Wann öffnen und schließen die Kitas aktuell in Nordrhein-Westfalen?

/ 20
PDF herunterladen
KA 6511                                                         Schließzeiten Kindertageseinrichtungen im Kindergartenjahr 2020/2021 Anlage 2 Jugendamt 13:15 13:30 13:45 14:00 14:15 14:30 14:45 15:00 15:15 15:30 15:45 16:00 16:15 16:30 16:45 17:00 17:15 17:30 17:45 18:00 18:15 18:30 19:00 20:00 20:30 21:00 22:00 23:59 Gesamtergebnis Wesseling                                                     1                       4    11     4            4                                                                                    24 Wetter                                      1     2                                   4     1     5            1                                                                                    14 Wiehl                                             1                                  12     1                  1                                                                                    15 Willich                               2           1                                   3     3    13            2                      2                                                             26 Wipperfürth                                                                           9     4     1                                                                                                 14 Witten                                1           2           1                      18     8    19     1      6    1                                         1                                     58 Wülfrath                                                                              4           7                                                                                                 11 Wuppertal                             2     1    10           4           3          52    32    81     1      8    1                 3                                                            198 Würselen                                          1                                   6     5     8            1                                                                                    21 Gesamtergebnis      1     6     5 142      14 177       9    86     6    35     7 2.090 966 4.518 234 1.395        29    76     2 128       4    16    16    17     3     1     1     1          9.985 4
11

KA 6511                            Schließtage im Kindergartenjahr 2020/2021 Anlage 3.1 Schließtage               Anzahl Einrichtungen 0                               58 1                                9 2                               56 3                              103 4                               19 5                               95 6                               36 7                               60 8                               44 9                               47 10                              110 11                               30 12                               49 13                               26 14                               52 15                              188 16                               48 17                              155 18                              129 19                              161 20                             1.140 21                              394 22                              761 23                              841 24                              893 25                             2.221 26                              590 27                             1.748 28                               87 29                               75 30                              267 Gesamtergebnis                        10.492 Durchschnitt                         22,5 Diese Angaben beruhen auf den Antragsdaten vom 15.03.2020, als das neue Kinderbildungsgesetz noch nicht in Kraft getreten war. Etwaige Verstöße gegen § 32 Absatz 3 Nr. 3 KiBiz werden, auch unter Berücksichtigung pandemiebedingter Besonderheiten, geprüft.
