkussions-Flinte                                                                       1 Perkussions-Doppelflinte                                                                 5 Perkussions-Bockdoppelflinte Stein-/ Radschloss-Flinte                                                                1 Luntenschloss-Büchse (glatter Lauf) Druckluft-/ Federdruck-/ CO2-Kurzwaffe (erlaubnispflichtig)                             36 Druckluft-/ Federdruck-/ CO2-Kurzwaffe mit "F im Fünfeck" (erlaubnisfrei)                3 Druckluft-/ Federdruck-/ CO2-Kurzwaffe ohne "F im Fünfeck" (erlaubnisfrei)               1 Zündnadel-Pistole Perkussions-Pistole                                                                      3 Steinschloss-Pistole Steinschloss-Revolver Schreckschuss-, Reizstoff- und Signalwaffe mit "PTB im Kreis"                            6 Salutgewehr mit "Zulassungszeichen in der Raute" Modellkanone sonstige erlaubnispflichtige Waffe                                                      11 sonstige erlaubnisfreie Waffe                                                            5 Büchsflinte                                                                             19 mehrläufige Repetierbüchse halbautomatische Bockbüchsflinte Signalgewehr Erstanlieferung und Teilanlieferung Kreispolizeibehörde Recklinghausen (Regierungsbezirk Münster) Art der Schusswaffe                                                             31.12.2019 Maschinengewehr                                                                          0 Maschinenpistole                                                                         2 vollautomatische Langwaffe                                                               0 halbautomatische Langwaffe                                                               1 Granatpistole                                                                            0 vollautomatische Kurzwaffe                                                               0 sonstige vollautomatische Schusswaffe                                                    0 getarnte Schusswaffe                                                                     0 sonstige verbotene Schusswaffe                                                           0 halbautomatische Pistole                                                              7187 kurze halbautomatische Büchse                                                            0 kurze halbautomatische Flinte                                                            1 Revolver                                                                              3685 Perkussions-Revolver                                                                   454 Zündnadel-Revolver                                                                      13 Repetier-Pistole                                                                         2 kurze Repetierbüchse                                                                     4 Revolverbüchse                                                                           8 kurze Repetierflinte                                                                     0 Revolverflinte                                                                           0 Repetier-Bockbüchsflinte                                                                11 Einzellader-Pistole                                                                     74 Signalpistole                                                                          150 kurze Einzellader-Büchse                                                                 3 kurze Einzellader-Flinte                                                                 0 kurze kombinierte Waffe                                                                  0 sonstige Einzelladerwaffe für Zentralfeuermunition                                       1
246

kurze Einzellader Pistole                                                               23 sonstige Einzelladerwaffe für Randfeuermunition                                          0 halbautomatische Büchse                                                               1051 Repetierbüchse                                                                       11100 Vorderschaftrepetierbüchse                                                              13 Unterhebelrepetierbüchse                                                               451 Repetierflinte                                                                         105 Vorderschaftrepetierflinte                                                             205 Unterhebelrepetierflinte                                                                 2 halbautomatische Flinte                                                                422 halbautomatische Pistole, Aussehen wie KWKG-Waffe                                        8 halbautomatische Büchse, Aussehen wie KWKG-Waffe                                        40 halbautomatische Flinte, Aussehen wie KWKG-Waffe                                         2 Bockbüchsflinte                                                                       1173 Drilling                                                                              1063 Vierling                                                                                 1 Zündnadel-Büchse                                                                         0 Perkussions-Büchse                                                                       4 Perkussions-Doppelbüchse                                                                 0 Perkussions-Bockdoppelbüchse                                                             0 Perkussions-Büchsflinte                                                                  0 Perkussions-Bockbüchsflinte                                                              0 Perkussions-Drilling                                                                     0 Stein-/ Radschloss-Büchse                                                                