12

KA 6511                       Schließtage im Kindergartenjahr 2021/2022 Anlage 3.2 Schließtage  Anzahl der Einrichtungen 0                   28 1                   13 2                   35 3                  111 4                   28 5                   52 6                   94 7                   63 8                   70 9                   56 10                 126 11                  36 12                  40 13                  26 14                  58 15                 203 16                  41 17                 143 18                  95 19                 221 20                1.072 21                 451 22                 883 23                 953 24                1.018 25                2.169 26                 518 27                2.010 Gesamtergebnis          10.613 Durchschnitt             22,3
13

KA 6511                                     Landesmittel nach § 48 KiBiz Anlage 4                            Zuschuss zur Flexibilisierung der Betreuungszeiten Kommunale                                            Kommunale Landesmittel                         insgesamt       Landesmittel                  insgesamt Jugendamt                     Mittel                                               Mittel KGJ 2020/2021                       KGJ 2020/2021    KGJ 2021/2022                 KGJ 2021/2022 KGJ 2020/2021                                        KGJ 2021/2022 Aachen                503.200,00 €    125.800,00 €         629.000,00 €        754.800 €     188.700 €      943.500 € Ahaus                  99.600,00 €     24.900,00 €         124.500,00 €        149.400 €      37.350 €      186.750 € Ahlen                 110.800,00 €     27.700,00 €         138.500,00 €        166.200 €      41.550 €      207.750 € Alsdorf                98.400,00 €     24.600,00 €         123.000,00 €        147.600 €      36.900 €      184.500 € Altena                 28.400,00 €       7.100,00 €         35.500,00 €         42.600 €      10.650 €       53.250 € Arnsberg              167.600,00 €     41.900,00 €         209.500,00 €        251.400 €      62.850 €      314.250 € Bad Honnef             50.800,00 €     12.700,00 €          63.500,00 €         76.200 €      19.050 €       95.250 € Bad Oeynhausen         94.800,00 €     23.700,00 €         118.500,00 €        142.200 €      35.550 €      177.750 € Bad Salzuflen         111.200,00 €     27.800,00 €         139.000,00 €        166.800 €      41.700 €      208.500 € Beckum                 78.800,00 €     19.700,00 €          98.500,00 €        118.200 €      29.550 €      147.750 € Bedburg                54.000,00 €     13.500,00 €          67.500,00 €         81.000 €      20.250 €      101.250 € Bergheim              159.600,00 €     39.900,00 €         199.500,00 €        239.400 €      59.850 €      299.250 € Bergisch Gladbach     250.000,00 €     62.500,00 €         312.500,00 €        375.000 €      93.750 €      468.750 € Bergkamen             104.800,00 €     26.200,00 €         131.000,00 €        157.200 €      39.300 €      196.500 € Bielefeld             795.200,00 €    198.800,00 €         994.000,00 €     1.192.800 €      298.200 €    1.491.000 € Bocholt               166.000,00 €     41.500,00 €         207.500,00 €        249.000 €      62.250 €      311.250 € Bochum                695.600,00 €    173.900,00 €         869.500,00 €     1.043.400 €      260.850 €    1.304.250 € Bonn                  753.200,00 €    188.300,00 €         941.500,00 €     1.129.800 €      282.450 €    1.412.250 € Borken                111.200,00 €     27.800,00 €         139.000,00 €        166.800 €      41.700 €      208.500 € Bornheim              119.600,00 €     29.900,00 €         149.500,00 €        179.400 €      44.850 €      224.250 € Bottrop               255.600,00 €     63.900,00 €         319.500,00 €        