0 Stein-/ Radschloss-Doppelbüchse                                                          0 Stein-/ Radschloss-Bockdoppelbüchse                                                      0 Luntenschloss-Büchse (gezogener Lauf)                                                    0 Druckluft-/CO2-Gewehr (erlaubnispflichtig)                                             336 Druckluft-/CO2-Gewehr mit "F im Fünfeck" (erlaubnisfrei)                                 0 Druckluft-/CO2-Gewehr ohne "F im Fünfeck" (erlaubnisfrei)                                5 halbautomatische Büchse (fest eingebautes Magazin <= 2 Patronen)                        26 halbautomatische Flinte (fest eingebautes Magazin <= 2 Patronen und Lauflänge > 60cm)                                                                                   54 Einzellader Büchse                                                                    1637 Doppelbüchse                                                                            80 Bockdoppelbüchse                                                                       161 Einzellader Flinte                                                                    1094 Doppelflinte                                                                          1808 Bockdoppelflinte                                                                      3452 Schrotdrilling                                                                           0 Zündnadel-Flinte                                                                         2 Zündnadel-Doppelflinte                                                                   3 Perkussions-Flinte                                                                       2 Perkussions-Doppelflinte                                                                 9 Perkussions-Bockdoppelflinte                                                             0 Stein-/ Radschloss-Flinte                                                                1 Luntenschloss-Büchse (glatter Lauf) Druckluft-/ Federdruck-/ CO2-Kurzwaffe (erlaubnispflichtig)                             26 Druckluft-/ Federdruck-/ CO2-Kurzwaffe mit "F im Fünfeck" (erlaubnisfrei)                0 Druckluft-/ Federdruck-/ CO2-Kurzwaffe ohne "F im Fünfeck" (erlaubnisfrei)               0 Zündnadel-Pistole                                                                        4 Perkussions-Pistole                                                                      8 Steinschloss-Pistole                                                                     0 Steinschloss-Revolver                                                                    0 Schreckschuss-, Reizstoff- und Signalwaffe mit "PTB im Kreis"                            0 Salutgewehr mit "Zulassungszeichen in der Raute"                                         0 Modellkanone                                                                             0 sonstige erlaubnispflichtige Waffe                                                      35 sonstige erlaubnisfreie Waffe                                                            4 Büchsflinte                                                                             68 mehrläufige Repetierbüchse                                                               0 halbautomatische Bockbüchsflinte                                                         0 Signalgewehr                                                                             0 Erstanlieferung und Teilanlieferung                                                      0 Kreispolizeibehörde Rhein-Erft-Kreis (Regierungsbezirk Köln) Art der Schusswaffe                                                             31.12.2019
247

Maschinengewehr                                                                    2 Maschinenpistole                                                                   4 vollautomatische Langwaffe                                                         4 halbautomatische Langwaffe                                                         3 Granatpistole                                                                      0 vollautomatische Kurzwaffe                                                         0 sonstige vollautomatische Schusswaffe                                              0 getarnte Schusswaffe                                                               0 sonstige verbotene Schusswaffe                                                     3 halbautomatische Pistole                                                        4759 kurze halbautomatische Büchse                                                      1 kurze halbautomatische Flinte                                                      0 Revolver                                                                        2624 Perkussions-Revolver                                                             411 Zündnadel-Revolver                                                                 0 Repetier-Pistole                                                                  70 kurze Repetierbüchse                                                               2 Revolverbüchse                                                                     4 kurze Repetierflinte                                                               0 Revolverflinte                                                                     0 Repetier-Bockbüchsflinte                                                           0 Einzellader-Pistole                                                              105 Signalpistole                                                                    753 kurze Einzellader-Büchse                                                           0 kurze Einzellader-Flinte                                                           1 kurze kombinierte Waffe                                                            0 sonstige Einzelladerwaffe für Zentralfeuermunition                                 0 kurze Einzellader Pistole                                                         26 sonstige Einzelladerwaffe für Randfeuermunition                                    2 halbautomatische Büchse                                                          827 Repetierbüchse                                                                  6083 Vorderschaftrepetierbüchse                                                        13 Unterhebelrepetierbüchse                                                         376 Repetierflinte                                                                    80 Vorderschaftrepetierflinte                                                       132 Unterhebelrepetierflinte                                                           1 halbautomatische Flinte                                                          161 halbautomatische Pistole, Aussehen wie KWKG-Waffe                                  1 halbautomatische Büchse, Aussehen wie KWKG-Waffe                                   1 halbautomatische Flinte, Aussehen wie KWKG-Waffe                                   2 Bockbüchsflinte                                                                  655 Drilling                                                                         723 Vierling                                                                           8 Zündnadel-Büchse                                                                   0 Perkussions-Büchse                                                                 7 Perkussions-Doppelbüchse                                                           1 Perkussions-Bockdoppelbüchse                                                       0 Perkussions-Büchsflinte                                                            0 Perkussions-Bockbüchsflinte                                                        0 Perkussions-Drilling                                                               0 Stein-/ Radschloss-Büchse                                                          2 Stein-/ Radschloss-Doppelbüchse                                                    0 Stein-/ Radschloss-Bockdoppelbüchse                                                0 Luntenschloss-Büchse (gezogener Lauf)                                              0 Druckluft-/CO2-Gewehr (erlaubnispflichtig)                                       154 Druckluft-/CO2-Gewehr mit "F im Fünfeck" (erlaubnisfrei)                          18 Druckluft-/CO2-Gewehr ohne "F im Fünfeck" (erlaubnisfrei)                         34 halbautomatische Büchse (fest eingebautes Magazin <= 2 Patronen)                  20 halbautomatische Flinte (fest eingebautes Magazin <= 2 Patronen und Lauflänge > 60cm)                                                                             61 Einzellader Büchse                                                              2254 Doppelbüchse                                                                      54 Bockdoppelbüchse                                                                 111 Einzellader Flinte                                                               225 Doppelflinte                                                                    1076 Bockdoppelflinte                                                                2071 Schrotdrilling                                                                     2 Zündnadel-Flinte                                                                   0
248

Zündnadel-Doppelflinte                                                              0 Perkussions-Flinte                                                                  2 Perkussions-Doppelflinte                                                           10 Perkussions-Bockdoppelflinte                                                        0 Stein-/ Radschloss-Flinte                                                           0 Luntenschloss-Büchse (glatter Lauf)                                                 0 Druckluft-/ Federdruck-/ CO2-Kurzwaffe (erlaubnispflichtig)                         6 Druckluft-/ Federdruck-/ CO2-Kurzwaffe mit "F im Fünfeck" (erlaubnisfrei)           6 Druckluft-/ Federdruck-/ CO2-Kurzwaffe ohne "F im Fünfeck" (erlaubnisfrei)         16 Zündnadel-Pistole                                                                   0 Perkussions-Pistole                                                                11 Steinschloss-Pistole                                                                2 Steinschloss-Revolver                                                               0 Schreckschuss-, Reizstoff- und Signalwaffe mit "PTB im Kreis"                       7 Salutgewehr mit "Zulassungszeichen in der Raute"                                    0 Modellkanone                                                                        0 sonstige erlaubnispflichtige Waffe                                                 69 sonstige erlaubnisfreie Waffe                                                       2 Büchsflinte                                                                        35 mehrläufige Repetierbüchse                                                          0 halbautomatische Bockbüchsflinte                                                    0 Signalgewehr                                                                        0 Erstanlieferung und Teilanlieferung                                                14 Kreispolizeibehörde Rheinisch-Bergischer-Kreis (Regierungsbezirk Köln) Art der Schusswaffe                                                        31.12.2019 Maschinengewehr Maschinenpistole                                                                    3 vollautomatische Langwaffe                                                          1 halbautomatische Langwaffe                                                          2 Granatpistole vollautomatische Kurzwaffe sonstige vollautomatische Schusswaffe getarnte Schusswaffe sonstige verbotene Schusswaffe halbautomatische Pistole                                                         3771 kurze halbautomatische