383.400 €      95.850 €      479.250 € Brühl                 104.400,00 €     26.100,00 €         130.500,00 €        156.600 €      39.150 €      195.750 € Bünde                  98.400,00 €     24.600,00 €         123.000,00 €        147.600 €      36.900 €      184.500 € Castrop-Rauxel        141.200,00 €     35.300,00 €         176.500,00 €        211.800 €      52.950 €      264.750 € Coesfeld               94.400,00 €     23.600,00 €         118.000,00 €        141.600 €      35.400 €      177.000 € Datteln                73.200,00 €     18.300,00 €          91.500,00 €        109.800 €      27.450 €      137.250 € Detmold               172.000,00 €     43.000,00 €         215.000,00 €        258.000 €      64.500 €      322.500 € Dinslaken             142.800,00 €     35.700,00 €         178.500,00 €        214.200 €      53.550 €      267.750 € Dormagen              143.600,00 €     35.900,00 €         179.500,00 €        215.400 €      53.850 €      269.250 € 1
14

KA 6511                                      Landesmittel nach § 48 KiBiz Anlage 4                             Zuschuss zur Flexibilisierung der Betreuungszeiten Kommunale                                            Kommunale Landesmittel                          insgesamt       Landesmittel                  insgesamt Jugendamt                      Mittel                                               Mittel KGJ 2020/2021                        KGJ 2020/2021    KGJ 2021/2022                 KGJ 2021/2022 KGJ 2020/2021                                        KGJ 2021/2022 Dorsten                152.400,00 €     38.100,00 €         190.500,00 €        228.600 €      57.150 €      285.750 € Dortmund             1.344.400,00 €    336.100,00 €       1.680.500,00 €     2.016.600 €      504.150 €    2.520.750 € Duisburg             1.020.800,00 €    255.200,00 €       1.276.000,00 €     1.531.200 €      382.800 €    1.914.000 € Dülmen                 112.800,00 €     28.200,00 €         141.000,00 €        169.200 €      42.300 €      211.500 € Düren                  197.200,00 €     49.300,00 €         246.500,00 €        295.800 €      73.950 €      369.750 € Düsseldorf           1.456.000,00 €    364.000,00 €       1.820.000,00 €     2.184.000 €      546.000 €    2.730.000 € Elsdorf                 44.400,00 €     11.100,00 €          55.500,00 €         66.600 €      16.650 €       83.250 € Emmerich                63.600,00 €     15.900,00 €          79.500,00 €         95.400 €      23.850 €      119.250 € Emsdetten               79.200,00 €     19.800,00 €          99.000,00 €        118.800 €      29.700 €      148.500 € Ennepetal               93.600,00 €     23.400,00 €         117.000,00 €        140.400 €      35.100 €      175.500 € Erftstadt              106.800,00 €     26.700,00 €         133.500,00 €        160.200 €      40.050 €      200.250 € Erkelenz                99.600,00 €     24.900,00 €         124.500,00 €        149.400 €      37.350 €      186.750 € Erkrath                 89.200,00 €     22.300,00 €         111.500,00 €        133.800 €      33.450 €      167.250 € Eschweiler             126.400,00 €     31.600,00 €         158.000,00 €        189.600 €      47.400 €      237.000 € Essen                1.205.200,00 €    301.300,00 €       1.506.500,00 €     1.807.800 €      451.950 €    2.259.750 € Frechen                120.000,00 €     30.000,00 €         150.000,00 €        180.000 €      45.000 €      225.000 € Geilenkirchen           61.200,00 €     15.300,00 €          76.500,00 €         91.800 €      22.950 €      114.750 € Geldern                 68.800,00 €     17.200,00 €          86.000,00 €        103.200 €      25.800 €      129.000 € Gelsenkirchen          564.400,00 €    141.100,00 €         705.500,00 €        846.600 €     211.650 €    1.058.250 € Gevelsberg              66.800,00 €     16.700,00 €          83.500,00 €        100.200 €      25.050 €      125.250 € Gladbeck               151.200,00 €     37.800,00 €         189.000,00 €        226.800 €      56.700 €      283.500 € Goch                    75.600,00 €     18.900,00 €          94.500,00 €        113.400 €      28.350 €      141.750 € Greven                 110.400,00 €     27.600,00 €         138.000,00 €        165.600 €      41.400 €      207.000 € Grevenbroich           133.200,00 €     33.300,00 €         166.500,00 €        199.800 €      49.950 €      249.750 € Gronau                 122.800,00 €     30.700,00 €         153.500,00 €        184.200 €      46.050 €      230.250 € Gummersbach            103.200,00 €     25.800,00 €         129.000,00 €        154.800 €      38.700 €      193.500 € Gütersloh              235.600,00 €     58.900,00 €         294.500,00 €        353.400 €      88.350 €      441.750 € Haan                    72.800,00 €     18.200,00 €          91.000,00 €        109.200 €      27.300 €      136.500 € Hagen                  410.400,00 €    102.600,00 €         513.000,00 €        615.600 €     153.900 €      769.500 € 2
15

KA 6511                                     Landesmittel nach § 48 KiBiz Anlage 4                            Zuschuss zur Flexibilisierung der Betreuungszeiten Kommunale                                            Kommunale Landesmittel                          insgesamt       Landesmittel                   insgesamt Jugendamt                      Mittel                                               Mittel KGJ 2020/2021                        KGJ 2020/2021    KGJ 2021/2022                  KGJ 2021/2022 KGJ 2020/2021                                        KGJ 2021/2022 Haltern                86.000,00 €     21.500,00 €         107.500,00 €        129.000 €       32.250 €      161.250 € Hamm                  418.000,00 €    104.500,00 €         522.500,00 €        627.000 €      156.750 €      783.750 € Hattingen             108.800,00 €     27.200,00 €         136.000,00 €        163.200 €       40.800 €      204.000 € Heiligenhaus           56.800,00 €     14.200,00 €          71.000,00 €         85.200 €       21.300 €      106.500 € Heinsberg              88.800,00 €     22.200,00 €         111.000,00 €        133.200 €       33.300 €      166.500 € Hemer                  68.800,00 €     17.200,00 €          86.000,00 €        103.200 €       25.800 €      129.000 € Hennef                110.800,00 €     27.700,00 €         138.500,00 €        166.200 €       41.550 €      207.750 € Herdecke               49.200,00 €     12.300,00 €          61.500,00 €         73.800 €       18.450 €       92.250 € Herford               157.600,00 €     39.400,00 €         197.000,00 €        236.400 €       59.100 €      295.500 € Herne                 326.800,00 €     81.700,00 €         408.500,00 €        490.200 €      122.550 €      612.750 € Herten                120.000,00 €     30.000,00 €         150.000,00 €        180.000 €       45.000 €      225.000 € Herzogenrath           96.000,00 €     24.000,00 €         120.000,00 €        144.000 €       36.000 €      180.000 € Hilden                112.000,00 €     28.000,00 €         140.000,00 €        168.000 €       42.000 €      210.000 € Hochsauerlandkreis    278.000,00 €     69.500,00 €         347.500,00 €        417.000 €      104.250 €      521.250 € Hückelhoven            88.400,00 €     22.100,00 €         110.500,00 €        132.600 €       33.150 €      165.750 € Hürth                 149.200,00 €     37.300,00 €         186.500,00 €        223.800 €       55.950 €      279.750 € Ibbenbüren            118.800,00 €     29.700,00 €         148.500,00 €        178.200 €       44.550 €      222.750 € Iserlohn              186.000,00 €     46.500,00 €         232.500,00 €        279.000 €       69.750 €      348.750 € Kaarst                 96.000,00 €     24.000,00 €         120.000,00 €        144.000 €       36.000 €      180.000 € Kamen                  86.800,00 €     21.700,00 €         108.500,00 €        130.200 €       32.550 €      162.750 € Kamp-Lintfort          83.600,00 €     20.900,00 €         104.500,00 €        125.400 €       31.350 €      156.750 € Kempen                 75.200,00 €     18.800,00 €          94.000,00 €        112.800 €       28.200 €      141.000 € Kerpen                154.800,00 €     38.700,00 €         193.500,00 €        232.200 €       58.050 €      290.250 € Kevelaer               58.400,00 €     14.600,00 €          73.000,00 €         87.600 €       21.900 €      109.500 € Kleve                  99.600,00 €     24.900,00 €         124.500,00 €        149.400 €       37.350 €      186.750 € Köln                2.674.400,00 €    668.600,00 €       3.343.000,00 €     4.011.600 €     1.002.900 €    5.014.500 € Königswinter           86.000,00 €     21.500,00 €         107.500,00 €        129.000 €       32.250 €      161.250 € Krefeld               484.800,00 €    121.200,00 €         606.000,00 €        727.200 €      181.800 €      909.000 € Kreis Borken          440.400,00 €    110.100,00 €         550.500,00 €        660.600 €      165.150 €      825.750 € 3
16

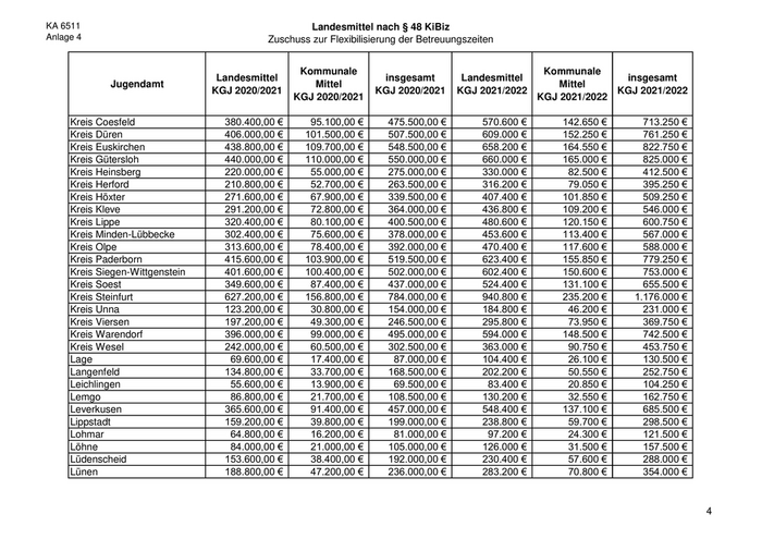
KA 6511                                           Landesmittel nach § 48 KiBiz Anlage 4                                  Zuschuss zur Flexibilisierung der Betreuungszeiten Kommunale                                            Kommunale Landesmittel                         insgesamt       Landesmittel                  insgesamt Jugendamt                           Mittel                                               Mittel KGJ 2020/2021                       KGJ 2020/2021    KGJ 2021/2022                 KGJ 2021/2022 KGJ 2020/2021                                        KGJ 2021/2022 Kreis Coesfeld              380.400,00 €     95.100,00 €         475.500,00 €        570.600 €     142.650 €      713.250 € Kreis Düren                 406.000,00 €    101.500,00 €         507.500,00 €        609.000 €     152.250 €      761.250 € Kreis Euskirchen            438.800,00 €    109.700,00 €         548.500,00 €        658.200 €     164.550 €      822.750 € Kreis Gütersloh             440.000,00 €    110.000,00 €         550.000,00 €        660.000 €     165.000 €      825.000 € Kreis Heinsberg             220.000,00 €     55.000,00 €         275.000,00 €        330.000 €      82.500 €      412.500 € Kreis Herford               210.800,00 €     52.700,00 €         263.500,00 €        316.200 €      79.050 €      395.250 € Kreis Höxter                271.600,00 €     67.900,00 €         339.500,00 €        407.400 €     101.850 €      509.250 € Kreis Kleve                 291.200,00 €     72.800,00 €         364.000,00 €        436.800 €     109.200 €      546.000 € Kreis Lippe                 320.400,00 €     80.100,00 €         400.500,00 €        480.600 €     120.150 €      600.750 € Kreis Minden-Lübbecke       302.400,00 €     75.600,00 €         378.000,00 €        453.600 €     113.400 €      567.000 € Kreis Olpe                  313.600,00 €     78.400,00 €         392.000,00 €        470.400 €     117.600 €      588.000 € Kreis Paderborn             415.600,00 €    103.900,00 €         519.500,00 €        623.400 €     155.850 €      779.250 € Kreis Siegen-Wittgenstein   401.600,00 €    100.400,00 €         502.000,00 €        602.400 €     150.600 €      753.000 € Kreis Soest                 349.600,00 €     87.400,00 €         437.000,00 €        524.400 €     131.100 €      655.500 € Kreis Steinfurt             627.200,00 €    156.800,00 €         784.000,00 €        940.800 €     235.200 €    1.176.000 € Kreis Unna                  123.200,00 €     30.800,00 €         154.000,00 €        184.800 €      46.200 €      231.000 € Kreis Viersen               197.200,00 €     49.300,00 €         246.500,00 €        295.800 €      73.950 €      