Büchse                                                       1 kurze halbautomatische Flinte Revolver                                                                         2170 Perkussions-Revolver                                                              167 Zündnadel-Revolver Repetier-Pistole                                                                    3 kurze Repetierbüchse                                                                2 Revolverbüchse                                                                      4 kurze Repetierflinte Revolverflinte                                                                      1 Repetier-Bockbüchsflinte                                                            4 Einzellader-Pistole                                                                55 Signalpistole                                                                      93 kurze Einzellader-Büchse kurze Einzellader-Flinte kurze kombinierte Waffe sonstige Einzelladerwaffe für Zentralfeuermunition kurze Einzellader Pistole                                                          18 sonstige Einzelladerwaffe für Randfeuermunition                                     1 halbautomatische Büchse                                                           536 Repetierbüchse                                                                   5583 Vorderschaftrepetierbüchse                                                         10 Unterhebelrepetierbüchse                                                          192 Repetierflinte                                                                    119 Vorderschaftrepetierflinte                                                         51 Unterhebelrepetierflinte                                                            1 halbautomatische Flinte                                                           118 halbautomatische Pistole, Aussehen wie KWKG-Waffe halbautomatische Büchse, Aussehen wie KWKG-Waffe halbautomatische Flinte, Aussehen wie KWKG-Waffe Bockbüchsflinte                                                                   613
249

Drilling                                                                               743 Vierling                                                                                 2 Zündnadel-Büchse                                                                         1 Perkussions-Büchse                                                                       7 Perkussions-Doppelbüchse Perkussions-Bockdoppelbüchse Perkussions-Büchsflinte Perkussions-Bockbüchsflinte                                                              1 Perkussions-Drilling Stein-/ Radschloss-Büchse Stein-/ Radschloss-Doppelbüchse Stein-/ Radschloss-Bockdoppelbüchse Luntenschloss-Büchse (gezogener Lauf) Druckluft-/CO2-Gewehr (erlaubnispflichtig)                                             146 Druckluft-/CO2-Gewehr mit "F im Fünfeck" (erlaubnisfrei)                                 4 Druckluft-/CO2-Gewehr ohne "F im Fünfeck" (erlaubnisfrei)                                2 halbautomatische Büchse (fest eingebautes Magazin <= 2 Patronen)                        15 halbautomatische Flinte (fest eingebautes Magazin <= 2 Patronen und Lauflänge > 60cm)                                                                                    9 Einzellader Büchse                                                                     635 Doppelbüchse                                                                            30 Bockdoppelbüchse                                                                        82 Einzellader Flinte                                                                     132 Doppelflinte                                                                          1109 Bockdoppelflinte                                                                      1383 Schrotdrilling Zündnadel-Flinte Zündnadel-Doppelflinte Perkussions-Flinte                                                                       1 Perkussions-Doppelflinte                                                                 4 Perkussions-Bockdoppelflinte Stein-/ Radschloss-Flinte Luntenschloss-Büchse (glatter Lauf) Druckluft-/ Federdruck-/ CO2-Kurzwaffe (erlaubnispflichtig)                             13 Druckluft-/ Federdruck-/ CO2-Kurzwaffe mit "F im Fünfeck" (erlaubnisfrei) Druckluft-/ Federdruck-/ CO2-Kurzwaffe ohne "F im Fünfeck" (erlaubnisfrei) Zündnadel-Pistole Perkussions-Pistole                                                                     13 Steinschloss-Pistole Steinschloss-Revolver Schreckschuss-, Reizstoff- und Signalwaffe mit "PTB im Kreis"                           25 Salutgewehr mit "Zulassungszeichen in der Raute" Modellkanone sonstige erlaubnispflichtige Waffe                                                      39 sonstige erlaubnisfreie Waffe                                                            2 Büchsflinte                                                                             56 mehrläufige Repetierbüchse halbautomatische Bockbüchsflinte Signalgewehr Erstanlieferung und Teilanlieferung                                                      2 Kreispolizeibehörde Rhein-Kreis-Neuss (Regierungsbezirk Düsseldorf) Art der Schusswaffe                                                             31.12.2019 Maschinengewehr Maschinenpistole vollautomatische Langwaffe halbautomatische Langwaffe Granatpistole vollautomatische Kurzwaffe                                                               1 sonstige vollautomatische Schusswaffe getarnte Schusswaffe sonstige verbotene Schusswaffe halbautomatische Pistole                                                              6138 kurze halbautomatische Büchse                                                            1 kurze halbautomatische Flinte Revolver                                                                              3350 Perkussions-Revolver                                                                   374 Zündnadel-Revolver
250

Zur nächsten Seite