369.750 € Kreis Warendorf             396.000,00 €     99.000,00 €         495.000,00 €        594.000 €     148.500 €      742.500 € Kreis Wesel                 242.000,00 €     60.500,00 €         302.500,00 €        363.000 €      90.750 €      453.750 € Lage                         69.600,00 €     17.400,00 €          87.000,00 €        104.400 €      26.100 €      130.500 € Langenfeld                  134.800,00 €     33.700,00 €         168.500,00 €        202.200 €      50.550 €      252.750 € Leichlingen                  55.600,00 €     13.900,00 €          69.500,00 €         83.400 €      20.850 €      104.250 € Lemgo                        86.800,00 €     21.700,00 €         108.500,00 €        130.200 €      32.550 €      162.750 € Leverkusen                  365.600,00 €     91.400,00 €         457.000,00 €        548.400 €     137.100 €      685.500 € Lippstadt                   159.200,00 €     39.800,00 €         199.000,00 €        238.800 €      59.700 €      298.500 € Lohmar                       64.800,00 €     16.200,00 €          81.000,00 €         97.200 €      24.300 €      121.500 € Löhne                        84.000,00 €     21.000,00 €         105.000,00 €        126.000 €      31.500 €      157.500 € Lüdenscheid                 153.600,00 €     38.400,00 €         192.000,00 €        230.400 €      57.600 €      288.000 € Lünen                       188.800,00 €     47.200,00 €         236.000,00 €        283.200 €      70.800 €      354.000 € 4
17

KA 6511                                      Landesmittel nach § 48 KiBiz Anlage 4                             Zuschuss zur Flexibilisierung der Betreuungszeiten Kommunale                                            Kommunale Landesmittel                         insgesamt       Landesmittel                  insgesamt Jugendamt                       Mittel                                               Mittel KGJ 2020/2021                       KGJ 2020/2021    KGJ 2021/2022                 KGJ 2021/2022 KGJ 2020/2021                                        KGJ 2021/2022 Märkischer Kreis       208.400,00 €     52.100,00 €         260.500,00 €        312.600 €      78.150 €      390.750 € Marl                   173.200,00 €     43.300,00 €         216.500,00 €        259.800 €      64.950 €      324.750 € Meckenheim              58.000,00 €     14.500,00 €          72.500,00 €         87.000 €      21.750 €      108.750 € Meerbusch              128.000,00 €     32.000,00 €         160.000,00 €        192.000 €      48.000 €      240.000 € Menden                  98.800,00 €     24.700,00 €         123.500,00 €        148.200 €      37.050 €      185.250 € Mettmann                86.400,00 €     21.600,00 €         108.000,00 €        129.600 €      32.400 €      162.000 € Minden                 182.400,00 €     45.600,00 €         228.000,00 €        273.600 €      68.400 €      342.000 € Moers                  190.000,00 €     47.500,00 €         237.500,00 €        285.000 €      71.250 €      356.250 € Mönchengladbach        620.000,00 €    155.000,00 €         775.000,00 €        930.000 €     232.500 €    1.162.500 € Monheim                117.200,00 €     29.300,00 €         146.500,00 €        175.800 €      43.950 €      219.750 € Mülheim/Ruhr           351.600,00 €     87.900,00 €         439.500,00 €        527.400 €     131.850 €      659.250 € Münster                697.200,00 €    174.300,00 €         871.500,00 €     1.045.800 €      261.450 €    1.307.250 € Nettetal                87.600,00 €     21.900,00 €         109.500,00 €        131.400 €      32.850 €      164.250 € Neuss                  427.200,00 €    106.800,00 €         534.000,00 €        640.800 €     160.200 €      801.000 € Niederkassel           103.200,00 €     25.800,00 €         129.000,00 €        154.800 €      38.700 €      193.500 € Oberbergischer Kreis   319.200,00 €     79.800,00 €         399.000,00 €        478.800 €     119.700 €      598.500 € Oberhausen             402.800,00 €    100.700,00 €         503.500,00 €        604.200 €     151.050 €      755.250 € Oelde                   62.000,00 €     15.500,00 €          77.500,00 €         93.000 €      23.250 €      116.250 € Oer-Erkenschwick        55.200,00 €     13.800,00 €          69.000,00 €         82.800 €      20.700 €      103.500 € Overath                 58.400,00 €     14.600,00 €          73.000,00 €         87.600 €      21.900 €      109.500 € Paderborn              361.600,00 €     90.400,00 €         452.000,00 €        542.400 €     135.600 €      678.000 € Plettenberg             50.800,00 €     12.700,00 €          63.500,00 €         76.200 €      19.050 €       95.250 € Porta Westfalica        73.600,00 €     18.400,00 €          92.000,00 €        110.400 €      27.600 €      138.000 € Pulheim                120.000,00 €     30.000,00 €         150.000,00 €        180.000 €      45.000 €      225.000 € Radevormwald            45.200,00 €     11.300,00 €          56.500,00 €         67.800 €      16.950 €       84.750 € Ratingen               194.000,00 €     48.500,00 €         242.500,00 €        291.000 €      72.750 €      363.750 € Recklinghausen         244.800,00 €     61.200,00 €         306.000,00 €        367.200 €      91.800 €      459.000 € Remscheid              245.600,00 €     61.400,00 €         307.000,00 €        368.400 €      92.100 €      460.500 € Rheda-Wiedenbrück      102.400,00 €     25.600,00 €         128.000,00 €        153.600 €      38.400 €      192.000 € 5
18

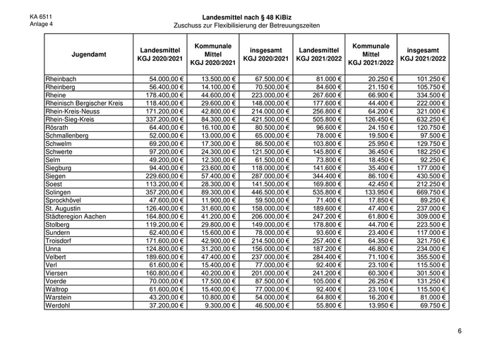
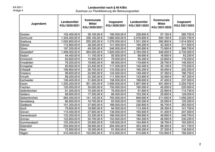
KA 6511                                            Landesmittel nach § 48 KiBiz Anlage 4                                   Zuschuss zur Flexibilisierung der Betreuungszeiten Kommunale                                            Kommunale Landesmittel                         insgesamt       Landesmittel                  insgesamt Jugendamt                            Mittel                                               Mittel KGJ 2020/2021                       KGJ 2020/2021    KGJ 2021/2022                 KGJ 2021/2022 KGJ 2020/2021                                        KGJ 2021/2022 Rheinbach                     54.000,00 €     13.500,00 €          67.500,00 €         81.000 €      20.250 €     101.250 € Rheinberg                     56.400,00 €     14.100,00 €          70.500,00 €         84.600 €      21.150 €     105.750 € Rheine                       178.400,00 €     44.600,00 €         223.000,00 €        267.600 €      66.900 €     334.500 € Rheinisch Bergischer Kreis   118.400,00 €     29.600,00 €         148.000,00 €        177.600 €      44.400 €     222.000 € Rhein-Kreis-Neuss            171.200,00 €     42.800,00 €         214.000,00 €        256.800 €      64.200 €     321.000 € Rhein-Sieg-Kreis             337.200,00 €     84.300,00 €         421.500,00 €        505.800 €     126.450 €     632.250 € Rösrath                       64.400,00 €     16.100,00 €          80.500,00 €         96.600 €      24.150 €     120.750 € Schmallenberg                 52.000,00 €     13.000,00 €          65.000,00 €         78.000 €      19.500 €      97.500 € Schwelm                       69.200,00 €     17.300,00 €          86.500,00 €        103.800 €      25.950 €     129.750 € Schwerte                      97.200,00 €     24.300,00 €         121.500,00 €        145.800 €      36.450 €     182.250 € Selm                          49.200,00 €     12.300,00 €          61.500,00 €         73.800 €      18.450 €      92.250 € Siegburg                      94.400,00 €     23.600,00 €         118.000,00 €        141.600 €      35.400 €     177.000 € Siegen                       229.600,00 €     57.400,00 €         287.000,00 €        344.400 €      86.100 €     430.500 € Soest                        113.200,00 €     28.300,00 €         141.500,00 €        169.800 €      42.450 €     212.250 € Solingen                     357.200,00 €     89.300,00 €         446.500,00 €        535.800 €     133.950 €     669.750 € Sprockhövel                   47.600,00 €     11.900,00 €          59.500,00 €         71.400 €      17.850 €      89.250 € St. Augustin                 126.400,00 €     31.600,00 €         158.000,00 €        189.600 €      47.400 €     237.000 € Städteregion Aachen          164.800,00 €     41.200,00 €         206.000,00 €        247.200 €      61.800 €     309.000 € Stolberg                     119.200,00 €     29.800,00 €         149.000,00 €        178.800 €      44.700 €     223.500 € Sundern                       62.400,00 €     15.600,00 €          78.000,00 €         93.600 €      23.400 €     117.000 € Troisdorf                    171.600,00 €     42.900,00 €         214.500,00 €        257.400 €      64.350 €     321.750 € Unna                         124.800,00 €     31.200,00 €         156.000,00 €        187.200 €      46.800 €     234.000 € Velbert                      189.600,00 €     47.400,00 €         237.000,00 €        284.400 €      71.100 €     355.500 € Verl                          61.600,00 €     15.400,00 €          77.000,00 €         92.400 €      23.100 €     115.500 € Viersen                      160.800,00 €     40.200,00 €         201.000,00 €        241.200 €      60.300 €     301.500 € Voerde                        70.000,00 €     17.500,00 €          87.500,00 €        105.000 €      26.250 €     131.250 € Waltrop                       61.600,00 €     15.400,00 €          77.000,00 €         92.400 €      23.100 €     115.500 € Warstein                      43.200,00 €     10.800,00 €          54.000,00 €         64.800 €      16.200 €      81.000 € Werdohl                       37.200,00 €       9.300,00 €         46.500,00 €         55.800 €      13.950 €      69.750 € 6
19

KA 6511                                    Landesmittel nach § 48 KiBiz Anlage 4                           Zuschuss zur Flexibilisierung der Betreuungszeiten Kommunale                                            Kommunale Landesmittel                         insgesamt       Landesmittel                  insgesamt Jugendamt                     Mittel                                               Mittel KGJ 2020/2021                       KGJ 2020/2021    KGJ 2021/2022                 KGJ 2021/2022 KGJ 2020/2021                                        KGJ 2021/2022 Wermelskirchen        78.800,00 €     19.700,00 €          98.500,00 €        118.200 €      29.550 €      147.750 € Werne                 65.600,00 €     16.400,00 €          82.000,00 €         98.400 €      24.600 €      123.000 € Wesel                126.400,00 €     31.600,00 €         158.000,00 €        189.600 €      47.400 €      237.000 € Wesseling             85.600,00 €     21.400,00 €         107.000,00 €        128.400 €      32.100 €      160.500 € Wetter                50.800,00 €     12.700,00 €          63.500,00 €         76.200 €      19.050 €       95.250 € Wiehl                 50.800,00 €     12.700,00 €          63.500,00 €         76.200 €      19.050 €       95.250 € Willich              113.200,00 €     28.300,00 €         141.500,00 €        169.800 €      42.450 €      212.250 € Wipperfürth           48.800,00 €     12.200,00 €          61.000,00 €         73.200 €      18.300 €       91.500 € Witten               208.000,00 €     52.000,00 €         260.000,00 €        312.000 €      78.000 €      390.000 € Wülfrath              42.800,00 €     10.700,00 €          53.500,00 €         64.200 €      16.050 €       80.250 € Wuppertal            757.200,00 €    189.300,00 €         946.500,00 €     1.135.800 €      283.950 €    1.419.750 € Würselen              87.200,00 €     21.800,00 €         109.000,00 €        130.800 €      32.700 €      163.500 € 7
20